Low-Power IMU System for Attitude Estimation-Based Plastic Greenhouse Foundation Uplift Monitoring
Abstract
1. Introduction
2. Materials and Methods
2.1. Inertial Data Acquisition
2.2. Attitude Estimation
2.3. Wireless Communication
2.4. System Configuration
2.5. Field Test
2.5.1. Case 1–2
2.5.2. Case 3–4
3. Results and Discussion
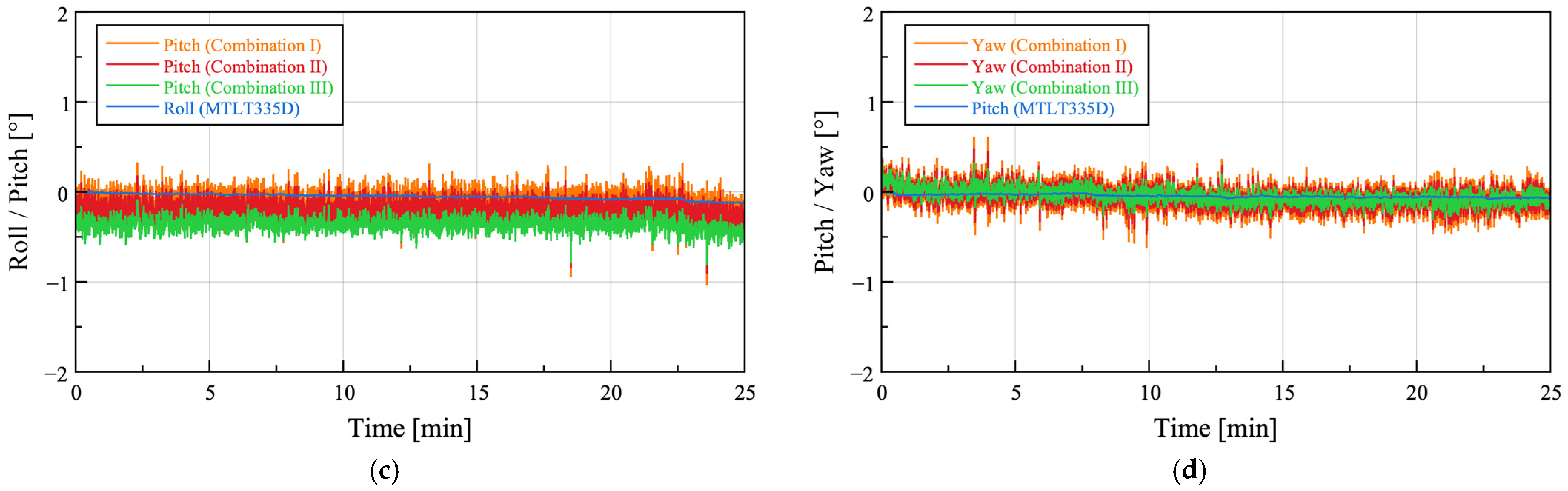
3.1. Comparison of Attitude Estimation Filters for the Sensor Node
3.1.1. Complementary Filter
3.1.2. Kalman Filter
3.1.3. Filter Selection
3.2. Anomaly Detection of Greenhouse Foundations Using Attitude Angles
3.3. Analysis of Power, Stability and Cost of the Sensor Node
3.3.1. Power Consumption
3.3.2. Operational Stability
3.3.3. Cost Analysis
4. Conclusions
Author Contributions
Funding
Institutional Review Board Statement
Data Availability Statement
Conflicts of Interest
References
- Ministry of Agriculture, Food and Rural Affairs. 2023 Status of Facility Vegetable Greenhouses and Vegetable Production; Ministry of Agriculture, Food and Rural Affairs (MAFRA): Sejong, Republic of Korea, 2024.
- Ministry of Agriculture, Forestry and Fisheries. Status of Installation of Horticultural Facilities (2020); Ministry of Agriculture, Forestry and Fisheries (MAFF): Tokyo, Japan, 2020.
