Heterogeneous Network Switching Strategy Based on Communication Blind Area Dwell Time
Abstract
:1. Introduction
2. Methodology
2.1. Basic Theory of VLC
2.2. The Technology of ACO-OFDM
3. VLC Heterogeneous Networking Technology Research
3.1. Visible Light Source Layout
3.2. ACO-OFDM Channel Processing
3.3. CBDHVHO Scheme
4. Simulation Results
4.1. Communication Stability Performance Evaluation
4.1.1. Performance Analysis for Handover Failure Probability
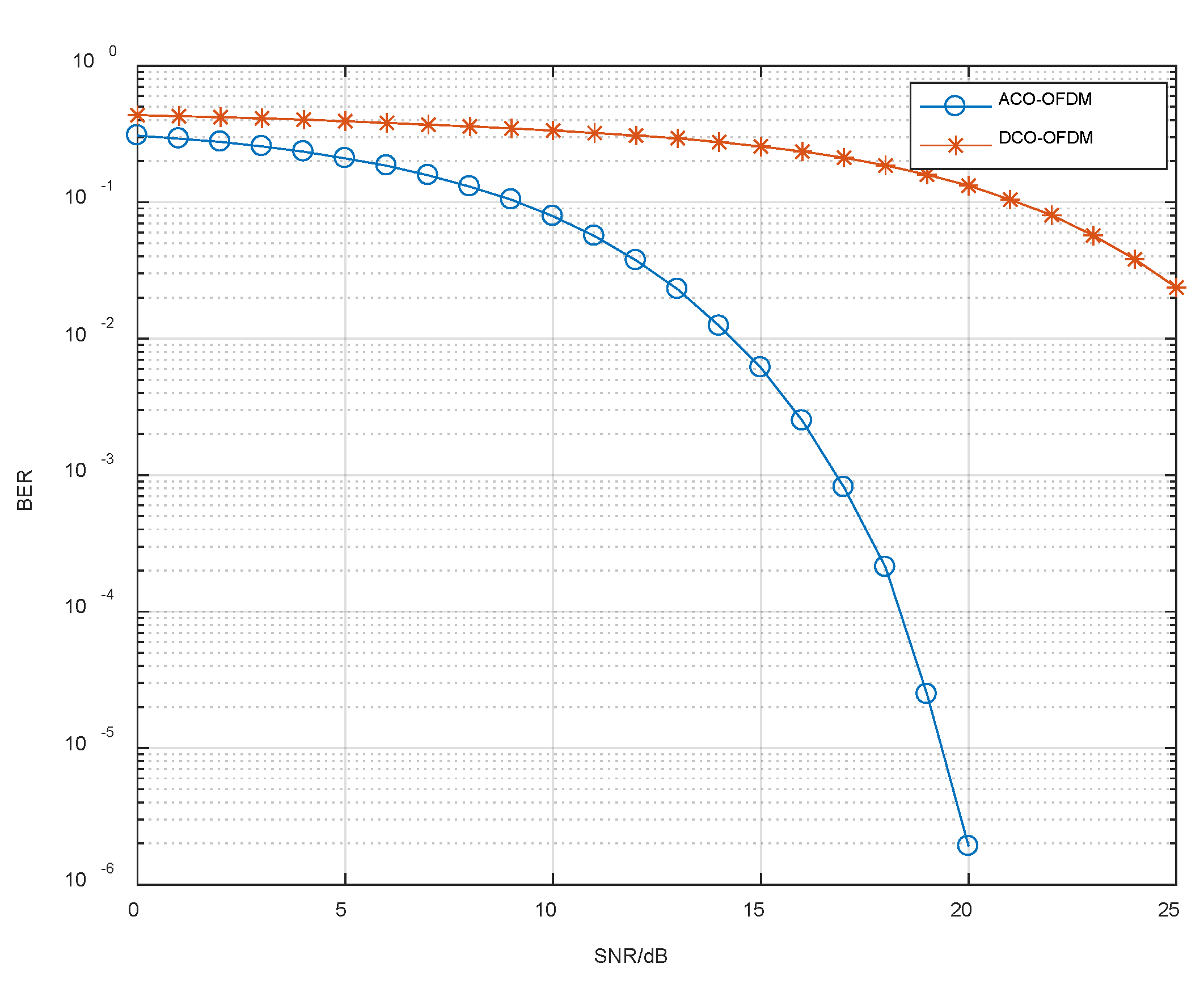
4.1.2. Performance Analysis for BER
4.2. Heterogeneous Networking System Power Performance Evaluation
Analysis of the Average Number of Handovers for Different Programs
4.3. Communication Quality Performance Evaluation
4.3.1. Analysis of the Average Network Throughput of Different Solutions
4.3.2. Analysis of the Impact of Different Velocities on the Average Network Throughput
5. Conclusions
Author Contributions
Funding
Institutional Review Board Statement
Informed Consent Statement
Data Availability Statement
Conflicts of Interest
Nomenclature
| OFDM | Orthogonal frequency division multiplexing |
| ACO-OFDM | Asymmetrically clipped optical OFDM |
| BER | Bit error rate |
| I-VHO | Instant vertical handover |
| D-VHO | Dwell vertical handover |
| VLC | Visible light communication |
| RF | Radio frequency |
| HHO | Horizontal handover |
| VHO | Vertical handover |
| CAD-VHO | Channel adaptive residence vertical handover |
| HA-VHO | Hybrid application vertical handover |
| RSS | Received signal strength |
| FFT | Fast Fourier transformation |
| LOS | Line of sight |
| NLOS | Non-line of sight |
| LED | Light-emitting diode |
| DC | Direct Current |
| SNR | Signal-to-noise ratio |
| CP | Cyclic prefix |
| QAM | Quadrature amplitude modulation |
| IFFT | Inverse fast Fourier transformation |
| AWGN | Additive white Gaussian noise |
| DCO-OFDM | DC-biased Optical OFDM |
References
- Lee, K.; Park, H.; Barry, J.R. Indoor channel characteristics for visible light communications. IEEE Commun. Lett. 2011, 15, 217–219. [Google Scholar] [CrossRef]
- Yeh, C.-H.; Liu, Y.-L.; Chow, C.-W. Real-time white-light phosphor-LED visible light communication (VLC) with compact size. Opt. Exp. 2013, 21, 26192–26197. [Google Scholar] [CrossRef] [PubMed]
- Vegni, A.M.; Little, T.D.C. Handover in VLC systems with cooperating mobile devices. In Proceedings of the International Conference on Computing, Networking and Communications (ICNC), Maui, HI, USA, 30 January–2 February 2012; pp. 126–130. [Google Scholar]
- Wang, F.; Yang, F.; Song, J.; Han, Z. Access Frameworks and Application Scenarios for Hybrid VLC and RF Systems: State of the Art, Challenges, and Trends. IEEE Commun. Mag. 2022, 60, 55–61. [Google Scholar] [CrossRef]
- Wang, F.; Wang, Z.; Qian, C.; Dai, L.; Yang, Z. Efficient vertical handover scheme for heterogeneous VLC-RF systems. IEEE/OSA J. Opt. Commun. Netw. 2015, 7, 1172–1180. [Google Scholar] [CrossRef]
