Monte Carlo Simulation of Diffuse Optical Spectroscopy for 3D Modeling of Dental Tissues
Abstract
1. Introduction
2. Materials and Methods
2.1. Model Geometry and Optical Properties of Tooth
2.2. Monte Carlo Set Up
2.3. Calculation of Mean Light Distance, Weighted Detected Photons and Scattering Events
3. Results
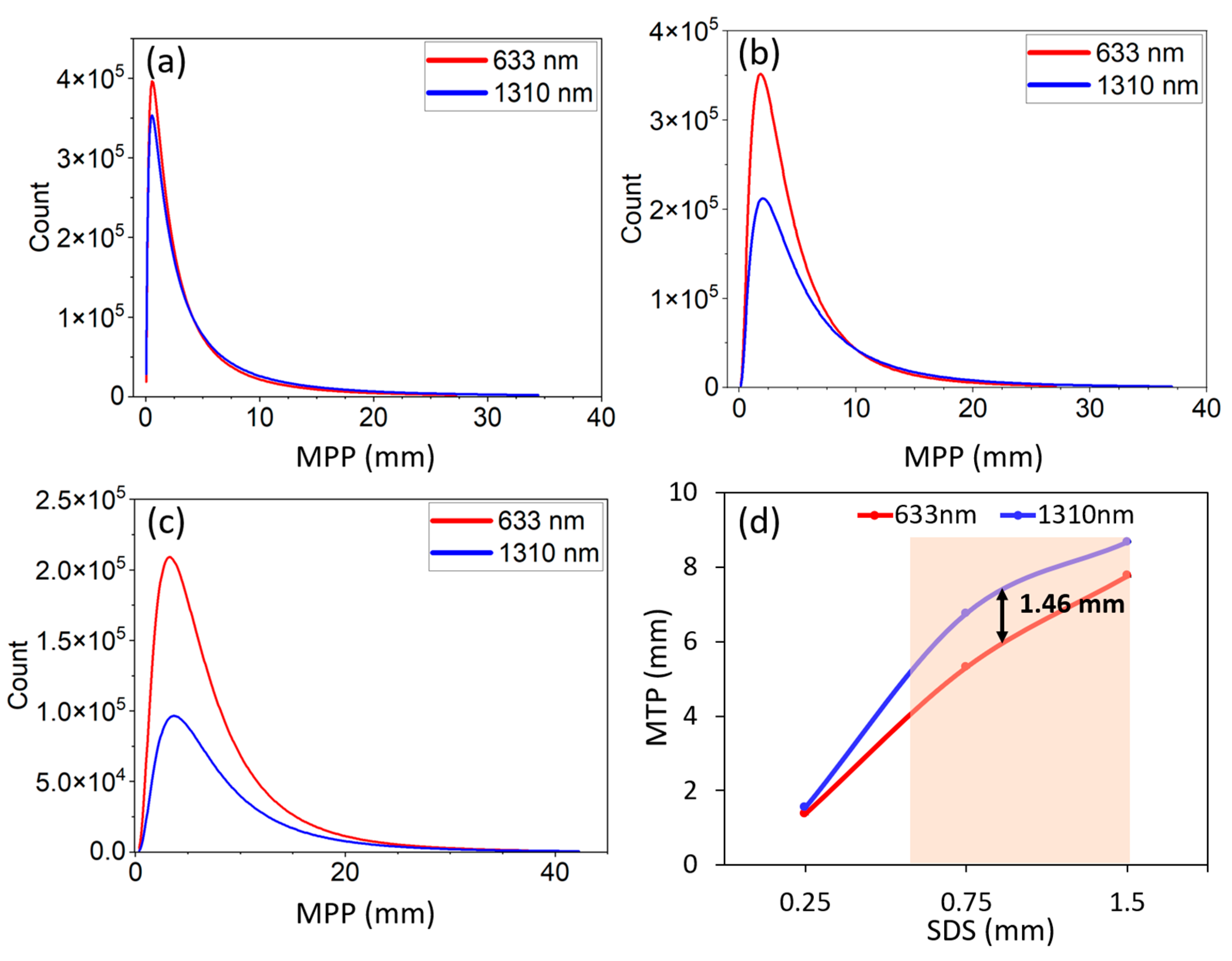
3.1. Detected Photons, Fluence Distribution, and Optical Pathlength
3.2. Jacobian Analysis
4. Discussion
5. Conclusions
Author Contributions
Funding
Institutional Review Board Statement
Informed Consent Statement
Data Availability Statement
Conflicts of Interest
References
- Chaudhary, R.K.; Doggalli, N.; Chandrakant, H.; Patil, K. Current and evolving applications of three-dimensional printing in forensic odontology: A review. Int. J. Forensic Odontol. 2018, 3, 59. [Google Scholar] [CrossRef]
- Joda, T.; Brägger, U.; Gallucci, G. Systematic literature review of digital three-dimensional superimposition techniques to create virtual dental patients. Int. J. Oral Maxillofac. Implant. 2015, 30, 330–337. [Google Scholar] [CrossRef]
- Hoheisel, M. Review of medical imaging with emphasis on X-ray detectors. Nucl. Instrum. Methods Phys. Res. Sect. A Accel. Spectrometers Detect. Assoc. Equip. 2006, 563, 215–224. [Google Scholar] [CrossRef]
- Logozzo, S.; Zanetti, E.M.; Franceschini, G.; Kilpelä, A.; Mäkynen, A. Recent advances in dental optics–Part I: 3D intraoral scanners for restorative dentistry. Opt. Lasers Eng. 2014, 54, 203–221. [Google Scholar] [CrossRef]
- Benic, G.I.; Elmasry, M.; Hämmerle, C.H. Novel digital imaging techniques to assess the outcome in oral rehabilitation with dental implants: A narrative review. Clin. Oral Implant. Res. 2015, 26, 86–96. [Google Scholar] [CrossRef]
- Rakhmatullina, E.; Bossen, A.; Höschele, C.; Wang, X.; Beyeler, B.; Meier, C.; Lussi, A. Application of the specular and diffuse reflection analysis for in vitro diagnostics of dental erosion: Correlation with enamel softening, roughness, and calcium release. J. Biomed. Opt. 2011, 16, 107002. [Google Scholar] [CrossRef] [PubMed]
- Zoller, C.J.; Hohmann, A.; Foschum, F.; Geiger, S.; Geiger, M.; Ertl, T.P.; Kienle, A. Parallelized Monte Carlo software to efficiently simulate the light propagation in arbitrarily shaped objects and aligned scattering media. J. Biomed. Opt. 2018, 23, 065004. [Google Scholar] [CrossRef] [PubMed]
- Selifonov, A.; Shapoval, O.; Mikerov, A.; Tuchin, V. Determination of the diffusion coefficient of methylene blue solutions in dentin of a human tooth using reflectance spectroscopy and their antibacterial activity during laser exposure. Opt. Spectrosc. 2019, 126, 758–768. [Google Scholar] [CrossRef]
