Coordinated Radio Emitter Detection Process Using Group of Unmanned Aerial Vehicles
Highlights
- Utilizing unmanned aerial vehicles (UAVs) in spectrum monitoring increases sensor range and freedom of movement compared to ground-based systems, and when deployed based on a coordinated group or swarm of UAVs allow simultaneous spectrum monitoring over a larger area, translating into increased range and coverage of the system.
- Implementation of data fusion algorithms enables real-time sensing and increases the reliability of multi-source data-based decision-making.
- Groups of UAVs are becoming increasingly effective tools for spectrum monitoring and building situational awareness in the electromagnetic environment.
- The proposed system architecture enables scalability and adaptive solutions for electromagnetic spectrum monitoring in cognitive radio applications.
Abstract
1. Introduction
- Operational Background: This paper presents an overview of the evolution of UAVs in modern communication systems, highlighting their impact and use in sensing operations, such as spectrum monitoring, detection of energy, or emitter location—supported by recent examples of use.
- Architecture Framework: A simulation-based architecture is proposed in a software environment that will be used to evaluate the effectiveness of cooperative spectrum monitoring using a group of UAVs equipped with SDRs designed to operate in areas of strong interference.
- Data Fusion Approach: The system uses data fusion algorithms based on DST, which allows for modeling uncertainty and partial evidence, providing an alternative to conventional hard- (HDF) and soft-decision fusion (SDF) techniques.
- Performance evaluation: This paper presents the results of simulation studies in the MATLAB environment, which show that the system can improve detection accuracy, reduce the probability of false alarms, and increase situational awareness.
2. Building Electromagnetic Situational Awareness Based on UAVs and Spectrum-Sensing Algorithms
2.1. Utilization of Data Fusion Algorithms in Spectrum Sensing
- Energy detector (ED): The simplest of the spectrum-monitoring methods, which performs sensing by calculating the energy of the received signal in the analyzed frequency band and comparing it with a previously defined threshold. However, it does not allow for determining the type of modulation used and signal characteristics, and it does not require high computing power due to its simplicity [13,24]. The disadvantages of the above method include high sensitivity to high-power noise and interference, and low efficiency when working in an environment with a low signal-to-noise ratio (SNR). Increasing the number of sensors and using data fusion methods allows the system based on the energy detection algorithm to achieve better results, even in environments with low SNR values [25]. Another issue to tackle in a non-cooperative system is the shadowing problem [26]. The performance of spectrum monitoring individually by each sensor may be affected by reflection from objects like buildings. Empowering multiple sensors to conduct cooperative spectrum sensing may allow them to overcome deteriorating propagation conditions and shadowing effects.
- Matched Filter (MF): A technique based on correlation of the received signal with a known pattern. This is effective in the presence of additive white Gaussian noise (AWGN), but requires the signal type to be known [27,28]. The scope of MF use is limited to situations where we have full knowledge of the characteristic signal parameters, e.g., friendly force transmissions or known protocols.
- Spectrum monitoring based on covariance matrices: More resistant to the occurrence of interference and noise in the radio channel is the method of using the statistical properties of the covariance matrix of the received signals. In the case of the presence of a useful signal, additional components appear in the matrices, which allow the system to distinguish the radio signal matrix consisting only of noise from the matrix containing the signal [29,30].
2.2. Integration of Software-Defined Radio and Data Fusion Methods
- OR rule: The signal is detected if any of the sensors detects it;
- AND rule: The signal is detected only if all sensors make the same decision;
- K-out-of-N rule (majority voting): The signal is detected if K or more sensors report detection.
2.3. System Architecture
- Sample the generated radio frequency (RF) data;
- Estimate the energy of the received signal samples in the analyzed frequency bands;
- Use the defined threshold values to determine the occupancy of the radio channel;
- Calculate the mass and belief functions, in the case of the implementation of data fusion based on DST.
2.4. Implemented Algorithms
2.4.1. Energy Detector
- Low computational requirements;
- Wide application, independent of the received signals;
- Fast detection, enabling frequent updates and flexibility.
