Development and Experimental Research of VFTO Measuring Sensor
Abstract
1. Introduction
2. Design of VFTO Measuring Sensor
2.1. Capacitive Voltage Divider
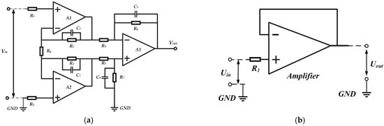
2.2. Signal Conditioning Sensor
3. VFTO Measurement Results
4. Conclusions
- (1)
- The method, using the virtual break characteristic of operational amplification to obtain very large input impedance, is very effective in expanding the low-frequency measurement bandwidth of the impedance converter. Thus, the time constant of the equivalent circuit of the low-voltage port of the capacitor divider is greatly extended, and an extremely low cut-off frequency is obtained. In this research, the input impedance of the impedance transformation signal conditioning device was increased from 40 to 250 , thereby reducing the low-frequency cut-off frequency from the original 10 mHz to 0.05 mHz. The VFTO measurement sensor can fully meet the measurement requirements of residual voltage components. Moreover, a differential circuit with a common mode disturbance rejection ratio of 53 dB is designed to effectively suppress the common mode disturbance signal caused by the transient ground potential difference in the measurement signal.
- (2)
- The transient surface electric field of the signal conditioning circuit board is simulated by COMSOL Multiphysics software. The simulation results show that the transient signal excites a large surface electric field around the wires of the circuit board. The surface electric field gradually attenuates from the center of the circuit board to the edge, which can reach 82.2 dB at the center. In the design of this signal conditioning circuit board, the smaller the wire width is, the greater the surface electric field will be excited. To avoid crosstalk between wires, the width of it should be at least greater than 10 mil. In addition, vias with too small an aperture will significantly stimulate the nearby surface electric field, so it is recommended that the aperture of vias should be at least greater than 5 mil. In addition, the amplitude frequency transfer characteristics between the input and output ports of the circuit board are also calibrated through a sweep-frequency experiment. The results show that the high cut-off frequency of the signal conditioning circuit board is about 95 MHz, which is close to the simulation results. The fluctuation in amplitude frequency transfer characteristics is less than 0.1 dB in the range of 1 MHz to 10 MHz. Therefore, it can be concluded that the signal conditioning circuit can meet the measurement requirements of fast transient components of VFTO signals.
- (3)
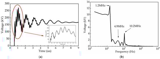
- Hundreds of disconnecting operation experiments are carried out on a 220 kV GIS test platform to verify the actual performance of the VFTO measuring sensor. The results show that the low-frequency performance of the new signal conditioning sensor is far better than that of the old impedance converter, and it can measure the trapped charge voltage component in VFTO well. The relative error of the measurement results is less than 2.5%, and the measurement accuracy is improved by at least 50% compared with the old sensor. The VFTO results measured by the old impedance converter are superimposed with high-frequency interference signals generated by internal circuit resonance. Although the signal is only about 500 mV at the output port of the sensor, it will cause a deviation of up to 100 kV in the measurement results after being converted into the transient overvoltage in the bus according to the voltage division ratio. After filtering to eliminate high-frequency resonance interference, we notice that the measurement results of the new and old sensors are almost identical. This shows that the new signal conditioning sensor can use the advantage of the differential circuit to effectively suppress the disturbance signal generated by internal circuit resonance, so as to obtain a more accurate measurement of VFTO amplitude. Therefore, the VFTO measurement result of the new sensor can be used to guide the insulation design of GIS primary equipment more accurately.