- Wang, L.; Jacques, S.L.; Zheng, L. MCML—Monte Carlo modeling of light transport in multi-layered tissues. Comput. Methods Programs Biomed. 1995, 47, 131–146. [Google Scholar] [CrossRef]
- Fang, Q.; Boas, D.A. Monte Carlo simulation of photon migration in 3D turbid media accelerated by graphics processing units. Opt. Express 2009, 17, 20178–20190. [Google Scholar] [CrossRef]
- Fu, Y.; Jacques, S.L. Monte Carlo simulation for light propagation in 3D tooth model. In Optical Interactions with Tissue and Cells XXII; SPIE: Bellingham, WA, USA, 2011. [Google Scholar]
- Gaitan, B.; Truong, A.; Moradi, M.; Chen, Y.; Pfefer, J. Development of an in silico NIRS model to inform the development of performance test methods. In Design and Quality for Biomedical Technologies XV; SPIE: Bellingham, WA, USA, 2022. [Google Scholar]
- Periyasamy, V.; Pramanik, M. Advances in Monte Carlo simulation for light propagation in tissue. IEEE Rev. Biomed. Eng. 2017, 10, 122–135. [Google Scholar] [CrossRef] [PubMed]
- Chatterjee, S.; Kyriacou, P.A. Monte Carlo analysis of optical interactions in reflectance and transmittance finger photoplethysmography. Sensors 2019, 19, 789. [Google Scholar] [CrossRef]
- Vaarkamp, J.; Ten Bosch, J.; Verdonschot, E. Light propagation through teeth containing simulated caries lesions. Phys. Med. Biol. 1995, 40, 1375. [Google Scholar] [CrossRef]
- Shi, B.; Meng, Z.; Wang, L.; Liu, T. Monte Carlo modeling of human tooth optical coherence tomography imaging. J. Opt. 2013, 15, 075304. [Google Scholar] [CrossRef]
- Abdel Gawad, A.L.; El-Sherif, A.F.; El-Sharkawy, Y.; Ayoub, H.; Hassan, M.F. Improving Dental Caries Detection by Optimizing Source-Detector Localization Using Laser Diffuse Reflectance. In Proceedings of the International Conference on Aerospace Sciences and Aviation Technology, Cairo, Egypt, 11–13 April 2017. [Google Scholar]
- Jayasankar, S.; Periyasamy, V.; Umapathy, S.; Pramanik, M. Raman Monte Carlo simulation of tooth model with embedded sphere for different launch beam configurations. In Proceedings of the 2018 Fourth International Conference on Biosignals, Images and Instrumentation (ICBSII), Kalavakkam, India, 22–24 March 2018. [Google Scholar]
- Jones, R.S.; Huynh, G.D.; Jones, G.C.; Fried, D. Near-infrared transillumination at 1310-nm for the imaging of early dental decay. Opt. Express 2003, 11, 2259–2265. [Google Scholar] [CrossRef] [PubMed]
- Wu, J.; Fried, D. High contrast near-infrared polarized reflectance images of demineralization on tooth buccal and occlusal surfaces at λ= 1310-nm. Lasers Surg. Med. Off. J. Am. Soc. Laser Med. Surg. 2009, 41, 208–213. [Google Scholar] [CrossRef]
