Biomechanical Effects of Using a Passive Exoskeleton for the Upper Limb in Industrial Manufacturing Activities: A Pilot Study
Abstract
1. Introduction
2. Materials and Methods
2.1. Study Population
2.2. Exoskeleton
2.3. Experimental Procedure
2.4. EMG Feature Extraction
2.5. Usability and Satisfaction Assessment
2.6. Statistical Analysis
2.6.1. Two-Way ANOVA
2.6.2. Correlation Analysis
3. Results
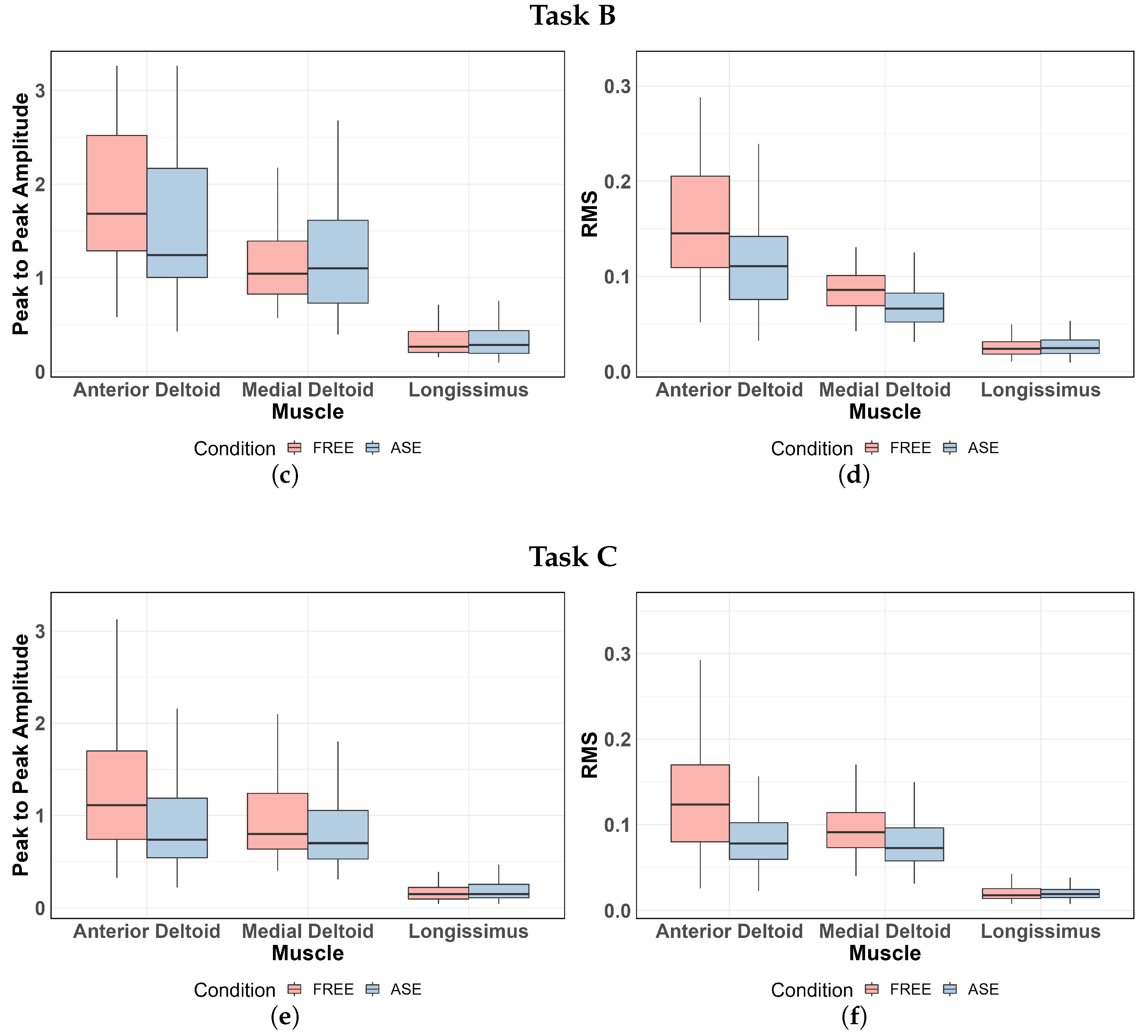
3.1. Analysis of Exoskeleton Effect
3.2. Assessment of Satisfaction and Usability
3.3. Correlation Analysis
3.3.1. Individual Variables
3.3.2. OCRA Classification
4. Discussions
4.1. Analysis of Exoskeleton Effect
4.2. Correlation Analysis
4.3. Workers’ Opinions
4.4. Significance of ASE as Preventive Intervention for WMSD
5. Conclusions
Author Contributions
Funding
Institutional Review Board Statement
Informed Consent Statement
Data Availability Statement
Conflicts of Interest
Abbreviations
| ASE | Arm-Support Exoskeleton |
| BMI | Body Mass Index |
| EMG | Electromyography |
| ESL | Erector Spinae Longissimus |
| EXO | Exoskeleton |
| OCRA | OCcupational Repetitive Actions |
| P2P | Peak-to-Peak |
| QUEST | Quebec User Evaluation of Satisfaction with Assistive Technology |
| RMS | Root Mean Square |
| SENIAM | Surface Electromyography for the Non-Invasive Assessment of Muscles |
| SUS | System Usability Scale |
| WMSD | Work-related MusculoSkeletal Disorder |
References
- De Looze, M.P.; Bosch, T.; Krause, F.; Stadler, K.S.; O’Sullivan, L.W. Exoskeletons for industrial application and their potential effects on physical work load. Ergonomics 2016, 59, 671–681. [Google Scholar] [CrossRef]
- European Agency for Safety and Health at Work (EU Body or Agency); IKEI; Panteia; Kok, J.D.; Vroonhof, P.; Snijders, J.; Roullis, G.; Clarke, M.; Peereboom, K.; Dorst, P.V.; et al. Work-Related Musculoskeletal Disorders: Prevalence, Costs and Demographics in the EU; Publications Office of the European Union: Luxembourg, 2019. [Google Scholar]
- Haartz, J.; Sweeney, M. Work related musculoskeletal disorders: Prevention and intervention research at NIOSH. In Proceedings of the 6th FIOH-NIOSH Joint Symposium on Occupational Health and Safety, Espoo, Finland, 8–10 August 1995; pp. 135–144. [Google Scholar]
- Van Der Windt, D.A.W.M. Occupational risk factors for shoulder pain: A systematic review. Occup. Environ. Med. 2000, 57, 433–442. [Google Scholar] [CrossRef]
- van Rijn, R.M.; Huisstede, B.M.; Koes, B.W.; Burdorf, A. Associations between work-related factors and specific disorders of the shoulder — a systematic review of the literature. Scand. J. Work. Environ. Health 2010, 36, 189–201. [Google Scholar] [CrossRef]
- Van Der Molen, H.F.; Foresti, C.; Daams, J.G.; Frings-Dresen, M.H.W.; Kuijer, P.P.F.M. Work-related risk factors for specific shoulder disorders: A systematic review and meta-analysis. Occup. Environ. Med. 2017, 74, 745–755. [Google Scholar] [CrossRef]
