Temporal Neural Network Framework Adaptation in Reconfigurable Intelligent Surface-Assisted Wireless Communication
Abstract
1. Introduction
- We propose a new TCN-based machine learning framework for recovering end-user data using RIS-based signal reception. We consider multiple user signals transmitted from a single base station reflected by a RIS.
- We evaluate the performance of the proposed model in terms of the bit error rate (BER) and symbol error rate (SER) with two different modulation schemes, such as quadrature phase-shift keying (QPSK) and binary phase-shift keying (BPSK).
- Different optimizers are employed to observe the performance variation for the model. In addition, a different system configuration is considered for testing the effectiveness of the TCN model.
- For benchmarking, long short-term memory (LSTM) and without ML are taken into account.
2. RIS-Assisted Communication System Model
3. Proposed TCN Model Architecture
3.1. Dataset Generation
3.2. Model Description
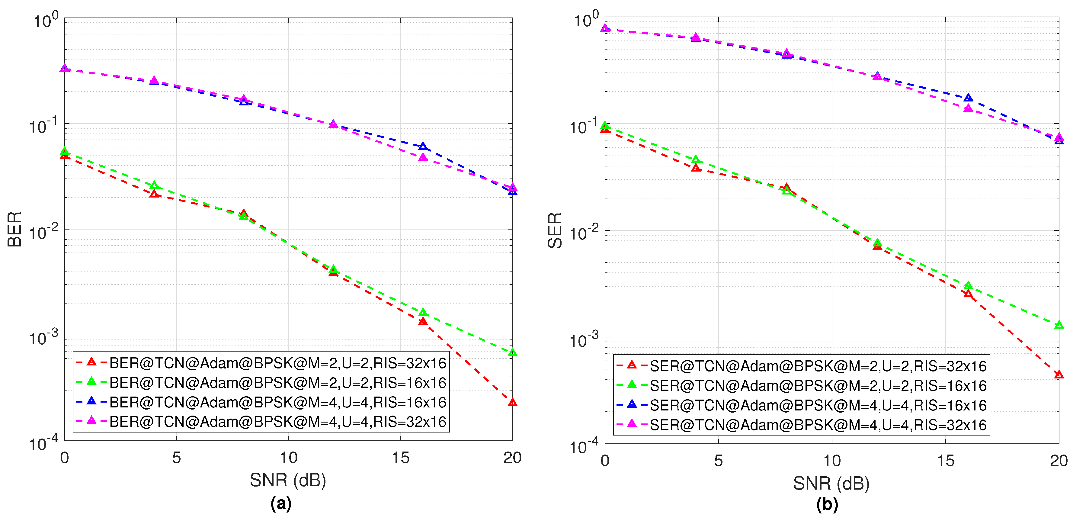
4. Simulation Results
5. Conclusions
Author Contributions
Funding
Institutional Review Board Statement
Informed Consent Statement
Data Availability Statement
Conflicts of Interest
References
- ElMossallamy, M.A.; Zhang, H.; Song, L.; Seddik, K.G.; Han, Z.; Li, G.Y. Reconfigurable Intelligent Surfaces for Wireless Communications: Principles, Challenges, and Opportunities. IEEE Trans. Cogn. Commun. Netw. 2020, 6, 990–1002. [Google Scholar] [CrossRef]
- Rappaport, T.S.; Xing, Y.; MacCartney, G.R.; Molisch, A.F.; Mellios, E.; Zhang, J. Overview of millimeter wave communications for fifth-generation (5G) wireless networks—With a focus on propagation models. IEEE Trans. Antennas Propag. 2017, 65, 6213–6230. [Google Scholar] [CrossRef]
- Liu, Y.; Liu, X.; Mu, X.; Hou, T.; Xu, J.; Di Renzo, M.; Al-Dhahir, N. Reconfigurable intelligent surfaces: Principles and opportunities. IEEE Commun. Surv. Tutor. 2021, 23, 1546–1577. [Google Scholar] [CrossRef]
- Wu, Q.; Zhang, S.; Zheng, B.; You, C.; Zhang, R. Intelligent reflecting surface-aided wireless communications: A tutorial. IEEE Trans. Commun. 2021, 69, 3313–3351. [Google Scholar] [CrossRef]
- Gong, S.; Lu, X.; Hoang, D.T.; Niyato, D.; Shu, L.; Kim, D.I.; Liang, Y.C. Toward smart wireless communications via intelligent reflecting surfaces: A contemporary survey. IEEE Commun. Surv. Tutor. 2020, 22, 2283–2314. [Google Scholar] [CrossRef]
- Sejan, M.A.S.; Rahman, M.H.; Song, H.K. Demod-CNN: A Robust Deep Learning Approach for Intelligent Reflecting Surface-Assisted Multiuser MIMO Communication. Sensors 2022, 22, 5971. [Google Scholar] [CrossRef] [PubMed]
- Wu, Q.; Zhang, R. Towards smart and reconfigurable environment: Intelligent reflecting surface aided wireless network. IEEE Commun. Mag. 2019, 58, 106–112. [Google Scholar] [CrossRef]