- Charvát, J.; Procházka, A.; Fričl, M.; Vyšata, O.; Himmlová, L. Diffuse reflectance spectroscopy in dental caries detection and classification. Signal Image Video Process. 2020, 14, 1063–1070. [Google Scholar] [CrossRef]
- Darling, C.L.; Huynh, G.D.; Fried, D. Light scattering properties of natural and artificially demineralized dental enamel at 1310 nm. J. Biomed. Opt. 2006, 11, 034023. [Google Scholar] [CrossRef]
- Fried, D.; Xie, J.; Shafi, S.; Featherstone, J.D.; Breunig, T.M.; Le, C. Imaging caries lesions and lesion progression with polarization sensitive optical coherence tomography. J. Biomed. Opt. 2002, 7, 618–627. [Google Scholar] [CrossRef]
- Schmidt, C.W.; Watson, J.T. Dental Wear in Evolutionary and Biocultural Contexts; Academic Press: Cambridge, MA, USA, 2019. [Google Scholar]
- Seka, W.; Fried, D.; Featherstone, J.; Borzillary, S. Light deposition in dental hard tissue and simulated thermal response. J. Dent. Res. 1995, 74, 1086–1092. [Google Scholar] [CrossRef]
- Jacques, S.L. Optical properties of biological tissues: A review. Phys. Med. Biol. 2013, 58, R37. [Google Scholar] [CrossRef] [PubMed]
- Bashkatov, A.N.; Genina, E.A.; Tuchin, V.V. Optical properties of skin, subcutaneous, and muscle tissues: A review. J. Innov. Opt. Health Sci. 2011, 4, 9–38. [Google Scholar] [CrossRef]
- García, H.A.; Vera, D.A.; Serra, M.V.W.; Baez, G.R.; Iriarte, D.I.; Pomarico, J.A. Theoretical investigation of photon partial pathlengths in multilayered turbid media. Biomed. Opt. Express 2022, 13, 2516–2529. [Google Scholar] [CrossRef] [PubMed]
- Yao, R.; Intes, X.; Fang, Q. Direct approach to compute Jacobians for diffuse optical tomography using perturbation Monte Carlo-based photon “replay”. Biomed. Opt. Express 2018, 9, 4588–4603. [Google Scholar] [CrossRef]
- Abdel Gawad, A.L.; El-Sharkawy, Y.H.; El-Sherif, A.F. Classification of human teeth caries using custom non-invasive optical imaging system. Lasers Dent. Sci. 2017, 1, 73–81. [Google Scholar] [CrossRef]
- Kurakina, D.; Perekatova, V.; Sergeeva, E.; Kostyuk, A.; Turchin, I.; Kirillin, M. Probing depth in diffuse reflectance spectroscopy of biotissues: A Monte Carlo study. Laser Phys. Lett. 2022, 19, 035602. [Google Scholar] [CrossRef]
- Kakino, S.; Takagi, Y.; Takatani, S. Absolute transmitted light plethysmography for assessment of dental pulp vitality through quantification of pulp chamber hematocrit by a three-layer model. J. Biomed. Opt. 2008, 13, 054023. [Google Scholar] [CrossRef]
- Ingolfsson, A.; Tronstad, L.; Riva, C. Reliability of laser Doppler flowmetry in testing vitality of human teeth. Dent. Traumatol. 1994, 10, 185–187. [Google Scholar] [CrossRef]