- Liu, X.; Xin, L. Spatial and temporal evolution and greenhouse gas emissions of China’s agricultural plastic greenhouses. Sci. Total Environ. 2023, 863, 10. [Google Scholar] [CrossRef] [PubMed]
- Statistics Korea. Natural Disaster Statistics: Damage by Cause of Natural Disasters; Statistics Korea (KOSTAT): Daejeon, Republic of Korea, 2025.
- Mardanshahi, A.; Sreekumar, A.; Yang, X.; Barman, S.; Chronopoulos, D. Sensing Techniques for Structural Health Monitoring: A State-of-the-Art Review on Performance Criteria and New-Generation Technologies. Sensors 2025, 25, 1424. [Google Scholar] [CrossRef]
- Pozo, F.; Tibaduiza, D.; Vidal, Y. Sensors for Structural Health Monitoring and Condition Monitoring. Sensors 2021, 21, 1558. [Google Scholar] [CrossRef]
- Kim, D.; Feng, M. Real-time structural health monitoring using a novel fiber-optic accelerometer system. IEEE Sens. J. 2007, 7, 536–543. [Google Scholar] [CrossRef]
- Talebinejad, I.; Fischer, C.; Ansari, F. Serially multiplexed FBG accelerometer for structural health monitoring of bridges. Smart. Struct. Syst. 2009, 5, 345–355. [Google Scholar] [CrossRef]
- Lin, C.; Chen, S.; Yang, C.; Wu, C.; Huang, C.; Kuo, C.; Huang, Y. Structural Health Monitoring of Bridges Using Cost-Effective 1-axis Accelerometers. In Proceedings of the 9th IEEE Sensors Applications Symposium (SAS), Queenstown, New Zealand, 18–20 February 2014; pp. 24–27. [Google Scholar]
- Villacorta, J.; del-Val, L.; Martínez, R.; Balmori, J.; Magdaleno, A.; López, G.; Izquierdo, A.; Lorenzana, A.; Basterra, L. Design and Validation of a Scalable, Reconfigurable and Low-Cost Structural Health Monitoring System. Sensors 2021, 21, 648. [Google Scholar] [CrossRef]
- Komarizadehasl, S.; Lozano, F.; Lozano-Galant, J.; Ramos, G.; Turmo, J. Low-Cost Wireless Structural Health Monitoring of Bridges. Sensors 2022, 22, 5725. [Google Scholar] [CrossRef]
- Rehman, S.; Usman, M.; Toor, M.; Hussaini, Q. Advancing structural health monitoring: A vibration-based IoT approach for remote real-time systems. Sens. Actuator A-Phys. 2024, 365, 12. [Google Scholar] [CrossRef]
- Seel, T.; Raisch, J.; Schauer, T. IMU-Based Joint Angle Measurement for Gait Analysis. Sensors 2014, 14, 6891–6909. [Google Scholar] [CrossRef]
- Zhou, X.; Chen, L.; Sun, C.; Jia, W.; Yi, N.; Sun, W. Highly Accurate Attitude Estimation of Unmanned Aerial Vehicle Payloads Using Low-Cost MEMS. Micromachines 2025, 16, 632. [Google Scholar] [CrossRef] [PubMed]
- Mustata, M.; Grigorie, T. A Low-Cost Redundant Attitude System for Small Satellites, Based on Strap-Down Inertial Techniques and Gyro Sensors Linear Clustering. Appl. Sci. 2024, 14, 6585. [Google Scholar] [CrossRef]
- Strohmeier, M.; Montenegro, S. Coupled GPS/MEMS IMU Attitude Determination of Small UAVs with COTS. Electronics 2017, 6, 15. [Google Scholar] [CrossRef]
- Lu, D.; Zhang, Y.; Wang, J. Adaptive Delay-Free Filtering Based on IMU for Improving Ship Heave Measurement. Sensors 2023, 23, 9791. [Google Scholar] [CrossRef] [PubMed]