- Basar, E.; Di Renzo, M.; De Rosny, J.; Debbah, M.; Alouini, M.S.; Zhang, R. Wireless communications through reconfigurable intelligent surfaces. IEEE Access 2019, 7, 116753–116773. [Google Scholar] [CrossRef]
- Sun, Y.; Peng, M.; Zhou, Y.; Huang, Y.; Mao, S. Application of machine learning in wireless networks: Key techniques and open issues. IEEE Commun. Surv. Tutor. 2019, 21, 3072–3108. [Google Scholar] [CrossRef]
- Sejan, M.A.S.; Rahman, M.H.; Shin, B.S.; Oh, J.H.; You, Y.H.; Song, H.K. Machine Learning for Intelligent-Reflecting-Surface-Based Wireless Communication towards 6G: A Review. Sensors 2022, 22, 5405. [Google Scholar] [CrossRef]
- Taha, A.; Alrabeiah, M.; Alkhateeb, A. Enabling large intelligent surfaces with compressive sensing and deep learning. IEEE Access 2021, 9, 44304–44321. [Google Scholar] [CrossRef]
- Liu, S.; Gao, Z.; Zhang, J.; Di Renzo, M.; Alouini, M.S. Deep denoising neural network assisted compressive channel estimation for mmWave intelligent reflecting surfaces. IEEE Trans. Veh. Technol. 2020, 69, 9223–9228. [Google Scholar] [CrossRef]
- Huang, C.; Alexandropoulos, G.C.; Yuen, C.; Debbah, M. Indoor signal focusing with deep learning designed reconfigurable intelligent surfaces. In Proceedings of the 2019 IEEE 20th International Workshop on Signal Processing Advances in Wireless Communications (SPAWC), Cannes, France, 2–5 July 2019; IEEE: New York, NY, USA, 2019; pp. 1–5. [Google Scholar]
- Sheen, B.; Yang, J.; Feng, X.; Chowdhury, M.M.U. A deep learning based modeling of reconfigurable intelligent surface assisted wireless communications for phase shift configuration. IEEE Open J. Commun. Soc. 2021, 2, 262–272. [Google Scholar] [CrossRef]
- Khan, S.; Khan, K.S.; Haider, N.; Shin, S.Y. Deep-learning-aided detection for reconfigurable intelligent surfaces. arXiv 2019, arXiv:1910.09136. [Google Scholar]
- Liu, X.; Liu, Y.; Chen, Y. Reinforcement learning in multiple-UAV networks: Deployment and movement design. IEEE Trans. Veh. Technol. 2019, 68, 8036–8049. [Google Scholar] [CrossRef]
- Assra, A.; Yang, J.; Champagne, B. An EM approach for cooperative spectrum sensing in multiantenna CR networks. IEEE Trans. Veh. Technol. 2015, 65, 1229–1243. [Google Scholar] [CrossRef]
- Morell, A.; Correa, A.; Barceló, M.; Vicario, J.L. Data aggregation and principal component analysis in WSNs. IEEE Trans. Wirel. Commun. 2016, 15, 3908–3919. [Google Scholar] [CrossRef]
- Li, J.; Zhang, H.; Fan, M. Digital self-interference cancellation based on independent component analysis for co-time co-frequency full-duplex communication systems. IEEE Access 2017, 5, 10222–10231. [Google Scholar] [CrossRef]
- Song, H.; Zhang, M.; Gao, J.; Zhong, C. Unsupervised learning-based joint active and passive beamforming design for reconfigurable intelligent surfaces aided wireless networks. IEEE Commun. Lett. 2020, 25, 892–896. [Google Scholar] [CrossRef]