2.4.2. Data Fusion
- Belief function (Bel)—The sum of all the masses supporting a given hypothesis:
- Plausibility function (Pl)—The sum of all the masses that do not contradict the hypothesis:
3. Results
- Environment type (urban, suburban, dense)—Each UAV is moving through a different type of terrain. Propagation conditions were simulated using MATLAB tools and considered the influence of various factors depending on the selected scenario. The urban scenario represents a city with multi-story buildings (3–5 stories) and considers signal reflections from buildings and the presence of other signal sources in the analyzed area. The suburban scenario considers an open space with single low-rise buildings, few other emission sources, and fewer obstructions. Dense urban development presents the most challenging conditions for spectrum monitoring. This scenario features narrow streets, tall buildings that reflect signals, and high levels of mutual interference with other sources.
- Formation of UAV swarm (linear, V-shaped, scattered)—In a linear formation, the UAVs are positioned 75 m apart and fly in the same direction, maintaining their distance. Twenty seconds before the simulation ends, they approach each other within 5 m. This configuration allows uniform coverage of a wide area (300 m span). This configuration allows for high variability in the obtained results while maintaining low measurement uncertainty. In a linear formation, the UAVs are positioned 75 m apart and fly in the same direction, maintaining their distance. Five seconds before the simulation ends, they approach each other within 5 m. This configuration allows uniform coverage of a wide area (300 m span). This configuration allows for a high degree of variability in the obtained results while maintaining low measurement uncertainty. In the randomly dispersed scenario, the UAVs are located between 50 and 150 m apart, and the coverage varies for each scenario. Another factor is the variable flight altitude, which was set at 100 m in the previous scenarios but ranges from 50 to 150 m in this case.
- Number of UAVs (3, 5, 7, and 10)—The analyzed number of UAVs should improve detection efficiency by increasing the diversity of received signal samples, but it may also increase conflicts between individual sensors. The main goal of changing the UAV group size is to verify its impact on the implemented data fusion algorithm and determine whether there is a threshold beyond which further increasing the number of UAVs is no longer effective.
3.1. Simulation Setup
3.1.1. Signal and Channel Model
3.1.2. Fusion Methods
3.2. Simulation Results
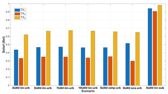
- 3UAV-lin-urb means three UAVs flying in linear formation in the urban scenario,
- 5UAV-lin-urb means five UAVs flying in linear formation in the urban scenario,
- 7UAV-lin-urb means seven UAVs flying in linear formation in the urban scenario,
- 10UAV-lin-urb means ten UAVs flying in linear formation in the urban scenario,
- 5UAV-vshp-urb means five UAVs flying in V-shape formation in the urban scenario,
- 5UAV-sca-urb means five UAVs flying in scattered formation in the urban scenario,
- 5UAV-lin-sub means five UAVs flying in linear formation in the suburban scenario,
- 5UAV-lin-dense means five UAVs flying in linear formation in the dense scenario.
4. Conclusions
- Increasing the number of UAVs from three to ten positively affects detection performance. The probability of detection increased from 0.70 for three UAVs to 0.93 for ten UAVs in urban environments with linear formation, while the probability of false alarm decreased from 0.14 to 0.07. However, the analysis of DST metrics revealed diminishing returns beyond seven UAVs, with the belief function showing minimal improvement when expanding to ten UAVs. For the belief value, the increase between three UAVs (0.62) and seven UAVs (0.68) is only about 9.5%, and for ten UAVs, the value does not increase. This suggests the existence of an optimal threshold at which additional sensors may introduce conflicts among individual sensors, offsetting the benefits of increased spatial coverage.
- Propagation conditions emerged as an important factor affecting system performance. In suburban environments with reduced multipath effects and signal attenuation, the system achieved detection probabilities of 0.86 with false alarm rates as low as 0.08. In dense urban scenarios, where significant signal reflections and interference occurred, the probability of detection decreased to 0.77, and the probability of false alarm decreased to 0.13. The DST metrics confirmed these trends—belief function values decreased from 0.81 in suburban to 0.72 in dense environments, while conflict coefficients increased from 0.08 to 0.14, indicating greater inconsistency between sensor observations in challenging propagation conditions.