- Mayer, J.; Kraus, T.; Ochsmann, E. Longitudinal evidence for the association between work-related physical exposures and neck and/or shoulder complaints: A systematic review. Int. Arch. Occup. Environ. Health 2012, 85, 587–603. [Google Scholar] [CrossRef]
- Miranda, H.; Punnett, L.; Viikari-Juntura, E.; Heliövaara, M.; Knekt, P. Physical work and chronic shoulder disorder. Results of a prospective population-based study. Ann. Rheum. Dis. 2008, 67, 218–223. [Google Scholar] [CrossRef]
- Kim, S.; Madinei, S.; Alemi, M.M.; Srinivasan, D.; Nussbaum, M.A. Assessing the potential for “undesired” effects of passive back-support exoskeleton use during a simulated manual assembly task: Muscle activity, posture, balance, discomfort, and usability. Appl. Ergon. 2020, 89, 103194. [Google Scholar] [CrossRef] [PubMed]
- Baldassarre, A.; Lulli, L.G.; Cavallo, F.; Fiorini, L.; Mariniello, A.; Mucci, N.; Arcangeli, G. Industrial exoskeletons from bench to field: Human-machine interface and user experience in occupational settings and tasks. Front. Public Health 2022, 10, 1039680. [Google Scholar] [CrossRef] [PubMed]
- De Bock, S.; Ghillebert, J.; Govaerts, R.; Tassignon, B.; Rodriguez-Guerrero, C.; Crea, S.; Veneman, J.; Geeroms, J.; Meeusen, R.; De Pauw, K. Benchmarking occupational exoskeletons: An evidence mapping systematic review. Appl. Ergon. 2022, 98, 103582. [Google Scholar] [CrossRef]
- Marino, M. Impacts of Using Passive Back Assist and Shoulder Assist Exoskeletons in a Wholesale and Retail Trade Sector Environment. IISE Trans. Occup. Ergon. Hum. Factors 2019, 7, 281–290. [Google Scholar] [CrossRef]
- McFarland, T.; Fischer, S. Considerations for Industrial Use: A Systematic Review of the Impact of Active and Passive Upper Limb Exoskeletons on Physical Exposures. IISE Trans. Occup. Ergon. Hum. Factors 2019, 7, 322–347. [Google Scholar] [CrossRef]
- Theurel, J.; Desbrosses, K. Occupational Exoskeletons: Overview of Their Benefits and Limitations in Preventing Work-Related Musculoskeletal Disorders. IISE Trans. Occup. Ergon. Hum. Factors 2019, 7, 264–280. [Google Scholar] [CrossRef]
- Spada, S.; Ghibaudo, L.; Gilotta, S.; Gastaldi, L.; Cavatorta, M.P. Analysis of Exoskeleton Introduction in Industrial Reality: Main Issues and EAWS Risk Assessment. In Advances in Physical Ergonomics and Human Factors; Goonetilleke, R.S., Karwowski, W., Eds.; Springer International Publishing: Cham, Switzerland, 2018; Volume 602, pp. 236–244. [Google Scholar] [CrossRef]
- Amandels, S.; Eyndt, H.O.H.; Daenen, L.; Hermans, V. Introduction and Testing of a Passive Exoskeleton in an Industrial Working Environment. In Proceedings of the 20th Congress of the International Ergonomics Association (IEA 2018), Florence, Italy, 26–30 August 2018; Bagnara, S., Tartaglia, R., Albolino, S., Alexander, T., Fujita, Y., Eds.; Springer International Publishing: Cham, Switzerland, 2018; Volume 820, pp. 387–392. [Google Scholar] [CrossRef]
