Near-Infrared Dual Greenhouse Gas Sensor Based on Hollow-Core Photonic Crystal Fiber for Gas-Cell In-Situ Applications
Abstract
1. Introduction
2. Materials and Methods
2.1. Sensor Configuration
2.2. HC-PBF Fiber Characteristic and Fusion
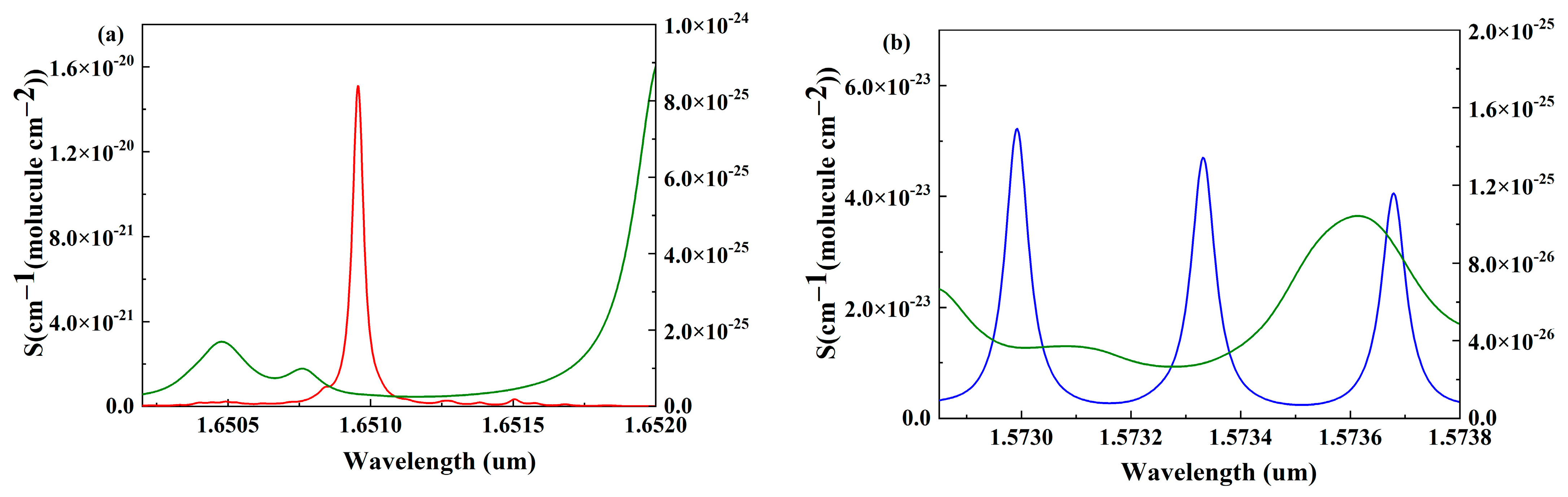
2.3. Dual-Gas Detection Mechanism
2.4. Gas Cell Structure Design
2.5. Harmonic Detection Theory
3. Results
3.1. Waveform Measurements
3.2. 2f Signal Fitting
3.3. Natural Diffusion Process of HC-PCF Cell
3.4. Calibration and Data-Fitting
3.5. Detection Limit
3.6. Field Application
4. Discussion
5. Conclusions
Author Contributions
Funding
Institutional Review Board Statement
Informed Consent Statement
Data Availability Statement
Conflicts of Interest
References
- World Meteorological Organization. The State of Greenhouse Gases in the Atmosphere Based on Global Observation through 2019; WMO: Geneva, Switzerland, 2019. [Google Scholar]
- Wang, J.N.; Li, B.; Lin, G.Y.; Ma, Q.J.; Wang, S.R.; Piao, M.X. Near-infrared methane sensor based on a distributed feedback laser. Spectrosc. Lett. 2019, 52, 113–120. [Google Scholar] [CrossRef]
- Knight, J.; Birks, T.; Russell, P.S.J.; Atkin, D. All-silica single-mode optical fiber with photonic crystal cladding. Opt. Lett. 1996, 21, 1547–1549. [Google Scholar] [CrossRef] [PubMed]
- Bykov, D.; Schmidt, O.; Euser, T.; Russell, P.S.J. Flying particle sensors in hollow-core photonic crystal fibre. Nat. Photonics 2015, 9, 461–465. [Google Scholar] [CrossRef]
- Jin, W.; Ho, H.; Cao, Y.; Ju, J.; Qi, L. Gas detection with micro-and nano-engineered optical fibers. Opt. Fiber Technol. 2013, 19, 741–759. [Google Scholar] [CrossRef]
- Pang, M.; He, W.; Jiang, X.; Russell, P.S.J. All-optical bit storage in a fibre laser by optomechanically bound states of solitons. Nat. Photonics 2016, 10, 454. [Google Scholar] [CrossRef]
- Amanzadeh, M.; Aminossadati, S.M. A new approach for drilling lateral microchannels in photonic crystal fibres. In Proceedings of the IEEE Photonics Conference (IPC), Waikoloa, HI, USA, 2–6 October 2016; pp. 779–780. [Google Scholar]
- Yan, D.; Popp, J.; Pletz, M.W.; Frosch, T. Highly sensitive broadband Raman Sensing of Antibiotics in step-index hollo-core photonic crystal fibers. ACS Photonics 2017, 4, 138–145. [Google Scholar] [CrossRef]
- Yan, D.; Popp, J.; Pletz, M.W.; Frosch, T. Fiber enhanced Raman sensing of levofloxacin by PCF bandgap-shifting into the visible range. Anal. Methods 2018, 10, 586–592. [Google Scholar] [CrossRef]
- Yu, R.; Chen, Y.X.; Shui, L.L.; Xiao, L.M. Hollow-core photonic crystal fiber gas sensing. Sensors 2020, 20, 2996. [Google Scholar] [CrossRef]
- Russell, P. Photonic crystal fibers. Science 2003, 299, 358–362. [Google Scholar] [CrossRef]
- Yang, F.; Jin, W.; Cao, Y.; Ho, H.L.; Wang, Y. Towards high sensitivity gas detection with hollow-core photonic bandgap fibers. Opt. Express 2014, 22, 24894–24907. [Google Scholar] [CrossRef]
- Lin, Y.; Liu, F.; He, X.; Jin, W.; Zhang, M.; Yang, F.; Ho, H.L.; Tan, Y.; Gu, L. Distributed gas sensing with optical fiber photothermal interferometry. Opt. Express 2017, 25, 31568–31585. [Google Scholar] [CrossRef]
- Hu, H.-F.; Zhao, Y.; Zhang, Y.-N.; Yang, Y. Characterization of infrared gas sensors employing hollow-core photonic crystal fibers. Instrum. Sci. Technol. 2016, 44, 495–503. [Google Scholar] [CrossRef]
- Cubillas, A.M.; Lazaro, J.M.; Silva-Lopez, M.; Conde, O.M.; Petrovich, M.N.; Lopez-Higuera, J.M. Methane sensing at 1300 nm band with hollow-core photonic bandgap fibre as gas cell. Electron. Lett. 2008, 44, 403–405. [Google Scholar] [CrossRef]