- UAV deployment formation demonstrated a substantial impact on monitoring effectiveness. The V-shaped formation outperformed linear and scattered configurations, achieving 0.85 detection probability with only 0.09 false alarm probability for five UAVs in urban terrain. This configuration provided optimal observation angles and spatial diversity, resulting in the lowest uncertainty (0.17) and conflict (0.09) values. Despite offering the widest spatial coverage, the scattered formation exhibited the poorest performance (0.76 detection probability, 0.13 false alarm probability) due to irregular sensor spacing that generated contradictory measurements and elevated conflict levels (0.14).
- The DST-based approach demonstrated superior robustness under degraded signal conditions. The framework’s ability to model uncertainty through belief and plausibility functions provided explicit confidence bounds for detection decisions. Analysis revealed that as the number of sensors increased and measurements became more consistent, the gap between belief and plausibility functions narrowed—uncertainty values decreased from 0.28 for three UAVs to below 0.01 for ten UAVs in stable scenarios. The conflict value also decreased even under strong interference conditions in the urban scenario—for three UAVs, it was 0.16, and increasing to ten UAVs resulted in a value of 0.05—a 68.8% decrease. This convergence indicates high confidence in fusion outcomes when sufficient consistent evidence is available.
- The conflict value proved to be a valuable indicator of system reliability. Higher conflict values (K > 0.3) typically corresponded to scenarios in which environmental conditions or formation produced incompatible sensor observations. In suburban environments with five UAVs in linear formation, conflict remained below 0.2, whereas urban scenarios with scattered formations exhibited conflict values approaching 0.35–0.40. This metric enables real-time assessment of fusion reliability and can trigger adaptive responses when evidence inconsistency threatens decision quality.
Author Contributions
Funding
Institutional Review Board Statement
Informed Consent Statement
Data Availability Statement
Conflicts of Interest
References
- Wu, Q.; Xu, J.; Zeng, Y.; Ng, D.W.K.; Al-Dhahir, N.; Schober, R.; Swindlehurst, A.L. A Comprehensive Overview on 5G-and-Beyond Networks with UAVs: From Communications to Sensing and Intelligence. IEEE J. Sel. Areas Commun. 2021, 39, 2912–2945. [Google Scholar] [CrossRef]
- Geraci, G.; Garcia-Rodriguez, A.; Azari, M.M.; Lozano, A.; Mezzavilla, M.; Chatzinotas, S.; Chen, Y.; Rangan, S.; Renzo, M.D. What Will the Future of UAV Cellular Communications Be? A Flight From 5G to 6G. IEEE Commun. Surv. Tutor. 2022, 24, 1304–1335. [Google Scholar] [CrossRef]
- Zhang, Y.; Zhao, Q.; Mao, P.; Bai, Q.; Li, F.; Pavlova, S. Design and Control of an Ultra-Low-Cost Logistic Delivery Fixed-Wing UAV. Appl. Sci. 2024, 14, 4358. [Google Scholar] [CrossRef]
- Shakhatreh, H.; Sawalmeh, A.; Hayajneh, K.F.; Abdel-Razeq, S.; Malkawi, W.; Al-Fuqaha, A. A Systematic Review of Interference Mitigation Techniques in Current and Future UAV-Assisted Wireless Networks. IEEE Open J. Commun. Soc. 2024, 5, 2815–2846. [Google Scholar] [CrossRef]
- Zhou, H.; Su, Q.; Fu, W.; Xu, C.; Zheng, M.; Yang, J. A Summary of the Development of Cooperative and Intelligent Technology for Multi-UAV Systems. In Proceedings of the 2019 IEEE International Conference on Unmanned Systems and Artificial Intelligence (ICUSAI), Xi’an, China, 22–24 November 2019; pp. 80–84. [Google Scholar]
- Guo, K.; Wang, H.; Wang, H.; Tang, D. UAV Obstacle Avoidance Algorithm Based on Priori Artificial Potential Field and PID-ADRC Hybrid Control. In Proceedings of the 2023 42nd Chinese Control Conference (CCC), Tianjin, China, 24–26 July 2023; pp. 3545–3551. [Google Scholar]