- Motmans, R.; Debaets, T.; Chrispeels, S. Effect of a Passive Exoskeleton on Muscle Activity and Posture During Order Picking. In Proceedings of the 20th Congress of the International Ergonomics Association (IEA 2018), Florence, Italy, 26–30 August 2018; Bagnara, S., Tartaglia, R., Albolino, S., Alexander, T., Fujita, Y., Eds.; Springer International Publishing: Cham, Switzerland, 2018; Volume 820, pp. 338–346. [Google Scholar] [CrossRef]
- Omoniyi, A.; Trask, C.; Milosavljevic, S.; Thamsuwan, O. Farmers’ perceptions of exoskeleton use on farms: Finding the right tool for the work(er). Int. J. Ind. Ergon. 2020, 80, 103036. [Google Scholar] [CrossRef]
- Moeller, T.; Krell-Roesch, J.; Woll, A.; Stein, T. Effects of Upper-Limb Exoskeletons Designed for Use in the Working Environment—A Literature Review. Front. Robot. AI 2022, 9, 858893. [Google Scholar] [CrossRef] [PubMed]
- Sun, H.; Han, Y.; Huang, M.; Li, J.; Bian, Z.; Wang, Y.; Liu, H.; Liu, C.; Shen, C. Highly stretchable, environmentally stable, self-healing and adhesive conductive nanocomposite organohydrogel for efficient multimodal sensing. Chem. Eng. J. 2024, 480, 148305. [Google Scholar] [CrossRef]
- He, Y.; Zhou, M.; Mahmoud, M.H.H.; Lu, X.; He, G.; Zhang, L.; Huang, M.; Elnaggar, A.Y.; Lei, Q.; Liu, H.; et al. Multifunctional wearable strain/pressure sensor based on conductive carbon nanotubes/silk nonwoven fabric with high durability and low detection limit. Adv. Compos. Hybrid Mater. 2022, 5, 1939–1950. [Google Scholar] [CrossRef]
- Cesarelli, G.; Donisi, L.; Coccia, A.; Amitrano, F.; D’Addio, G.; Ricciardi, C. The E-Textile for Biomedical Applications: A Systematic Review of Literature. Diagnostics 2021, 11, 2263. [Google Scholar] [CrossRef] [PubMed]
- Occhipinti, E. OCRA: A concise index for the assessment of exposure to repetitive movements of the upper limbs. Ergonomics 1998, 41, 1290–1311. [Google Scholar] [CrossRef]
- Hermens, H.J.; Freriks, B.; Merletti, R.; Stegeman, D.; Joleen, B.; Günter, R.; Disselhorst-Klug, C.; Hägg, G. European recommendations for surface electromyography. Roessingh Res. Dev. 1999, 8, 13–54. [Google Scholar]
- Demers, L.; Weiss-Lambrou, R.; Ska, B. Quebec User Evaluation of Satisfaction with Assistive Technology Versione 2.0; The Institute for Matching Persons and Technology: Webster, NY, USA, 2000. [Google Scholar]
- Kortum, P.T.; Bangor, A. Usability Ratings for Everyday Products Measured with the System Usability Scale. Int. J. Hum.-Comput. Interact. 2013, 29, 67–76. [Google Scholar] [CrossRef]
- Golabchi, A.; Chao, A.; Tavakoli, M. A Systematic Review of Industrial Exoskeletons for Injury Prevention: Efficacy Evaluation Metrics, Target Tasks, and Supported Body Postures. Sensors 2022, 22, 2714. [Google Scholar] [CrossRef] [PubMed]