- Wang, Y.; Soltani, M.; Hussain, D.; Christensen, R. Design and Implementation of Attitude Stabilization System for Marine Satellite Tracking Antenna. Electronics 2018, 7, 398. [Google Scholar] [CrossRef]
- Bryne, T.; Rogne, R.; Fossen, T.; Johansen, T. Attitude and Heave Estimation for Ships using MEMS-based Inertial Measurements. In Proceedings of the 10th IFAC Conference on Control Applications in Marine Systems (CAMS), Trondheim, Norway, 13–16 September 2016; pp. 568–575. [Google Scholar]
- Liu, M.; Cai, Y.; Zhang, L.; Wang, Y. Attitude Estimation Algorithm of Portable Mobile Robot Based on Complementary Filter. Micromachines 2021, 12, 1373. [Google Scholar] [CrossRef] [PubMed]
- Brossard, M.; Bonnabel, S.; Barrau, A. Denoising IMU Gyroscopes With Deep Learning for Open-Loop Attitude Estimation. IEEE Robot. Autom. Lett. 2020, 5, 4796–4803. [Google Scholar] [CrossRef]
- Parikh, D.; Vohra, S.; Kaveshgar, M. Comparison of Attitude Estimation Algorithm With IMU Under External Acceleration. In Proceedings of the 7th IEEE International Symposium on Smart Electronic Systems (IEEE-iSES), Jaipur, India, 18–22 December 2021; pp. 123–126. [Google Scholar]
- Rodríguez-Quiñonez, J.; Valdez-Rodríguez, J.; Castro-Toscano, M.; Flores-Fuentes, W.; Sergiyenko, O. Inertial Methodology for the Monitoring of Structures in Motion Caused by Seismic Vibrations. Infrastructures 2024, 9, 116. [Google Scholar] [CrossRef]
- Sanchez-Fernandez, L.; Sanchez-Perez, L.; Carbajal-Hernandez, J.; Hernandez-Guerrero, M.; Perez-Echazabal, L. Buildings’ Biaxial Tilt Assessment Using Inertial Wireless Sensors and a Parallel Training Model. Sensors 2023, 23, 5352. [Google Scholar] [CrossRef]
- Lee, J.; Choi, M. Effect of Strapdown Integration Order and Sampling Rate on IMU-Based Attitude Estimation Accuracy. Sensors 2018, 18, 2775. [Google Scholar] [CrossRef]
- Choi, M.-K.; Ryu, H.-R.; Cho, M.-W.; Yu, I.-H. Effect of the Member Joint on Structural Performance of an Arch-type Multi-span Greenhouse: A Full-scale Experimental and Numerical Study. J. Bio-Environ. Control 2017, 26, 402–410. [Google Scholar] [CrossRef]
- Bergamini, E.; Ligorio, G.; Summa, A.; Vannozzi, G.; Cappozzo, A.; Sabatini, A. Estimating Orientation Using Magnetic and Inertial Sensors and Different Sensor Fusion Approaches: Accuracy Assessment in Manual and Locomotion Tasks. Sensors 2014, 14, 18625–18649. [Google Scholar] [CrossRef] [PubMed]
- Kok, M.; Hol, J.D.; Schön, T.B. Using Inertial Sensors for Position and Orientation Estimation. Found. Trends® Signal Process. 2017, 11, 1–153. [Google Scholar] [CrossRef]
- Candan, B.; Soken, H. Robust Attitude Estimation Using IMU-Only Measurements. IEEE Trans. Instrum. Meas. 2021, 70, 9. [Google Scholar] [CrossRef]
- Islam, T.; Islam, M.; Shajid-Ul-Mahmud, M.; Hossam-E-Haider, M. Comparison of Complementary and Kalman Filter Based Data Fusion for Attitude Heading Reference System. In Proceedings of the 1st International Conference on Mechanical Engineering and Applied Science (ICMEAS), Dhaka, Bangladesh, 22–23 February 2017. [Google Scholar]
- De Silva, O.; Mann, G.; Gosine, R. The Right Invariant Nonlinear Complementary Filter for Low Cost Attitude and Heading Estimation of Platforms. J. Dyn. Syst. Meas. Control-Trans. ASME 2018, 140, 10. [Google Scholar] [CrossRef]