- Li, D.; Meng, Y. Trajectory Optimization Methods of the OFDM-UAV Cascade Relay Communication System. In Proceedings of the 2023 IEEE 11th International Conference on Information, Communication and Networks (ICICN), Xi’an, China, 17–20 August 2023; pp. 294–300. [Google Scholar]
- Mallick, S.; Das, S.; Ray, A.K. A Collaborative Decision Based Spectrum Sensing Framework Enabling DSA for Performance Improvement in a UAV-Based CRN. In Proceedings of the 2024 IEEE 21st India Council International Conference (INDICON), Kharagpur, India, 19–21 December 2024; pp. 1–6. [Google Scholar]
- Liang, H.; Wu, J.; Liu, T.; Wang, H.; Cao, W. Efficient Cooperative Spectrum Sensing in UAV-Assisted Cognitive Wireless Sensor Networks. IEEE Sens. Lett. 2024, 8, 7500904. [Google Scholar] [CrossRef]
- Roslee, M.; Sudhamani, C.; Ibrahim Mitani, S.M.; Osman, A.F.; Ali, F.Z.; Waseem, A. UAV Based Efficient Cooperative Spectrum Sensing in CRN. In Proceedings of the 2024 Multimedia University Engineering Conference (MECON), Cyberjaya, Malaysia, 23–25 July 2024; pp. 1–6. [Google Scholar]
- Wang, W.; Peng, J. Cooperative Spectrum Sensing Algorithm for UAV Based on Deep Learning. In Proceedings of the 2022 IEEE 96th Vehicular Technology Conference (VTC2022-Fall), London, UK, 26–29 September 2022; pp. 1–5. [Google Scholar]
- Shen, F.; Ding, G.; Wang, Z.; Wu, Q. UAV-Based 3D Spectrum Sensing in Spectrum-Heterogeneous Networks. IEEE Trans. Veh. Technol. 2019, 68, 5711–5722. [Google Scholar] [CrossRef]
- Skokowski, P.; Łopatka, J.; Malon, K. Evidence Theory Based Data Fusion for Centralized Cooperative Spectrum Sensing in Mobile Ad-Hoc Networks. In Proceedings of the 2020 Baltic URSI Symposium (URSI), Warsaw, Poland, 5–8 October 2020; pp. 24–27. [Google Scholar]
- Cherifi, W.; Szafrański, B. An Unsupervised Evidential Conflict Resolution Method for Data Fusion in IoT. In Proceedings of the 2017 Federated Conference on Computer Science and Information Systems (FedCSIS), Prague, Czech Republic, 3–6 September 2017; pp. 819–823. [Google Scholar]
- Yao, D.; Yuan, S.; Lv, Z.; Wan, D.; Mao, W. An Enhanced Cooperative Spectrum Sensing Scheme Against SSDF Attack Based on Dempster-Shafer Evidence Theory for Cognitive Wireless Sensor Networks. IEEE Access 2020, 8, 175881–175890. [Google Scholar] [CrossRef]
- Mazuro, M.; Skokowski, P.; Kelner, J. Spectrum Sensing Algorithms and Noise Power Estimation in Cognitive Radio Networks. Przegląd Elektrotechniczny 2025, 101, 151–157. [Google Scholar] [CrossRef]
- Mazuro, M.; Skokowski, P.; Kelner, J. Comparison of Selected Estimation Methods of Interference Level in Radio Channel; IEEE: Piscataway, NJ, USA, 2024. [Google Scholar]
- Ma, L.; Lin, B.; Zhang, W.; Tao, J.; Zhu, X.; Chen, H. A Survey of Research on the Distributed Cooperation Method of the UAV Swarm Based on Swarm Intelligence. In Proceedings of the 2022 IEEE 13th International Conference on Software Engineering and Service Science (ICSESS), Beijing, China, 21–23 October 2022; pp. 305–309. [Google Scholar]
- Wang, Y.; Ma, B.; Wei, S.; Zhang, J.; Yuan, S.; Ren, W.; Wang, B. Distributed Partial Collaborative Deep Learning for Spectrum Sensing. In Proceedings of the 2024 IEEE 24th International Conference on Communication Technology (ICCT), Chengdu, China, 18–20 October 2024; pp. 1346–1351. [Google Scholar]
- Guan, Z.; Wang, S.; Gao, L.; Xu, W. Energy-Efficient UAV Communication with 3D Trajectory Optimization. In Proceedings of the 2021 7th International Conference on Computer and Communications (ICCC), Chengdu, China, 10–13 December 2021; Available online: https://ieeexplore.ieee.org/document/9674583 (accessed on 20 November 2025).