- Maurice, P.; Camernik, J.; Gorjan, D.; Schirrmeister, B.; Bornmann, J.; Tagliapietra, L.; Latella, C.; Pucci, D.; Fritzsche, L.; Ivaldi, S.; et al. Objective and Subjective Effects of a Passive Exoskeleton on Overhead Work. IEEE Trans. Neural Syst. Rehabil. Eng. 2020, 28, 152–164. [Google Scholar] [CrossRef] [PubMed]
- Perez Luque, E.; Högberg, D.; Iriondo Pascual, A.; Lämkull, D.; Garcia Rivera, F. Motion Behavior and Range of Motion when Using Exoskeletons in Manual Assembly Tasks. In Advances in Transdisciplinary Engineering; Säfsten, K., Elgh, F., Eds.; IOS Press: Amsterdam, The Netherlands, 2020. [Google Scholar] [CrossRef]
- Schmalz, T.; Schändlinger, J.; Schuler, M.; Bornmann, J.; Schirrmeister, B.; Kannenberg, A.; Ernst, M. Biomechanical and Metabolic Effectiveness of an Industrial Exoskeleton for Overhead Work. Int. J. Environ. Res. Public Health 2019, 16, 4792. [Google Scholar] [CrossRef] [PubMed]
- Desbrosses, K.; Schwartz, M.; Theurel, J. Evaluation of two upper-limb exoskeletons during overhead work: Influence of exoskeleton design and load on muscular adaptations and balance regulation. Eur. J. Appl. Physiol. 2021, 121, 2811–2823. [Google Scholar] [CrossRef]
- Pinto, T.; Dos Anjos, F.; Vieira, T.; Cerone, G.L.; Sessa, R.; Caruso, F.; Caragnano, G.; Violante, F.S.; Gazzoni, M. The Effect of Passive Exoskeleton on Shoulder Muscles Activity during Different Static Tasks. In Proceedings of the 8th European Medical and Biological Engineering Conference, Portoroz, Slovenia, 29 November–3 December 2020; Jarm, T., Cvetkoska, A., Mahnič-Kalamiza, S., Miklavcic, D., Eds.; Springer International Publishing: Cham, Switzerland, 2021; Volume 80, pp. 1087–1091. [Google Scholar] [CrossRef]
- Rashedi, E.; Kim, S.; Nussbaum, M.A.; Agnew, M.J. Ergonomic evaluation of a wearable assistive device for overhead work. Ergonomics 2014, 57, 1864–1874. [Google Scholar] [CrossRef] [PubMed]
- Theurel, J.; Desbrosses, K.; Roux, T.; Savescu, A. Physiological consequences of using an upper limb exoskeleton during manual handling tasks. Appl. Ergon. 2018, 67, 211–217. [Google Scholar] [CrossRef] [PubMed]
- Pacifico, I.; Scano, A.; Guanziroli, E.; Moise, M.; Morelli, L.; Chiavenna, A.; Romo, D.; Spada, S.; Colombina, G.; Molteni, F.; et al. An Experimental Evaluation of the Proto-MATE: A Novel Ergonomic Upper-Limb Exoskeleton to Reduce Workers’ Physical Strain. IEEE Robot. Autom. Mag. 2020, 27, 54–65. [Google Scholar] [CrossRef]
- Pinho, J.P.; Parik Americano, P.; Taira, C.; Pereira, W.; Caparroz, E.; Forner-Cordero, A. Shoulder muscles electromyographic responses in automotive workers wearing a commercial exoskeleton. In Proceedings of the 2020 42nd Annual International Conference of the IEEE Engineering in Medicine & Biology Society (EMBC), Montreal, QC, Canada, 20–24 July 2020; pp. 4917–4920. [Google Scholar] [CrossRef]
