A Comprehensive Study of Object Tracking in Low-Light Environments
Abstract
1. Introduction
- We created an end-to-end framework applying denoising and enhancement to object tracking in low-light environments.
- The proposed framework was trained with synthetic data. Therefore, three loss functions can be used to constrain the three modules, i.e., denoiser, enhancer, and tracker, to sequentially learn to suppress noise and enhance features to an appropriate form for object tracking.
- We studied the influence of low-light distortions, including noise levels, gamma, and saturation gains, on the performance of our object tracker.
2. Related Work
2.1. Object Tracking
2.2. Low-Light Enhancement
2.3. Object Detection in Low-Light Environments
3. Methods for Object Tracking in Low-Light Environments
3.1. Preprocessing with Denoising
3.2. Preprocessing with Enhancement
3.3. MixFormer
4. Experiments and Discussion
4.1. Synthetic Low-Light Dataset
4.2. Training Setting
- For Gaussian noise, the mean value was constant at 128 for all datasets, while the was set to 10, 25, 40, 55, and 70, with the default being 10.
- For contrast adjustment, the linear intensity factor was maintained at 0.4 for all datasets, while the was set to 0.2, 0.3, 0.4, 0.5, and 0.6, with the default being 0.5.
- For saturation adjustment, the scaling factor was set to 0.2, 0.3, 0.4, 0.5, and 0.6, with the default being 0.4.
4.3. Metrics
4.4. Impact of Low-Light Distortions on Tracking Performance
4.4.1. Noise Levels
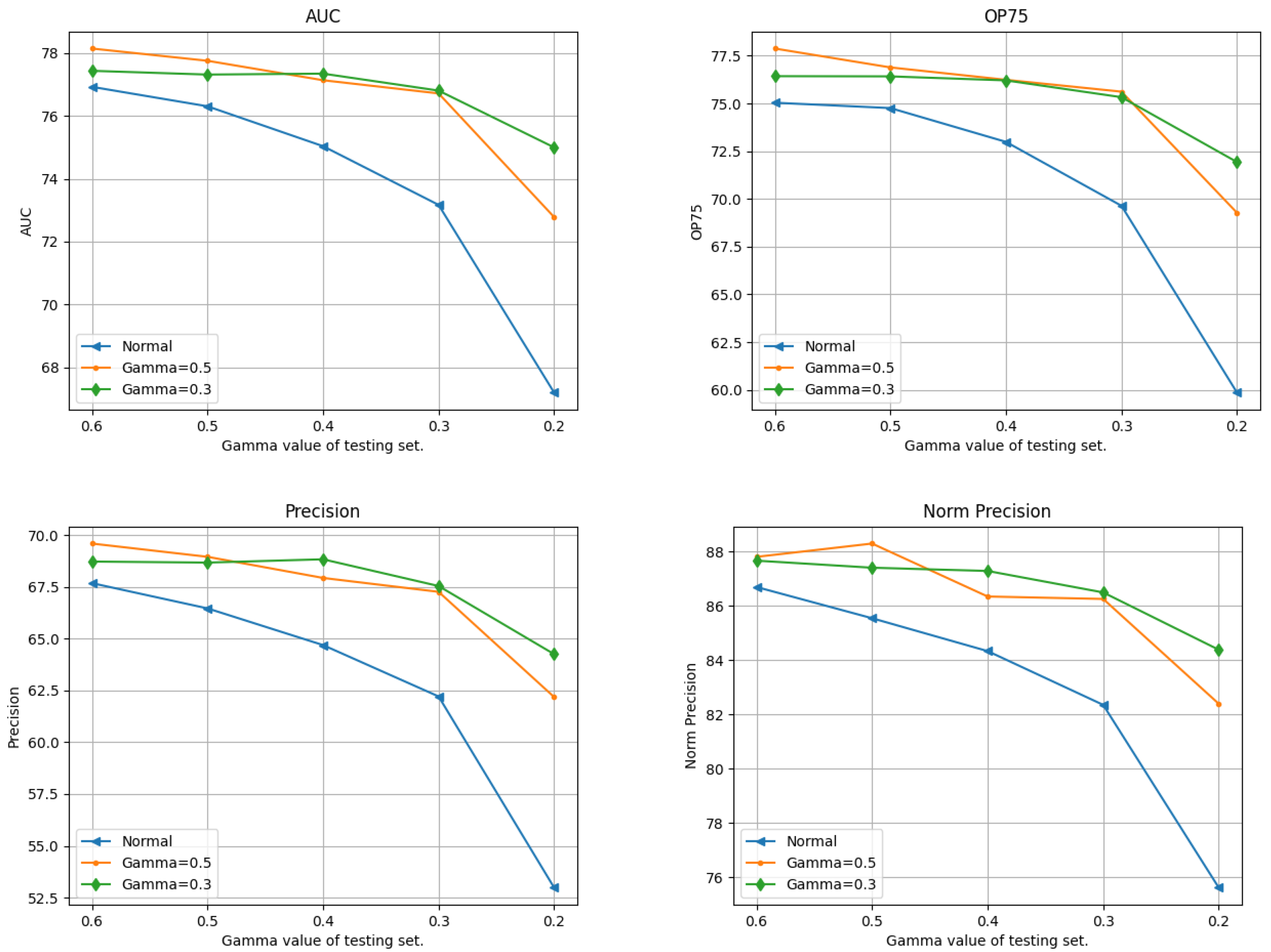
4.4.2. Gamma Values
4.4.3. Saturation Values
4.5. Ablation Studies
4.6. Visualized Tracking Results
4.6.1. Ambiguity Caused by the Background
4.6.2. Multiple Objects
4.6.3. Occlusion
4.7. Performance Comparison
5. Conclusions
Author Contributions
Funding
Data Availability Statement
Conflicts of Interest
Abbreviations
| RNN | Recurrent neural network; |
| CNN | Convolutional neural network; |
| FCN | Fully convolutional network; |
| MAM | Mixed attention module; |
| SPM | Score prediction module; |
| IoU | Intersection over union; |
| AUC | Area under the curve. |
References
- Anantrasirichai, N.; Bull, D. Artificial Intelligence in the Creative Industries: A Review. Artif. Intell. Rev. 2022, 55, 589–656. [Google Scholar] [CrossRef]
- Vaswani, A.; Shazeer, N.; Parmar, N.; Uszkoreit, J.; Jones, L.; Gomez, A.N.; Kaiser, L.u.; Polosukhin, I. Attention is All you Need. In Proceedings of the Advances in Neural Information Processing Systems, Long Beach, CA, USA, 4–9 December 2017; Volume 30. [Google Scholar]
- Cui, Y.; Jiang, C.; Wu, G.; Wang, L. MixFormer: End-to-End Tracking with Iterative Mixed Attention. IEEE Trans. Pattern Anal. Mach. Intell. 2024, 46, 4129–4146. [Google Scholar] [CrossRef] [PubMed]