- Cubillas, A.; Lazaro, J.; Conde, O.; Petrovich, M.; Lopez-Higuera, J. Gas sensor based on photonic crystal fibres in the 2ν3 and ν2+2ν3 vibrational bands of methane. Sensors 2009, 9, 6261. [Google Scholar] [CrossRef]
- Hu, L.E.; Zheng, C.T.; Yao, D.; Yu, D.; Liu, Z.; Zheng, J.; Wang, Y.; Tittel, F.K. A hollow-core photonic band-gap fiber based methane sensor system capable of reduced mode interference noise. Infrared Phys. Tehchnol. 2019, 97, 101–107. [Google Scholar] [CrossRef]
- Kassani, S.H.; Park, J.; Jung, Y.; Kobelke, J.; Oh, K. Fast response in-line gas sensor using C-type fiber and Ge-doped ring defect photonic crystal fiber. Opt. Express 2013, 21, 14074–14083. [Google Scholar] [CrossRef] [PubMed]
- Qixin, H.; Peipei, D.; Zhiwei, L.; Chuantao, Z.; Yiding, W. TDLAS-WMS based near-infrared methane sensor system using hollow-core photonic crystal fiber as gas-chamber. Opt. Quant. Electron. 2017, 48, 115. [Google Scholar]
- Valiunas, J.K.; Tenuta, M.; Das, G. A gas cell based on hollow-core photonic crystal fiber (PCF) and its application for the detection of greenhouse gas (GHG): Nitrous oxide (N2O). J. Sens. 2016, 2016, 7678315. [Google Scholar] [CrossRef]
- Hoo, Y.L.; Liu, S.J.; Ho, H.L.; Jin, W. Fast Response microstructured optical fiber methane sensor with multiple side-openings. IEEE Photonics Technol. Lett. 2010, 22, 296–298. [Google Scholar] [CrossRef]
- Hartung, A.; Kobelke, J.; Schwuchow, A.; Wondraczek, K.; Bierlich, J.; Popp, J.; Frosch, T.; Schmidt, M.A. Origins of modal loss of antiresonant hollow-core optical fibers in the ultraviolet. Opt. Express 2015, 23, 2557–2565. [Google Scholar] [CrossRef] [PubMed]
- Kobelke, J.; Bierlich, J.; Schwuchow, A.; Lorenz, A.; Hartung, A. OH diffusion effects at preparation of antiresonant hollow core fibers. Micro-Struct. Spec. Opt. Fibres 2019, 11029, 1102904. [Google Scholar]










Disclaimer/Publisher’s Note: The statements, opinions and data contained in all publications are solely those of the individual author(s) and contributor(s) and not of MDPI and/or the editor(s). MDPI and/or the editor(s) disclaim responsibility for any injury to people or property resulting from any ideas, methods, instructions or products referred to in the content. |
© 2024 by the authors. Licensee MDPI, Basel, Switzerland. This article is an open access article distributed under the terms and conditions of the Creative Commons Attribution (CC BY) license (https://creativecommons.org/licenses/by/4.0/).
Share and Cite
Wang, J.; Li, B.; Wu, W.; Lin, G. Near-Infrared Dual Greenhouse Gas Sensor Based on Hollow-Core Photonic Crystal Fiber for Gas-Cell In-Situ Applications. Sensors 2024, 24, 1670. https://doi.org/10.3390/s24051670
Wang J, Li B, Wu W, Lin G. Near-Infrared Dual Greenhouse Gas Sensor Based on Hollow-Core Photonic Crystal Fiber for Gas-Cell In-Situ Applications. Sensors. 2024; 24(5):1670. https://doi.org/10.3390/s24051670
Chicago/Turabian StyleWang, Jianing, Bingqiang Li, Weiping Wu, and Guanyu Lin. 2024. "Near-Infrared Dual Greenhouse Gas Sensor Based on Hollow-Core Photonic Crystal Fiber for Gas-Cell In-Situ Applications" Sensors 24, no. 5: 1670. https://doi.org/10.3390/s24051670
APA StyleWang, J., Li, B., Wu, W., & Lin, G. (2024). Near-Infrared Dual Greenhouse Gas Sensor Based on Hollow-Core Photonic Crystal Fiber for Gas-Cell In-Situ Applications. Sensors, 24(5), 1670. https://doi.org/10.3390/s24051670