- Alabdulkarim, S.; Nussbaum, M.A. Influences of different exoskeleton designs and tool mass on physical demands and performance in a simulated overhead drilling task. Appl. Ergon. 2019, 74, 55–66. [Google Scholar] [CrossRef]
- Grazi, L.; Trigili, E.; Proface, G.; Giovacchini, F.; Crea, S.; Vitiello, N. Design and Experimental Evaluation of a Semi-Passive Upper-Limb Exoskeleton for Workers with Motorized Tuning of Assistance. IEEE Trans. Neural Syst. Rehabil. Eng. 2020, 28, 2276–2285. [Google Scholar] [CrossRef]
- Groos, S.; Abele, N.D.; Fischer, P.; Hefferle, M.; Kluth, K. Evaluation of Physiological Costs Using Standardized Analysis Methods during Simulated Overhead Work with and without Exoskeleton. In Proceedings of the 21st Congress of the International Ergonomics Association (IEA 2021), Online, 13–18 June 2021; Black, N.L., Neumann, W.P., Noy, I., Eds.; Springer International Publishing: Cham, Switzerland, 2022; Volume 223, pp. 250–257. [Google Scholar] [CrossRef]
- Iranzo, S.; Piedrabuena, A.; Iordanov, D.; Martinez-Iranzo, U.; Belda-Lois, J.M. Ergonomics assessment of passive upper-limb exoskeletons in an automotive assembly plant. Appl. Ergon. 2020, 87, 103120. [Google Scholar] [CrossRef]
- Otten, B.M.; Weidner, R.; Argubi-Wollesen, A. Evaluation of a Novel Active Exoskeleton for Tasks at or Above Head Level. IEEE Robot. Autom. Lett. 2018, 3, 2408–2415. [Google Scholar] [CrossRef]
- Pacifico, I.; Parri, A.; Taglione, S.; Sabatini, A.M.; Violante, F.S.; Molteni, F.; Giovacchini, F.; Vitiello, N.; Crea, S. Exoskeletons for workers: A case series study in an enclosures production line. Appl. Ergon. 2022, 101, 103679. [Google Scholar] [CrossRef] [PubMed]
- Van Engelhoven, L.; Poon, N.; Kazerooni, H.; Barr, A.; Rempel, D.; Harris-Adamson, C. Evaluation of an adjustable support shoulder exoskeleton on static and dynamic overhead tasks. Proc. Hum. Factors Ergon. Soc. Annu. Meet. 2018, 62, 804–808. [Google Scholar] [CrossRef]
- De Vries, A.W.; Krause, F.; De Looze, M.P. The effectivity of a passive arm support exoskeleton in reducing muscle activation and perceived exertion during plastering activities. Ergonomics 2021, 64, 712–721. [Google Scholar] [CrossRef] [PubMed]
- Wang, H.M.; Le, D.K.L.; Lin, W.C. Evaluation of a Passive Upper-Limb Exoskeleton Applied to Assist Farming Activities in Fruit Orchards. Appl. Sci. 2021, 11, 757. [Google Scholar] [CrossRef]
- Bär, M.; Steinhilber, B.; Rieger, M.A.; Luger, T. The influence of using exoskeletons during occupational tasks on acute physical stress and strain compared to no exoskeleton—A systematic review and meta-analysis. Appl. Ergon. 2021, 94, 103385. [Google Scholar] [CrossRef]
- Siedl, S.M.; Mara, M. Exoskeleton acceptance and its relationship to self-efficacy enhancement, perceived usefulness, and physical relief: A field study among logistics workers. Wearable Technol. 2021, 2, e10. [Google Scholar] [CrossRef]