Author Contributions
Funding
Institutional Review Board Statement
Informed Consent Statement
Data Availability Statement
Conflicts of Interest
References
- Ametani, A.; Xue, H.; Natsui, M.; Mahseredjian, J. Electromagnetic disturbances in gas-insulated substations and VFT calculations. Electr. Power Syst. Res. 2018, 160, 191–198. [Google Scholar] [CrossRef]
- Chen, W.J.; Wang, H.; Han, B.; Wang, L.; Ma, G.M.; Yue, G.C.; Li, Z.B.; Hu, H. Study on the Influence of Disconnector Characteristics on Very Fast Transient Overvoltages in 1100-kV Gas-Insulated Switchgear. IEEE Trans. Power Deliv. 2015, 30, 2037–2044. [Google Scholar] [CrossRef]
- Cheng, L.; He, Z.; Liu, J.; Yang, Z.; Chen, X.; Zhang, Y.; Wang, S.; Si, J. Research on Radiated Disturbance to Secondary Cable Caused by Disconnector Switching Operation. Energies 2022, 15, 1849. [Google Scholar] [CrossRef]
- Chen, W.; Li, Z.; Sun, G.; Dai, M.; Li, X. Experimental Research on the Characteristics of Very Fast Transient Overvoltage in Ultra High Voltage Gas Insulated Switchgear. Proc. CSEE 2011, 31, 38–47. [Google Scholar]
- Gu, D.X.; Xiu, M.H.; Dai, M.; Zhou, P.H. Study on VFTO of 1000 kV GIS Substation. High Volt. Eng. 2007, 33, 27–32. [Google Scholar]
- Yin, J.; Yu, S.; Ge, S.; Liu, X.; Liu, C. Simulation Analysis of Arc Interruption Characteristics in Disconnector. Machines 2022, 10, 6. [Google Scholar] [CrossRef]
- Moreira, D.C.; Nunes, M.; Moreira, D.; Costa, D. Analysis of VFTO during the failure of a 550-kV gas-insulated substation. Electr. Power Syst. Res. 2020, 189, 106825. [Google Scholar] [CrossRef]
- Xiao, G.; Rong, Q.; Yang, M.; Xiao, P.; Chen, Q.; Fan, J.; Guo, H.; Wang, H. Research on VFTO Identification of GIS Based on Wavelet Transform and Singular Value Decomposition. Energies 2022, 15, 3367. [Google Scholar] [CrossRef]
- Xue, H.; Ametani, A.; Mahseredjian, J. Very Fast Transients in a 500 kV Gas-Insulated Substation. IEEE Trans. Power Deliv. 2019, 34, 627–637. [Google Scholar] [CrossRef]
- Boggs, S.A.; Chu, F.Y.; Fujimoto, N.; Krenicky, A.; Plessl, A.; Schlicht, D. Disconnect Switch Induced Transients and Trapped Charge in Gas-Insulated Substations. IEEE Trans. Power Appar. Syst. 1982, PAS-101, 3593–3602. [Google Scholar] [CrossRef]
- Ma, G.M.; Li, C.R.; Li, X.; Zhou, H.Y.; Chen, W.J.; Wang, H.; Li, Z.B. Time and frequency characteristics of very fast transient overvoltage in ultra high voltage substation. IEEE Trans. Dielectr. Electr. Insul. 2017, 24, 2459–2468. [Google Scholar] [CrossRef]
- Shi, B.; Zhang, W.; Qiu, Y. Differentiating/integrating system for the measurement of very fast transient overvoltage in gas-insulated substation. High Volt. Eng. 1999, 1, 17–18. [Google Scholar]
- Zeng, R.; Wang, B.; Yu, Z.; Chen, W. Design and application of an integrated electro-optic sensor for intensive electric field measurement. IEEE Trans. Dielectr. Electr. Insul. 2011, 18, 312–319. [Google Scholar] [CrossRef]
- Barakou, F.; Steennis, F.; Wouters, P. Accuracy and Reliability of Switching Transients Measurement with Open-Air Capacitive Sensors. Energies 2019, 12, 1405. [Google Scholar] [CrossRef]
- Ma, G.M.; Li, C.R.; Quan, J.T.; Jiang, J. Measurement of VFTO Based on the Transformer Bushing Sensor. IEEE Trans. Power Deliv. 2011, 26, 684–692. [Google Scholar] [CrossRef]
- Wang, Y.; Xie, J.; Fangcheng, L.; Min, L.I.; Yan, C.; Jiangang, B.I.; Yuan, S. An Overvoltage Monitoring Method Based on Composite Integral Rogowski Coil. Power Syst. Technol. 2015, 39, 1450–1455. [Google Scholar]