- Sajja, G.S.; Addula, S.R. Automation Using Robots, Machine Learning, and Artificial Intelligence to Enhance Production and Quality. In Proceedings of the 2024 Second International Conference Computational and Characterization Techniques in Engineering & Sciences (IC3TES), Lucknow, India, 15–16 November 2024; pp. 1–4. [Google Scholar]
















| Specification | Value | ||||
|---|---|---|---|---|---|
| Min. | Typ. | Max. | Unit | ||
| General | Supply Voltage | 1.71 | 3.0 | 3.6 | V |
| Current Consumption | 925 | 990 | μA | ||
| Operating Temperature | −40 | 85 | °C | ||
| Photograph of the Module | ![]() | ||||
| Accelerometer | Measurement Range | ±2/±4/±8/±16 | g | ||
| Resolution | 16 | bit | |||
| Output Data Rate | 12.5 | 1600 | Hz | ||
| Output Noise | 180 | 300 | μg/√Hz | ||
| Gyroscope | Measurement Range | ±125/±250/±500/±1000/±2000 | °/s | ||
| Resolution | 16 | bit | |||
| Output Data Rate | 25 | 3200 | Hz | ||
| Output Noise | 0.007 | °/s/√Hz | |||
| Specification | Value | |||
|---|---|---|---|---|
| Min. | Typ. | Max. | Unit | |
| Operating Voltage | 2.3 | 5 | 5.5 | V |
| Operating Temperature | −40 | 85 | °C | |
| Operating Frequency | 850.125 | 930.125 | MHz | |
| TX Power Consumption | 110 | mA | ||
| RX Power Consumption | 16.8 | mA | ||
| Sleep Power Consumption | 5 | μA | ||
| Maximum TX Power | 21.5 | 22.0 | 22.5 | dBm |
| Receiving Sensitivity | −146 | −147 | −148 | dBm |
| Air Data Rate | 2.4 | 2.4 | 62.5 | kbps |
| Distance for Reference | 5 | km | ||
| Antenna | SMA-K | |||
| Photograph of the Module | ![]() | |||
| Case | Test Conditions | Measurement Sensors | Test Sites | ||
|---|---|---|---|---|---|
| Pipe Diameter | Test Duration | Sensor Node | Commercial IMU | ||
| 1 | 48 mm | 85 min | Yes | Yes | 36°37′44″ N 127°27′01″ E |
| 2 | 25 mm | 25 min | Yes | Yes | 36°37′44″ N 127°27′01″ E |
| 3 | 25 mm | 50 h | Yes | No | 35°27′04″ N 128°48′32″ E |
| 4 | 25 mm | 98 h | Yes | No | 35°27′04″ N 128°48′32″ E |
| Sensor Node Attitude Angle | Field Test Case | α | RMSE | SD |
|---|---|---|---|---|
| Pitch | 1 | 0.90 | 0.204257 | 0.290637 |
| 0.94 | 0.213562 | 0.288363 | ||
| 0.98 | 0.235414 | 0.289325 | ||
| 2 | 0.90 | 0.305509 | 0.077097 | |
| 0.94 | 0.506111 | 0.064308 | ||
| 0.98 | 1.530756 | 0.072040 | ||
| Yaw | 1 | 0.90 | 0.193626 | 0.166899 |
| 0.94 | 0.208040 | 0.160779 | ||
| 0.98 | 0.267402 | 0.146637 | ||
| 2 | 0.90 | 0.069746 | 0.078966 | |
| 0.94 | 0.061989 | 0.070438 | ||
| 0.98 | 0.102013 | 0.067897 |
| Combination | Process Noise Covariance Coefficient (Q) | Measurement Noise Covariance Coefficient (R) |
|---|---|---|
| I | 0.005 | 0.050 |
| II | 0.003 | 0.075 |
| III | 0.001 | 0.100 |
| Sensor Node Attitude Angle | Field Test Case | Coefficient Combination | RMSE | SD |
|---|---|---|---|---|
| Pitch | 1 | I | 0.365445 | 0.304221 |
| II | 0.246787 | 0.283763 | ||
| III | 0.204730 | 0.290319 | ||
| 2 | I | 0.153176 | 0.122560 | |
| II | 0.184377 | 0.100206 | ||
| III | 0.320618 | 0.075506 | ||