- Feng, W.; Zhao, N.; Ao, S.; Tang, J.; Zhang, X.; Fu, Y.; So, D.K.C.; Wong, K.-K. Joint 3D Trajectory Design and Time Allocation for UAV-Enabled Wireless Power Transfer Networks. IEEE Trans. Veh. Technol. 2020, 69, 9265–9278. [Google Scholar] [CrossRef]
- Shekhawat, G.K.; Yadav, R.P. Review on Classical to Deep Spectrum Sensing in Cognitive Radio Networks. In Proceedings of the 2021 Sixth International Conference on Wireless Communications, Signal Processing and Networking (WiSPNET), Chennai, India, 25–27 March 2021; pp. 11–15. [Google Scholar]
- Cheema, A.P.; Kumar, A.; Gonuguntla, A.; Reddy, P.A.K.; Gnapika, S.; Nanditha, U.N. A Survey on Spectrum Sensing Using Energy Detection for 4G Waveform. In Proceedings of the 2023 International Conference on Computer Communication and Informatics (ICCCI), Coimbatore, India, 23–25 January 2023; pp. 1–4. [Google Scholar]
- Kwon, S.-Y.; Kim, H.J.; Kim, H.-N. Performance Analysis of an FFT Spectrum-Based Detector and an Energy Detector for Selection of Suitable Detector in Electronic Warfare. In Proceedings of the 2024 International Conference on Electronics, Information, and Communication (ICEIC), Taipei, Taiwan, 28–31 January 2024; pp. 1–3. [Google Scholar]
- Sharma, A.; Pandit, S.; Kumar, R. Cooperative Spectrum Sensing Using Energy-Based Detection for Low SNR Regime over Rayleigh Fading Channel. In Proceedings of the 2024 International Conference on Integrated Circuits, Communication, and Computing Systems (ICIC3S), Una, India, 8–9 June 2024; Available online: https://ieeexplore.ieee.org/document/10602980 (accessed on 20 November 2025).
- Srisomboon, K.; Sroulsrun, Y.; Lee, W. Adaptive Majority Rule in Cooperative Spectrum Sensing for Ad Hoc Network. In Proceedings of the 2020 8th International Electrical Engineering Congress (iEECON), Chiang Mai, Thailand, 4–6 March 2020; pp. 1–4. [Google Scholar]
- Parvathy, A.; Narayanan, G. Comparative Study of Energy Detection and Matched Filter Based Spectrum Sensing Techniques. In Proceedings of the 2020 12th International Conference on Computational Intelligence and Communication Networks (CICN), Bhimtal, India, 25–26 September 2020; pp. 147–153. [Google Scholar]
- Suseela, M.S.U.; Kumar, V.S.; Ramakrishna, R.; Prasad, P.V.; Murthy, V.S.; Chakradhar, P.S.K. Optimization of Spectrum Sensing in Cognitive Radio Using Energy Detection and Matched Filter. In Proceedings of the 2024 7th International Conference on Contemporary Computing and Informatics (IC3I), Greater Noida, India, 18–20 September 2024; Volume 7, pp. 1201–1205. [Google Scholar]
- Liu, Y.; Li, J. Cooperative Spectrum Sensing Algorithm Based on LSTM Network and Covariance Matrix. In Proceedings of the 2022 14th International Conference on Measuring Technology and Mechatronics Automation (ICMTMA), Changsha, China, 15–16 January 2022; Available online: https://ieeexplore.ieee.org/document/9723950 (accessed on 20 November 2025).