- Voigtlaender, P.; Luiten, J.; Torr, P.H.; Leibe, B. Siam r-cnn: Visual tracking by re-detection. In Proceedings of the IEEE/CVF Conference on Computer Vision and Pattern Recognition, Seattle, WA, USA, 13–19 June 2020; pp. 6578–6588. [Google Scholar]
- Xie, F.; Wang, Z.; Ma, C. DiffusionTrack: Point Set Diffusion Model for Visual Object Tracking. In Proceedings of the IEEE/CVF Conference on Computer Vision and Pattern Recognition, Seattle, WA, USA, 17–21 June 2024; pp. 19113–19124. [Google Scholar]
- Xie, F.; Chu, L.; Li, J.; Lu, Y.; Ma, C. VideoTrack: Learning To Track Objects via Video Transformer. In Proceedings of the IEEE/CVF Conference on Computer Vision and Pattern Recognition (CVPR), Vancouver, BC, Canada, 17–24 June 2023; pp. 22826–22835. [Google Scholar]
- Carion, N.; Massa, F.; Synnaeve, G.; Usunier, N.; Kirillov, A.; Zagoruyko, S. End-to-end object detection with transformers. In Proceedings of the Computer Vision–ECCV 2020: 16th European Conference, Glasgow, UK, 23–28 August 2020, Proceedings, Part I 16; Springer: Berlin/Heidelberg, Germany, 2020; pp. 213–229. [Google Scholar]
- Wang, L.; Ouyang, W.; Wang, X.; Lu, H. Visual tracking with fully convolutional networks. In Proceedings of the IEEE International Conference on Computer Vision, Santiago, Chile, 7–13 December 2015; pp. 3119–3127. [Google Scholar]
- Bertinetto, L.; Valmadre, J.; Henriques, J.F.; Vedaldi, A.; Torr, P.H. Fully-convolutional siamese networks for object tracking. In Proceedings of the Computer Vision–ECCV 2016 Workshops, Amsterdam, The Netherlands, 8–10 and 15–16 October 2016, Proceedings, Part II 14; Springer: Berlin/Heidelberg, Germany, 2016; pp. 850–865. [Google Scholar]
- Li, B.; Yan, J.; Wu, W.; Zhu, Z.; Hu, X. High performance visual tracking with siamese region proposal network. In Proceedings of the IEEE Conference on Computer Vision and Pattern Recognition, Salt Lake City, UT, USA, 18–23 June 2018; pp. 8971–8980. [Google Scholar]
- Bhat, G.; Danelljan, M.; Gool, L.V.; Timofte, R. Learning discriminative model prediction for tracking. In Proceedings of the IEEE/CVF International Conference on Computer Vision, Seoul, Republic of Korea, 27 October–2 November 2019; pp. 6182–6191. [Google Scholar]
- Lin, J.; Anantrasirichai, N.; Bull, D. Feature Denoising for Low-Light Instance Segmentation Using Weighted Non-Local Blocks. arXiv 2024, arXiv:2402.18307. [Google Scholar]
- Meinhardt, T.; Kirillov, A.; Leal-Taixe, L.; Feichtenhofer, C. Trackformer: Multi-object tracking with transformers. In Proceedings of the IEEE/CVF Conference on Computer Vision and Pattern Recognition, New Orleans, LA, USA, 18–24 June 2022; pp. 8844–8854. [Google Scholar]