- Roeykens, H.J.; Deschepper, E.; De Moor, R.J. Laser Doppler flowmetry: Reproducibility, reliability, and diurnal blood flow variations. Lasers Med. Sci. 2016, 31, 1083–1092. [Google Scholar] [CrossRef]
- Liang, C.-P.; Wu, Y.; Schmitt, J.; Bigeleisen, P.E.; Slavin, J.; Jafri, M.S.; Tang, C.-M.; Chen, Y. Coherence-gated Doppler: A fiber sensor for precise localization of blood flow. Biomed. Opt. Express 2013, 4, 760–771. [Google Scholar] [CrossRef]












| Tissue Type | Volume Fraction |
|---|---|
| Enamel | 0.44 |
| Dentin | 0.52 |
| Pulp | 0.04 |
| Tissue Type | g | n | |||||
|---|---|---|---|---|---|---|---|
| 633 nm | 1310 nm | 633 nm | 1310 nm | 633 nm | 1310 nm | ||
| Enamel | 0.04 | 0.12 | 1.5 | 3 | 0.7 | 0.93 | 1.63 [16] |
| Dentin | 0.30 | 0.40 | 26 | 25 | 0.93 | 0.97 | 1.54 [16] |
| Pulp | 0.035 | 0.09 | 10 | 3.75 | 0.97 | 0.85 | 1.39 [11] |
| Wavelength (nm) | Geometry | SDS (mm) | Contribution (%) | |||
|---|---|---|---|---|---|---|
| WSR | W/OSR | WSR | W/OSR | |||
| 633 | Reflectance | 0.25 | 0.196 | 0.0579 | ||
| 0.75 | 0.273 | 0.0859 | ||||
| 1.5 | 0.515 | 0.188 | ||||
| Transmittance | 3.20 | 2.04 | ||||
| 1310 | Reflectance | 0.25 | 0.823 | 0.329 | ||
| 0.75 | 1.081 | 0.495 | ||||
| 1.5 | 2.241 | 1.525 | ||||
| Transmittance | 2.45 | 2.02 | ||||
Disclaimer/Publisher’s Note: The statements, opinions and data contained in all publications are solely those of the individual author(s) and contributor(s) and not of MDPI and/or the editor(s). MDPI and/or the editor(s) disclaim responsibility for any injury to people or property resulting from any ideas, methods, instructions or products referred to in the content. |
© 2023 by the authors. Licensee MDPI, Basel, Switzerland. This article is an open access article distributed under the terms and conditions of the Creative Commons Attribution (CC BY) license (https://creativecommons.org/licenses/by/4.0/).
Share and Cite
Moradi, M.; Chen, Y. Monte Carlo Simulation of Diffuse Optical Spectroscopy for 3D Modeling of Dental Tissues. Sensors 2023, 23, 5118. https://doi.org/10.3390/s23115118
Moradi M, Chen Y. Monte Carlo Simulation of Diffuse Optical Spectroscopy for 3D Modeling of Dental Tissues. Sensors. 2023; 23(11):5118. https://doi.org/10.3390/s23115118
Chicago/Turabian StyleMoradi, Mousa, and Yu Chen. 2023. "Monte Carlo Simulation of Diffuse Optical Spectroscopy for 3D Modeling of Dental Tissues" Sensors 23, no. 11: 5118. https://doi.org/10.3390/s23115118
APA StyleMoradi, M., & Chen, Y. (2023). Monte Carlo Simulation of Diffuse Optical Spectroscopy for 3D Modeling of Dental Tissues. Sensors, 23(11), 5118. https://doi.org/10.3390/s23115118