- Zhou, R.; Pu, W.; Zhao, L.; You, M.-Y.; Shi, Q.; Theodoridis, S. Cooperative Sensing Via Matrix Factorization of the Partially Received Sample Covariance Matrix. In Proceedings of the ICASSP 2024—2024 IEEE International Conference on Acoustics, Speech and Signal Processing (ICASSP), Seoul, Republic of Korea, 14–19 April 2024; pp. 8881–8885. [Google Scholar]
- Kelner, J.M. Cooperative System of Emission Source Localization Based on SDF. In Proceedings of the 2018 International Conference on Military Communications and Information Systems (ICMCIS), Warsaw, Poland, 22–23 May 2018; pp. 1–6. [Google Scholar]
- Wu, J.; Su, M.; Qiao, L.; Xu, X.; Liang, X.; Wang, H.; Bao, J.; Cao, W. Quick Parallel Cooperative Spectrum Sensing in Cognitive Wireless Sensor Networks. IEEE Sens. Lett. 2024, 8, 7500704. [Google Scholar] [CrossRef]
- Nallagonda, S.; Kumar, Y.R.; Shilpa, P. Analysis of Hard-Decision and Soft-Data Fusion Schemes for Cooperative Spectrum Sensing in Rayleigh Fading Channel. In Proceedings of the 2017 IEEE 7th International Advance Computing Conference (IACC), Hyderabad, India, 5–7 January 2017; pp. 220–225. [Google Scholar]
- Garcia, J.; Rein, K.; Biermannn, J.; Krenc, K.; Snidaro, L. Considerations for Enhancing Situation Assessment through Multi-Level Fusion of Hard and Soft Data. In Proceedings of the 2016 19th International Conference on Information Fusion (FUSION), Heidelberg, Germany, 5–8 July 2016; pp. 2133–2138. [Google Scholar]
- Zhang, D.; Cai, G.; Chen, J. Application of Multi-Source Data Fusion Based on GIS Platform. In Proceedings of the 2024 6th International Conference on Artificial Intelligence and Computer Applications (ICAICA), Dalian, China, 28–30 November 2024; pp. 315–319. [Google Scholar]
- USRP B200mini | Ettus Research, a National Instruments Brand | The Leader in Software Defined Radio (SDR). Available online: https://www.ettus.com/all-products/usrp-b200mini/ (accessed on 20 November 2025).
- Raspberry Pi Ltd. Buy a Raspberry Pi 4 Model B. Available online: https://www.raspberrypi.com/products/raspberry-pi-4-model-b/ (accessed on 20 November 2025).
- ITU-R Recommendation ITU-R P.372-16: Radio Noise; P Series Radiowave Propagation; International Telecommunication Union (ITU): Geneva, Switzerland, 2022; Available online: https://www.itu.int/rec/R-REC-P.372 (accessed on 20 November 2025).