- Hou, J.D.; O’Brien, D.C. Vertical handover decision-making algorithm using fuzzy logic for the integrated radio-and-OW system. IEEE Trans. Wirel. Commun. 2006, 5, 176–185. [Google Scholar] [CrossRef]
- Bao, X.; Okine, A.A.; Adjardjah, W.; Zhang, W.; Dai, J. Channel adaptive dwell timing for hando-ver decision in VLC-WiFi heterogeneous networks. EURASIP J. Wirel. Commun. Netw. 2018, 2018, 244. [Google Scholar] [CrossRef]
- Okine, A.A.; Bao, X.; Mongoungou, J.; Adjardjah, W.; Zhang, W. A Hybrid Application-Aware VHO Scheme for Coexisting VLC and WLAN Indoor Networks. J. Netw. Syst. Manag. 2022, 30, 52. [Google Scholar] [CrossRef]
- Wu, Y.; Zhang, S. Research on indoor VLC-WiFi heterogeneous wireless access network. Semicond. Optoelectron. 2017, 38, 853–856. [Google Scholar]
- Wang, S.Q.; Tang, Y.F.; Du, J.Y. Research on handover strategy of heterogeneous networks based on user service quality. Int. J. Commun. Syst. 2022, 35, e5048. [Google Scholar] [CrossRef]
- Shi, G.; Li, Y.; Cheng, W. Accuracy Analysis of Indoor Visible Light Communication Localization System Based on ReceivedSignal Strength in Non-Line-of-Sight Environments by Using Least Squares Method. Opt. Eng. 2019, 58, 056102. [Google Scholar] [CrossRef]
- Ghassemblooy, Z.; Popoola, W.; Rajbhandari, S. Optical Wireless Communications: System and Channel Modelling with Matlab®; CRC Press: Boca Raton, FL, USA, 2019. [Google Scholar]
- Chaudhary, N.; Alves, L.N.; Ghassemblooy, Z. Feasibility Study of Reverse Trilateration Strategy with a Single Tx for VLP. In Proceedings of the 2019 2nd West Asian Colloquium on Optical Wireless Communications (WACOWC), Tehran, Iran, 27–28 April 2019; pp. 121–126. [Google Scholar]
- Wang, Y.; Wu, X.; Haas, H. Fuzzy logic based dynamic handover scheme for indoor li-fi and RF hybrid network. In Proceedings of the 2016 IEEE International Conference on Communications, ICC, Kuala Lumpur, Malaysia, 22–27 May 2016; pp. 1–6. [Google Scholar]
- Ma, S.; Yang, R.; Deng, X.; Ling, X.; Zhang, X.; Zhou, F.; Li, S.; Ng, D.W.K. Spectral and Energy Efficiency of ACO-OFDM in Visible Light Communication Systems. IEEE Trans. Wirel. Commun. 2022, 21, 2147–2161. [Google Scholar] [CrossRef]
- Liu, H.L.; Liu, Z.Y. Coverage uniformity with improved genetic simulated annealing algorithm for indoor visible light com-munications. Opt. Commun. 2017, 48, 76–81. [Google Scholar] [CrossRef]
- Tekin, M.; Savaşcihabeş, A.; Ertuğ, Ö. M-CSK-Flip OFDM for Visible Light Communication Systems. In Proceedings of the 2021 44th International Conference on Telecommunications and Signal Processing (TSP), Brno, Czech Republic, 26–28 July 2021; pp. 106–109. [Google Scholar] [CrossRef]
- Nah, F.F.H. A study on tolerable waiting time: How long are web users willing to wait? Behav. Inf. Technol. 2004, 23, 153–163. [Google Scholar] [CrossRef]
- Zeshan, A.; Baykas, T. Location Aware Vertical Handover in a VLC/WLAN Hybrid Network. IEEE Access 2021, 9, 129810–129819. [Google Scholar] [CrossRef]