- Dinh-Van, S.; Hoang, T.M.; Trestian, R.; Nguyen, H.X. Unsupervised deep learning-based reconfigurable intelligent surface aided broadcasting communications in industrial IoTs. IEEE Internet Things J. 2022, 9, 19515–19528. [Google Scholar] [CrossRef]
- Peng, Z.; Zhang, Z.; Kong, L.; Pan, C.; Li, L.; Wang, J. Deep Reinforcement Learning for RIS-Aided Multiuser Full-Duplex Secure Communications With Hardware Impairments. IEEE Internet Things J. 2022, 9, 21121–21135. [Google Scholar] [CrossRef]
- Ren, H.; Pan, C.; Wang, L.; Liu, W.; Kou, Z.; Wang, K. Long-Term CSI-Based Design for RIS-Aided Multiuser MISO Systems Exploiting Deep Reinforcement Learning. IEEE Commun. Lett. 2022, 26, 567–571. [Google Scholar] [CrossRef]
- Jing, F.; Zhang, H.; Gao, M.; Xue, B.; Cao, K. RIS-Assisted Multi-Antenna AmBC Signal Detection Using Deep Reinforcement Learning. Sensors 2022, 22, 6137. [Google Scholar] [CrossRef] [PubMed]
- Bai, S.; Kolter, J.Z.; Koltun, V. An empirical evaluation of generic convolutional and recurrent networks for sequence modeling. arXiv 2018, arXiv:1803.01271. [Google Scholar]
- Pandey, A.; Wang, D. TCNN: Temporal convolutional neural network for real-time speech enhancement in the time domain. In Proceedings of the ICASSP 2019—2019 IEEE International Conference on Acoustics, Speech and Signal Processing (ICASSP), Brighton, UK, 12–17 May 2019; IEEE: New York, NY, USA, 2019; pp. 6875–6879. [Google Scholar]
- Kishore, V.; Tiwari, N.; Paramasivam, P. Improved Speech Enhancement Using TCN with Multiple Encoder-Decoder Layers. In Proceedings of the Interspeech, Shanghai, China, 25–29 October 2020; pp. 4531–4535. [Google Scholar]
- Lin, J.; van Wijngaarden, A.J.d.L.; Wang, K.C.; Smith, M.C. Speech enhancement using multi-stage self-attentive temporal convolutional networks. IEEE/ACM Trans. Audio Speech Lang. Process. 2021, 29, 3440–3450. [Google Scholar] [CrossRef]
- Lea, C.; Flynn, M.D.; Vidal, R.; Reiter, A.; Hager, G.D. Temporal convolutional networks for action segmentation and detection. In Proceedings of the IEEE Conference on Computer Vision and Pattern Recognition, Honolulu, HI, USA, 21–26 July 2017; pp. 156–165. [Google Scholar]
- Liu, Y.; Li, J.; Zhang, G.; Hua, B.; Xiong, N. State of charge estimation of lithium-ion batteries based on temporal convolutional network and transfer learning. IEEE Access 2021, 9, 34177–34187. [Google Scholar] [CrossRef]
- Cheng, Y.; Xu, Y.; Zhong, H.; Liu, Y. Leveraging semisupervised hierarchical stacking temporal convolutional network for anomaly detection in IoT communication. IEEE Internet Things J. 2020, 8, 144–155. [Google Scholar] [CrossRef]
- Shin, B.S.; Oh, J.H.; You, Y.H.; Hwang, D.D.; Song, H.K. Limited Channel Feedback Scheme for Reconfigurable Intelligent Surface Assisted MU-MIMO Wireless Communication Systems. IEEE Access 2022, 10, 50288–50297. [Google Scholar] [CrossRef]