| Yaw | 1 | I | 0.205078 | 0.185625 |
| II | 0.200235 | 0.161101 | ||
| III | 0.204302 | 0.166256 | ||
| 2 | I | 0.104382 | 0.113416 | |
| II | 0.087616 | 0.096016 | ||
| III | 0.068740 | 0.078073 |
| Sensor Node Attitude Angle | Field Test Case | Complementary Filter (α = 0.94) | Kalman Filter (Q = 0.001, R = 0.1) | ||
|---|---|---|---|---|---|
| RMSE | SD | RMSE | SD | ||
| Pitch | 1 | 0.213562 | 0.288363 | 0.204730 | 0.290319 |
| 2 | 0.506111 | 0.064308 | 0.320618 | 0.075506 | |
| Yaw | 1 | 0.208040 | 0.160779 | 0.204302 | 0.166256 |
| 2 | 0.061989 | 0.070438 | 0.068740 | 0.078073 | |
| Field Test Case | Pitch | Yaw |
|---|---|---|
| 1 | 0.0280 | 0.0227 |
| 2 | 0.0290 | 0.0250 |
| 3 | 0.00405 | 0.00275 |
| Field Test Case | Max. | Min. | RMS | |
|---|---|---|---|---|
| 1 | Pitch | 0.066336 | −0.045503 | 0.0285 |
| Yaw | 0.369066 | −0.048114 | 0.0601 | |
| 2 | Pitch | 0.254400 | −0.233007 | 0.0908 |
| Yaw | 0.022610 | −0.106365 | 0.0334 | |
| 3 | Pitch | 0.019826 | −0.004367 | 0.00386 |
| Yaw | 0.007690 | −0.004772 | 0.00309 | |
| Components | Remarks | Power Consumption [mW] |
|---|---|---|
| Arduino Pro Mini 3.3 V | 22.5 | |
| BMI160 | 3.05 | |
| E220-900T22D | Sleep Mode | 0.023 |
| SZH-EKBZ-005 | Read/Write Mean | 1.22 |
| Total | 26.81 |
| Components | Cost [USD] |
|---|---|
| Arduino Pro Mini 3.3 V | 11 |
| BMI160 | 2 |
| E220-900T22D | 6 |
| SZH-EKBZ-005 | 1 |
| Total | 20 |
Disclaimer/Publisher’s Note: The statements, opinions and data contained in all publications are solely those of the individual author(s) and contributor(s) and not of MDPI and/or the editor(s). MDPI and/or the editor(s) disclaim responsibility for any injury to people or property resulting from any ideas, methods, instructions or products referred to in the content. |
© 2025 by the authors. Licensee MDPI, Basel, Switzerland. This article is an open access article distributed under the terms and conditions of the Creative Commons Attribution (CC BY) license (https://creativecommons.org/licenses/by/4.0/).
Share and Cite
Park, G.; Park, J.; Jung, E.; Lee, J.; Hwang, H.; Song, J.; Yu, S.; Lim, S.; Park, J. Low-Power IMU System for Attitude Estimation-Based Plastic Greenhouse Foundation Uplift Monitoring. Sensors 2025, 25, 6901. https://doi.org/10.3390/s25226901
Park G, Park J, Jung E, Lee J, Hwang H, Song J, Yu S, Lim S, Park J. Low-Power IMU System for Attitude Estimation-Based Plastic Greenhouse Foundation Uplift Monitoring. Sensors. 2025; 25(22):6901. https://doi.org/10.3390/s25226901
Chicago/Turabian StylePark, Gunhui, Junghwa Park, Eunji Jung, Jaehun Lee, Hyeonjun Hwang, Jisu Song, Seokcheol Yu, Seongyoon Lim, and Jaesung Park. 2025. "Low-Power IMU System for Attitude Estimation-Based Plastic Greenhouse Foundation Uplift Monitoring" Sensors 25, no. 22: 6901. https://doi.org/10.3390/s25226901
APA StylePark, G., Park, J., Jung, E., Lee, J., Hwang, H., Song, J., Yu, S., Lim, S., & Park, J. (2025). Low-Power IMU System for Attitude Estimation-Based Plastic Greenhouse Foundation Uplift Monitoring. Sensors, 25(22), 6901. https://doi.org/10.3390/s25226901