- Kim, S.; Nussbaum, M.A.; Smets, M.; Ranganathan, S. Effects of an arm-support exoskeleton on perceived work intensity and musculoskeletal discomfort: An 18-month field study in automotive assembly. Am. J. Ind. Med. 2021, 64, 905–914. [Google Scholar] [CrossRef]
- Kranenborg, S.; Greve, C.; Reneman, M.; Roossien, C. Side-effects and adverse events of a shoulder- and back-support exoskeleton in workers: A systematic review. Appl. Ergon. 2023, 111, 104042. [Google Scholar] [CrossRef]
- Kim, S.; Nussbaum, M.A.; Smets, M. Usability, User Acceptance, and Health Outcomes of Arm-Support Exoskeleton Use in Automotive Assembly: An 18-month Field Study. J. Occup. Environ. Med. 2022, 64, 202–211. [Google Scholar] [CrossRef] [PubMed]
- De Bock, S.; Ghillebert, J.; Govaerts, R.; Elprama, S.A.; Marusic, U.; Serrien, B.; Jacobs, A.; Geeroms, J.; Meeusen, R.; De Pauw, K. Passive Shoulder Exoskeletons: More Effective in the Lab Than in the Field? IEEE Trans. Neural Syst. Rehabil. Eng. 2021, 29, 173–183. [Google Scholar] [CrossRef] [PubMed]
- Steinhilber, B.; Luger, T.; Schwenkreis, P.; Middeldorf, S.; Bork, H.; Mann, B.; Von Glinski, A.; Schildhauer, T.A.; Weiler, S.; Schmauder, M.; et al. The use of exoskeletons in the occupational context for primary, secondary, and tertiary prevention of work-related musculoskeletal complaints. IISE Trans. Occup. Ergon. Hum. Factors 2020, 8, 132–144. [Google Scholar] [CrossRef] [PubMed]
- Howard, J.; Murashov, V.V.; Lowe, B.D.; Lu, M. Industrial exoskeletons: Need for intervention effectiveness research. Am. J. Ind. Med. 2020, 63, 201–208. [Google Scholar] [CrossRef] [PubMed]
- Kim, S.; Nussbaum, M.A.; Mokhlespour Esfahani, M.I.; Alemi, M.M.; Jia, B.; Rashedi, E. Assessing the influence of a passive, upper extremity exoskeletal vest for tasks requiring arm elevation: Part II—“Unexpected” effects on shoulder motion, balance, and spine loading. Appl. Ergon. 2018, 70, 323–330. [Google Scholar] [CrossRef]










| Age (Year) | Height (cm) | BMI | Exoskeleton Use (Months) | |
|---|---|---|---|---|
| mean | 40.8 | 172 | 23.1 | 4.29 |
| std | 12.7 | 7 | 2.9 | 5.87 |
| Task | A | B | C |
|---|---|---|---|
| Single Cycle Duration (s) | 8 | 10 | 2 |
| Number of Cycles in the Task | 10 | 10 | 12 |
| Estimated time (s) | 80 | 110 | 24 |
| Technical Actions/min Left | 30 | 36 | 7 |
| Technical Actions/min Right | 45 | 42 | 60 |
| Shoulder Flexion > 80°, Dominant Side (% cycle) | 25 | 55 | 80 |
| Height Range of Hand’s Actions (cm) | 50–200 | 115–210 | 110–208 |
| Applied Force/Load per Cycle (kg) | 3.5 | 2 | - |
| P2P Amplitude | RMS | |||||
|---|---|---|---|---|---|---|
| FREE | ASE | p-Value | FREE | ASE | p-Value | |
| Anterior Deltoid | <0.001 | <0.001 | ||||
| Medial Deltoid | <0.001 | |||||
| ESL | 0.010 | 0.226 | ||||