- Zheng, B.; You, C.; Zhang, R. Intelligent reflecting surface assisted multi-user OFDMA: Channel estimation and training design. IEEE Trans. Wirel. Commun. 2020, 19, 8315–8329. [Google Scholar] [CrossRef]
- Rahman, M.H.; Sejan, M.A.S.; Aziz, M.A.; Baik, J.I.; Kim, D.S.; Song, H.K. Deep Learning Based Improved Cascaded Channel Estimation and Signal Detection for Reconfigurable Intelligent Surfaces-Assisted MU-MISO Systems. IEEE Trans. Green Commun. Netw. 2023. [Google Scholar] [CrossRef]
- Wiesel, A.; Eldar, Y.C.; Shamai, S. Zero-Forcing Precoding and Generalized Inverses. IEEE Trans. Signal Process. 2008, 56, 4409–4418. [Google Scholar] [CrossRef]








| Parameters | Value |
|---|---|
| Modulation | BPSK, QPSK |
| FFT size | 128 |
| Transmitter antenna | 2 |
| Receiver antenna | 1 |
| Number of users | 2 |
| Number of RIS elements | 512 (32 × 16) |
| Number of paths from BS to RIS | 2 |
| Number of paths from RIS to UE | 2 |
| Noise | AWGN |
| Parameters | Value |
|---|---|
| Max epochs | 100 |
| Learning rate | 0.01 |
| Dilation factors | 1, 2, 4, 8 |
| Number of filters | 64 |
| Dropout factor | 50% |
| Input features | 8 |
| Number of output class | 16 |
| Kernel size | 5 × 5 |
| Optimizer | Adam, SGDm, RMSprop |
Disclaimer/Publisher’s Note: The statements, opinions and data contained in all publications are solely those of the individual author(s) and contributor(s) and not of MDPI and/or the editor(s). MDPI and/or the editor(s) disclaim responsibility for any injury to people or property resulting from any ideas, methods, instructions or products referred to in the content. |
© 2023 by the authors. Licensee MDPI, Basel, Switzerland. This article is an open access article distributed under the terms and conditions of the Creative Commons Attribution (CC BY) license (https://creativecommons.org/licenses/by/4.0/).
Share and Cite
Sejan, M.A.S.; Rahman, M.H.; Aziz, M.A.; You, Y.-H.; Song, H.-K. Temporal Neural Network Framework Adaptation in Reconfigurable Intelligent Surface-Assisted Wireless Communication. Sensors 2023, 23, 2777. https://doi.org/10.3390/s23052777
Sejan MAS, Rahman MH, Aziz MA, You Y-H, Song H-K. Temporal Neural Network Framework Adaptation in Reconfigurable Intelligent Surface-Assisted Wireless Communication. Sensors. 2023; 23(5):2777. https://doi.org/10.3390/s23052777
Chicago/Turabian StyleSejan, Mohammad Abrar Shakil, Md Habibur Rahman, Md Abdul Aziz, Young-Hwan You, and Hyoung-Kyu Song. 2023. "Temporal Neural Network Framework Adaptation in Reconfigurable Intelligent Surface-Assisted Wireless Communication" Sensors 23, no. 5: 2777. https://doi.org/10.3390/s23052777
APA StyleSejan, M. A. S., Rahman, M. H., Aziz, M. A., You, Y.-H., & Song, H.-K. (2023). Temporal Neural Network Framework Adaptation in Reconfigurable Intelligent Surface-Assisted Wireless Communication. Sensors, 23(5), 2777. https://doi.org/10.3390/s23052777