- Zeng, F.; Dong, B.; Zhang, Y.; Wang, T.; Zhang, X.; Wei, Y. Motr: End-to-end multiple-object tracking with transformer. In Proceedings of the Computer Vision–ECCV 2022: 17th European Conference, Tel Aviv, Israel, 23–27 October 2022, Proceedings, Part XXVII; Springer: Berlin/Heidelberg, Germany, 2022; pp. 659–675. [Google Scholar]
- Zhu, Z.; Wang, Q.; Li, B.; Wu, W.; Yan, J.; Hu, W. Distractor-aware siamese networks for visual object tracking. In Proceedings of the European Conference on Computer Vision (ECCV), Munich, Germany, 8–14 September 2018; pp. 101–117. [Google Scholar]
- Choi, J.; Jin Chang, H.; Yun, S.; Fischer, T.; Demiris, Y.; Young Choi, J. Attentional correlation filter network for adaptive visual tracking. In Proceedings of the IEEE Conference on Computer Vision and Pattern Recognition, Honolulu, HI, USA, 21–26 July 2017; pp. 4807–4816. [Google Scholar]
- Miao, B.; Chen, Z.; Liu, H.; Zhang, A. A Target Re-Identification Method Based on Shot Boundary Object Detection for Single Object Tracking. Appl. Sci. 2023, 13, 6422. [Google Scholar] [CrossRef]
- Alotaibi, M.F.; Omri, M.; Abdel-Khalek, S.; Khalil, E.; Mansour, R.F. Computational Intelligence-Based Harmony Search Algorithm for Real-Time Object Detection and Tracking in Video Surveillance Systems. Mathematics 2022, 10, 733. [Google Scholar] [CrossRef]
- Mirzaei, B.; Nezamabadi-pour, H.; Raoof, A.; Derakhshani, R. Small Object Detection and Tracking: A Comprehensive Review. Sensors 2023, 23, 6887. [Google Scholar] [CrossRef] [PubMed]
- Xu, X.; Wang, R.; Fu, C.W.; Jia, J. SNR-Aware Low-light Image Enhancement. In Proceedings of the 2022 IEEE/CVF Conference on Computer Vision and Pattern Recognition (CVPR), New Orleans, LA, USA, 18–24 June 2022; pp. 17693–17703. [Google Scholar] [CrossRef]
- Ma, L.; Ma, T.; Liu, R.; Fan, X.; Luo, Z. Toward Fast, Flexible, and Robust Low-Light Image Enhancement. In Proceedings of the IEEE/CVF Conference on Computer Vision and Pattern Recognition, New Orleans, LA, USA, 18–24 June 2022; pp. 5637–5646. [Google Scholar]
- Wu, W.; Weng, J.; Zhang, P.; Wang, X.; Yang, W.; Jiang, J. URetinex-Net: Retinex-based Deep Unfolding Network for Low-light Image Enhancement. In Proceedings of the 2022 IEEE/CVF Conference on Computer Vision and Pattern Recognition (CVPR), New Orleans, LA, USA, 18–24 June 2022; pp. 5891–5900. [Google Scholar] [CrossRef]
- Hou, J.; Zhu, Z.; Hou, J.; Liu, H.; Zeng, H.; Yuan, H. Global Structure-Aware Diffusion Process for Low-light Image Enhancement. In Proceedings of the Advances in Neural Information Processing Systems; Curran Associates: New York, NY, USA, 2023; Volume 36, pp. 79734–79747. [Google Scholar]