- Dempster, A.P. Upper and Lower Probabilities Induced by a Multivalued Mapping. In Classic Works of the Dempster-Shafer Theory of Belief Functions; Yager, R.R., Liu, L., Eds.; Springer: Berlin/Heidelberg, Germany, 2008; pp. 57–72. ISBN 978-3-540-44792-4. [Google Scholar]
- Shafer, G. A Mathematical Theory of Evidence; Princeton University Press: Oxford, UK, 1976; ISBN 978-0-691-10042-5. [Google Scholar]
- Vaughan, R.; Andersen, J. Channels, Propagation and Antennas for Mobile Communications; Bibliovault OAI Repository, the University of Chicago Press: Chicago, IL, USA, 2003. [Google Scholar]
- Ma, Z.; Zhang, R.; Ai, B.; Lian, Z.; Zeng, L.; Niyato, D.; Peng, Y. Deep Reinforcement Learning for Energy Efficiency Maximization in RSMA-IRS-Assisted ISAC System. IEEE Trans. Veh. Technol. 2025, 74, 18273–18278. [Google Scholar] [CrossRef]
- Ma, Z.; Liang, Y.; Zhu, Q.; Zheng, J.; Lian, Z.; Zeng, L.; Fu, C.; Peng, Y.; Ai, B. Hybrid-RIS-Assisted Cellular ISAC Networks for UAV-Enabled Low-Altitude Economy via Deep Reinforcement Learning with Mixture-of-Experts. IEEE Trans. Cogn. Commun. Netw. 2025. [Google Scholar] [CrossRef]












| Metrics | Suburban | Urban | Dense |
|---|---|---|---|
| Belief | 0.812 | 0.781 | 0.724 |
| Plausibility | 0.977 | 0.968 | 0.955 |
| Uncertainty | 0.165 | 0.187 | 0.231 |
| Conflict | 0.082 | 0.098 | 0.145 |
| Pd | 0.854 | 0.823 | 0.767 |
| Pfa | 0.081 | 0.095 | 0.124 |
| Metrics | Linear | V-Shaped | Scattered |
|---|---|---|---|
| Belief | 0.781 | 0.804 | 0.723 |
| Plausibility | 0.968 | 0.977 | 0.961 |
| Uncertainty | 0.187 | 0.173 | 0.238 |
| Conflict | 0.098 | 0.091 | 0.142 |
| Pd | 0.823 | 0.847 | 0.759 |
| Pfa | 0.095 | 0.089 | 0.132 |
| Number of UAVs | Belief | Uncertainty | Conflict | Pd | Pfa |
|---|---|---|---|---|---|
| 3 | 0.642 | 0.285 | 0.156 | 0.698 | 0.142 |
| 5 | 0.781 | 0.187 | 0.098 | 0.823 | 0.095 |
| 7 | 0.847 | 0.124 | 0.067 | 0.891 | 0.078 |
| 10 | 0.892 | 0.089 | 0.048 | 0.925 | 0.065 |
Disclaimer/Publisher’s Note: The statements, opinions and data contained in all publications are solely those of the individual author(s) and contributor(s) and not of MDPI and/or the editor(s). MDPI and/or the editor(s) disclaim responsibility for any injury to people or property resulting from any ideas, methods, instructions or products referred to in the content. |
© 2025 by the authors. Licensee MDPI, Basel, Switzerland. This article is an open access article distributed under the terms and conditions of the Creative Commons Attribution (CC BY) license (https://creativecommons.org/licenses/by/4.0/).
Share and Cite
Mazuro, M.; Skokowski, P.; Kelner, J.M. Coordinated Radio Emitter Detection Process Using Group of Unmanned Aerial Vehicles. Sensors 2025, 25, 7298. https://doi.org/10.3390/s25237298
Mazuro M, Skokowski P, Kelner JM. Coordinated Radio Emitter Detection Process Using Group of Unmanned Aerial Vehicles. Sensors. 2025; 25(23):7298. https://doi.org/10.3390/s25237298
Chicago/Turabian StyleMazuro, Maciej, Paweł Skokowski, and Jan M. Kelner. 2025. "Coordinated Radio Emitter Detection Process Using Group of Unmanned Aerial Vehicles" Sensors 25, no. 23: 7298. https://doi.org/10.3390/s25237298
APA StyleMazuro, M., Skokowski, P., & Kelner, J. M. (2025). Coordinated Radio Emitter Detection Process Using Group of Unmanned Aerial Vehicles. Sensors, 25(23), 7298. https://doi.org/10.3390/s25237298