| P2P Amplitude | RMS | |||||
|---|---|---|---|---|---|---|
| FREE | ASE | p-Value | FREE | ASE | p-Value | |
| Anterior Deltoid | 0.001 | <0.001 | ||||
| Medial Deltoid | <0.001 | |||||
| ESL | ||||||
| P2P Amplitude | RMS | |||||
|---|---|---|---|---|---|---|
| FREE | ASE | p-Value | FREE | ASE | p-Value | |
| Anterior Deltoid | 0.001 | <0.001 | ||||
| Medial Deltoid | <0.001 | |||||
| ESL | ||||||
| Task A | Task B | Task C | |||||||
|---|---|---|---|---|---|---|---|---|---|
| Anterior Deltoid | Medial Deltoid | ESL | Anterior Deltoid | Medial Deltoid | ESL | Anterior Deltoid | Medial Deltoid | ESL | |
| Age | 0.419 | 0.0479 | −0.299 | 0.707 * | −0.108 | −0.491 | 0.275 | 0.204 | −0.599 |
| BMI | −0.405 | −0.190 | 0.238 | −0.619 | −0.0476 | 0.0952 | −0.381 | −0.381 | 0.429 |
| Length of Service | 0.0120 | 1.59 × 10−17 | −0.422 | 0.566 | −0.193 | −0.145 | 0.554 | 0.0482 | −0.193 |
| PAEXO Use | 0.209 | 0.0491 | −0.356 | 0.503 | 0.454 | 0.0614 | 0.381 | 0.221 | −0.196 |
| Task A | Task B | Task C | |
|---|---|---|---|
| OCRA Index | 8.7 | 2.3 | 14.0 |
Disclaimer/Publisher’s Note: The statements, opinions and data contained in all publications are solely those of the individual author(s) and contributor(s) and not of MDPI and/or the editor(s). MDPI and/or the editor(s) disclaim responsibility for any injury to people or property resulting from any ideas, methods, instructions or products referred to in the content. |
© 2024 by the authors. Licensee MDPI, Basel, Switzerland. This article is an open access article distributed under the terms and conditions of the Creative Commons Attribution (CC BY) license (https://creativecommons.org/licenses/by/4.0/).
Share and Cite
Coccia, A.; Capodaglio, E.M.; Amitrano, F.; Gabba, V.; Panigazzi, M.; Pagano, G.; D’Addio, G. Biomechanical Effects of Using a Passive Exoskeleton for the Upper Limb in Industrial Manufacturing Activities: A Pilot Study. Sensors 2024, 24, 1445. https://doi.org/10.3390/s24051445
Coccia A, Capodaglio EM, Amitrano F, Gabba V, Panigazzi M, Pagano G, D’Addio G. Biomechanical Effects of Using a Passive Exoskeleton for the Upper Limb in Industrial Manufacturing Activities: A Pilot Study. Sensors. 2024; 24(5):1445. https://doi.org/10.3390/s24051445
Chicago/Turabian StyleCoccia, Armando, Edda Maria Capodaglio, Federica Amitrano, Vittorio Gabba, Monica Panigazzi, Gaetano Pagano, and Giovanni D’Addio. 2024. "Biomechanical Effects of Using a Passive Exoskeleton for the Upper Limb in Industrial Manufacturing Activities: A Pilot Study" Sensors 24, no. 5: 1445. https://doi.org/10.3390/s24051445
APA StyleCoccia, A., Capodaglio, E. M., Amitrano, F., Gabba, V., Panigazzi, M., Pagano, G., & D’Addio, G. (2024). Biomechanical Effects of Using a Passive Exoskeleton for the Upper Limb in Industrial Manufacturing Activities: A Pilot Study. Sensors, 24(5), 1445. https://doi.org/10.3390/s24051445