- Yi, X.; Xu, H.; Zhang, H.; Tang, L.; Ma, J. Diff-Retinex: Rethinking Low-light Image Enhancement with a Generative Diffusion Model. In Proceedings of the IEEE/CVF International Conference on Computer Vision (ICCV), Paris, France, 2–6 October 2023; pp. 12302–12311. [Google Scholar]
- Jiang, H.; Luo, A.; Fan, H.; Han, S.; Liu, S. Low-light image enhancement with wavelet-based diffusion models. ACM Trans. Graph. (TOG) 2023, 42, 238. [Google Scholar] [CrossRef]
- Zhou, K.; Li, W.; Lu, L.; Han, X.; Lu, J. Revisiting Temporal Alignment for Video Restoration. In Proceedings of the IEEE/CVF Conference on Computer Vision and Pattern Recognition, New Orleans, LA, USA, 18–24 June 2022. [Google Scholar]
- Triantafyllidou, D.; Moran, S.; McDonagh, S.; Parisot, S.; Slabaugh, G. Low Light Video Enhancement using Synthetic Data Produced with an Intermediate Domain Mapping. In Proceedings of the European Conference on Computer Vision, Glasgow, UK, 23–28 August 2020; Springer: Berlin/Heidelberg, Germany, 2020; pp. 103–119. [Google Scholar]
- Lin, R.; Anantrasirichai, N.; Malyugina, A.; Bull, D. A Spatio-temporal Aligned SUNet Model for Low-light Video Enhancement. In Proceedings of the IEEE International Conference on Image Processing, Abu Dhabi, United Arab Emirates, 27–30 October 2024. [Google Scholar]
- Anantrasirichai, N.; Lin, R.; Malyugina, A.; Bull, D. BVI-Lowlight: Fully Registered Benchmark Dataset for Low-Light Video Enhancement. arXiv 2024, arXiv:2402.01970. [Google Scholar]
- Anantrasirichai, N.; Bull, D. Contextual Colorization and Denoising for Low-Light Ultra High Resolution Sequences. In Proceedings of the International Conference on Image Processing (ICIP), Virtual, 19–22 September 2021; pp. 1614–1618. [Google Scholar]
- Wang, J.; Yang, P.; Liu, Y.; Shang, D.; Hui, X.; Song, J.; Chen, X. Research on Improved YOLOv5 for Low-Light Environment Object Detection. Electronics 2023, 12, 3089. [Google Scholar] [CrossRef]
- Yao, M.; Lu, Y.; Liu, D. End-to-end adaptive object detection with learnable Retinex for low-light city environment. Nondestruct. Test. Eval. 2024, 39, 142–163. [Google Scholar] [CrossRef]
- Qiu, Y.; Lu, Y.; Wang, Y.; Jiang, H. IDOD-YOLOV7: Image-Dehazing YOLOV7 for Object Detection in Low-Light Foggy Traffic Environments. Sensors 2023, 23, 1347. [Google Scholar] [CrossRef] [PubMed]
- Fu, C.; Dong, H.; Ye, J.; Zheng, G.; Li, S.; Zhao, J. HighlightNet: Highlighting Low-Light Potential Features for Real-Time UAV Tracking. In Proceedings of the 2022 IEEE/RSJ International Conference on Intelligent Robots and Systems (IROS), Kyoto, Japan, 23–27 October 2022; pp. 12146–12153. [Google Scholar] [CrossRef]