- Jiang, Y.; Sun, D.; Zhu, X.; Zhou, T.; Wang, T.; Sun, S. Robust Frequency-Domain Timing Offset Estimation for DCO-OFDM Systems. IEEE Commun. Lett. 2022, 26, 1603–1607. [Google Scholar] [CrossRef]
- Zhang, J.; Li, Y.; Xiao, W.; Zhang, Z. Online Spatiotemporal Modeling for Robust and Lightweight Device-Free Localization in Nonstationary Environments. IEEE Trans. Ind. Inform. 2023, 19, 8528–8538. [Google Scholar] [CrossRef]
- Zhang, J.; Li, Y.; Xiong, H.; Dou, D.; Miao, C.; Zhang, D. HandGest: Hierarchical Sensing for Robust-in-the-Air Handwriting Recognition with Commodity WiFi Devices. IEEE Internet Things J. 2022, 9, 19529–19544. [Google Scholar] [CrossRef]
- Nguyen, B.C.; Tran, X.N.; Hoang, T.M.; Dung, L.T. Performance Analysis of Full-Duplex Vehicle-to-Vehicle Relay System over Double-Rayleigh Fading Channels. Mob. Netw. Appl. 2020, 25, 363–372. [Google Scholar] [CrossRef]
- Lei, T.; Ni, S.; Cheng, N.; Chen, S.; Song, X. SCMA Codebook for Uplink Rician Fading Channels. IEEE Commun. Lett. 2023, 27, 527–531. [Google Scholar] [CrossRef]











| Parameter | Value |
|---|---|
| Room size | 6 m × 6 m × 3 m |
| Velocity | 0.3~0.7 m/s |
| Movement time duration | 1–30 s |
| Throughput for VLC | 400 Mbps |
| Throughput for Wi-Fi | 100 Mbps |
| Number of VLC APs | 9 |
| Radius of APs | m |
| Number of iterations | 1000 |
| Number of RF APs | 1 |
| Handover delay time | 0.1~1 s |
| Time frame for response time | 1 s |
| Maximum waiting time | 2 s |
| BER Scope | ~0.025 |
| Communication blind area dwell time | 0~7 s |
Disclaimer/Publisher’s Note: The statements, opinions and data contained in all publications are solely those of the individual author(s) and contributor(s) and not of MDPI and/or the editor(s). MDPI and/or the editor(s) disclaim responsibility for any injury to people or property resulting from any ideas, methods, instructions or products referred to in the content. |
© 2023 by the authors. Licensee MDPI, Basel, Switzerland. This article is an open access article distributed under the terms and conditions of the Creative Commons Attribution (CC BY) license (https://creativecommons.org/licenses/by/4.0/).
Share and Cite
Zhang, C.; Tang, Y.; Wang, X.; Zhang, Y.; Li, X. Heterogeneous Network Switching Strategy Based on Communication Blind Area Dwell Time. Sensors 2023, 23, 6166. https://doi.org/10.3390/s23136166
Zhang C, Tang Y, Wang X, Zhang Y, Li X. Heterogeneous Network Switching Strategy Based on Communication Blind Area Dwell Time. Sensors. 2023; 23(13):6166. https://doi.org/10.3390/s23136166
Chicago/Turabian StyleZhang, Cheng, Yanfeng Tang, Xiuzhuo Wang, Yan Zhang, and Xiuyang Li. 2023. "Heterogeneous Network Switching Strategy Based on Communication Blind Area Dwell Time" Sensors 23, no. 13: 6166. https://doi.org/10.3390/s23136166
APA StyleZhang, C., Tang, Y., Wang, X., Zhang, Y., & Li, X. (2023). Heterogeneous Network Switching Strategy Based on Communication Blind Area Dwell Time. Sensors, 23(13), 6166. https://doi.org/10.3390/s23136166