- Zhang, K.; Zuo, W.; Zhang, L. Denoising prior driven convolutional neural network for image restoration. IEEE Trans. Image Process. 2017, 26, 3142–3155. [Google Scholar] [CrossRef] [PubMed]
- Guo, C.; Deng, C.; Yue, H.; Chen, F. Real-world blind image denoising with deep networks: A noise adaptation layer. In Proceedings of the IEEE/CVF Conference on Computer Vision and Pattern Recognition Workshops, Salt Lake City, UT, USA, 18–23 June 2018; pp. 1802–1808. [Google Scholar]
- Malyugina, A.; Anantrasirichai, N.; Bull, D. A topological loss function for image Denoising on a new BVI-lowlight dataset. Signal Process. 2023, 211, 109081. [Google Scholar] [CrossRef]
- Fan, C.M.; Liu, T.J.; Liu, K.H. SUNet: Swin transformer UNet for image denoising. In Proceedings of the 2022 IEEE International Symposium on Circuits and Systems (ISCAS), Austin, TX, USA, 28 May–1 June 2022; pp. 2333–2337. [Google Scholar]
- Zhang, K.; Zuo, W.; Zhang, L. FFDNet: Toward a Fast and Flexible Solution for CNN based Image Denoising. IEEE Trans. Image Process. 2018, 27, 4608–4622. [Google Scholar] [CrossRef] [PubMed]
- Gurrola-Ramos, J.; Dalmau, O.; Alarcón, T.E. A Residual Dense U-Net Neural Network for Image Denoising. IEEE Access 2021, 9, 31742–31754. [Google Scholar] [CrossRef]
- Liang, J.; Cao, J.; Sun, G.; Zhang, K.; Van Gool, L.; Timofte, R. SwinIR: Image Restoration Using Swin Transformer. In Proceedings of the 2021 IEEE/CVF International Conference on Computer Vision Workshops (ICCVW), Montreal, BC, Canada, 11–17 October 2021; pp. 1833–1844. [Google Scholar] [CrossRef]
- Jiang, Y.; Gong, X.; Liu, D.; Cheng, Y.; Fang, C.; Shen, X.; Yang, J.; Zhou, P.; Wang, Z. Enlightengan: Deep light enhancement without paired supervision. IEEE Trans. Image Process. 2021, 30, 2340–2349. [Google Scholar] [CrossRef] [PubMed]
- Rezatofighi, H.; Tsoi, N.; Gwak, J.; Sadeghian, A.; Reid, I.; Savarese, S. Generalized intersection over union: A metric and a loss for bounding box regression. In Proceedings of the IEEE/CVF Conference on Computer Vision and Pattern Recognition, Long Beach, CA, USA, 15–20 June 2019; pp. 658–666. [Google Scholar]
- Huang, L.; Zhao, X.; Huang, K. GOT-10k: A Large High-Diversity Benchmark for Generic Object Tracking in the Wild. IEEE Trans. Pattern Anal. Mach. Intell. 2021, 43, 1562–1577. [Google Scholar] [CrossRef]
- Anantrasirichai, N.; Burn, J.; Bull, D.R. Robust texture features based on undecimated dual-tree complex wavelets and local magnitude binary patterns. In Proceedings of the 2015 IEEE International Conference on Image Processing (ICIP), Quebec City, QC, Canada, 27–30 September 2015; pp. 3957–3961. [Google Scholar] [CrossRef]
- Szeliski, R. Computer Vision: Algorithms and Applications; Springer Nature: Berlin/Heidelberg, Germany, 2022. [Google Scholar]
- Yilmaz, A.; Javed, O.; Shah, M. Object tracking: A survey. Acm Comput. Surv. (CSUR) 2006, 38, 4. [Google Scholar] [CrossRef]
- Kalal, Z.; Mikolajczyk, K.; Matas, J. Forward-backward error: Automatic detection of tracking failures. In Proceedings of the 2010 20th International Conference on Pattern Recognition, Istanbul, Turkey, 23–26 August 2010; pp. 2756–2759. [Google Scholar]









| Framework | AUC | OP50 | OP75 | Precision | Norm Precision | ||
|---|---|---|---|---|---|---|---|
| Denoise | Enhance | Tracker | |||||
| ✗ | ✗ | ✓ | 61.29 | 73.43 | 57.60 | 51.23 | 72.84 |
| ✓ | ✗ | ✓ | 66.65 | 76.33 | 59.98 | 53.01 | 74.43 |
| ✗ | ✓ | ✓ | 64.32 | 74.93 | 58.56 | 52.25 | 73.21 |
| ✓ | ✓ | ✓ | 67.15 | 77.12 | 60.72 | 53.68 | 75.18 |
| Metric | Method | Normal | Sigma = 10 | Sigma = 40 | Gamma = 0.3 | Saturation = 0.3 | Dark |
|---|---|---|---|---|---|---|---|
| AUC | MixFormer | 79.30 | 76.31 | 73.36 | 73.17 | 76.18 | 67.15 |
| Siam R-CNN | 77.21 | 74.92 | 70.24 | 71.58 | 74.86 | 61.93 | |
| VideoTrack | 81.16 | 78.08 | 75.21 | 74.74 | 78.26 | 68.82 | |
| DETR | 78.73 | 75.23 | 71.39 | 71.98 | 75.57 | 63.62 | |
| Norm Precision | MixFormer | 88.93 | 85.54 | 83.45 | 82.35 | 85.79 | 75.18 |
| Siam R-CNN | 86.83 | 84.02 | 81.73 | 80.57 | 85.13 | 73.65 | |
| VideoTrack | 89.74 | 86.55 | 84.35 | 83.16 | 86.08 | 77.24 | |
| DETR | 87.68 | 84.07 | 82.54 | 81.09 | 85.15 | 73.96 |
Disclaimer/Publisher’s Note: The statements, opinions and data contained in all publications are solely those of the individual author(s) and contributor(s) and not of MDPI and/or the editor(s). MDPI and/or the editor(s) disclaim responsibility for any injury to people or property resulting from any ideas, methods, instructions or products referred to in the content. |
© 2024 by the authors. Licensee MDPI, Basel, Switzerland. This article is an open access article distributed under the terms and conditions of the Creative Commons Attribution (CC BY) license (https://creativecommons.org/licenses/by/4.0/).
Share and Cite
Yi, A.; Anantrasirichai, N. A Comprehensive Study of Object Tracking in Low-Light Environments. Sensors 2024, 24, 4359. https://doi.org/10.3390/s24134359
Yi A, Anantrasirichai N. A Comprehensive Study of Object Tracking in Low-Light Environments. Sensors. 2024; 24(13):4359. https://doi.org/10.3390/s24134359
Chicago/Turabian StyleYi, Anqi, and Nantheera Anantrasirichai. 2024. "A Comprehensive Study of Object Tracking in Low-Light Environments" Sensors 24, no. 13: 4359. https://doi.org/10.3390/s24134359
APA StyleYi, A., & Anantrasirichai, N. (2024). A Comprehensive Study of Object Tracking in Low-Light Environments. Sensors, 24(13), 4359. https://doi.org/10.3390/s24134359