- Xie, S.; Mu, Z.; Ding, W.; Wan, Z.; Su, S.; Zhang, C.; Zhang, Y.; Xia, Y.; Luo, D. Development of Broadband Resistive-Capacitive Parallel-Connection Voltage Divider for Transient Voltage Monitoring. Energies 2022, 15, 451. [Google Scholar] [CrossRef]
- Wang, J.; Ding, W.; Qiu, A. Capacitive sensor for fast pulsed voltage monitor in transmission line. Rev. Sci. Instrum. 2019, 90, 035107. [Google Scholar] [CrossRef]
- Riba, J.-R.; Capelli, F.; Moreno-Eguilaz, M. Analysis and Mitigation of Stray Capacitance Effects in Resistive High-Voltage Dividers. Energies 2019, 12, 2278. [Google Scholar] [CrossRef]
- Mingotti, A.; Costa, F.; Peretto, L.; Tinarelli, R.; Mazza, P. Modeling Stray Capacitances of High-Voltage Capacitive Dividers for Conventional Measurement Setups. Energies 2021, 14, 1262. [Google Scholar] [CrossRef]
- Mingotti, A.; Costa, F.; Pasini, G.; Peretto, L.; Tinarelli, R. Modeling Capacitive Low-Power Voltage Transformer Behavior over Temperature and Frequency. Sensors 2021, 21, 1719. [Google Scholar] [CrossRef] [PubMed]
- Wetula, A.; Bień, A.; Parekh, M. New Sensor for Medium- and High-Voltage Measurement. Energies 2021, 14, 4654. [Google Scholar] [CrossRef]
- Du, L.; Li, X.; Sima, W.; Xi, S.; Yuan, T. Overvoltage On-line Monitoring System for 110 kV Substation and Its Waveforms Analysis. High Volt. Eng. 2012, 38, 535–543. [Google Scholar]
- Wang, L.; Zhang, W.; Tan, X.; Chen, W.; Liang, S.; Suo, C. Research and Experiments on an External Miniaturized VFTO Measurement System. Sensors 2020, 20, 244. [Google Scholar] [CrossRef] [PubMed]
- Winkelholz, J.; Hitzemann, M.; Nitschke, A.; Zygmanowski, A.; Zimmermann, S. Resistive High-Voltage Probe with Frequency Compensation by Planar Compensation Electrode Integrated in Printed Circuit Board Design. Electronics 2022, 11, 3446. [Google Scholar] [CrossRef]
- Chen, B.; Du, L.; Liu, K.; Chen, X.; Zhang, F.; Yang, F. Measurement Error Estimation for Capacitive Voltage Transformer by Insulation Parameters. Energies 2017, 10, 357. [Google Scholar] [CrossRef]
- Chen, Y.Y.; Yuan, M.Z. Impedance converter and its application in measurement of very fast transient (VFT). High Volt. Eng. 1990, 1, 45–49. [Google Scholar]
- Gongchang, Y.; Weidong, L.; Weijiang, C.; Yonggang, G.; Zhibing, L. Development of Full Frequency Bandwidth Measurement of VFTO in UHV GIS. IEEE Trans. Power Deliv. 2013, 28, 2550–2557. [Google Scholar] [CrossRef]





















| Parameter | Type | Unit |
|---|---|---|
| High-voltage port capacitance | 0.0537 | pF |
| Low-voltage port capacitance | 11.0031 | nF |
| Electrode diameter | 40 | mm |
| Hand-hole diameter | 50 | mm |
| Hand-hole depth | 20 | mm |
Disclaimer/Publisher’s Note: The statements, opinions and data contained in all publications are solely those of the individual author(s) and contributor(s) and not of MDPI and/or the editor(s). MDPI and/or the editor(s) disclaim responsibility for any injury to people or property resulting from any ideas, methods, instructions or products referred to in the content. |
© 2022 by the authors. Licensee MDPI, Basel, Switzerland. This article is an open access article distributed under the terms and conditions of the Creative Commons Attribution (CC BY) license (https://creativecommons.org/licenses/by/4.0/).
Share and Cite
Teng, Z.; Zhao, J.; Wang, Q.; Lu, H.; Zhang, J. Development and Experimental Research of VFTO Measuring Sensor. Sensors 2023, 23, 264. https://doi.org/10.3390/s23010264
Teng Z, Zhao J, Wang Q, Lu H, Zhang J. Development and Experimental Research of VFTO Measuring Sensor. Sensors. 2023; 23(1):264. https://doi.org/10.3390/s23010264
Chicago/Turabian StyleTeng, Zihan, Jun Zhao, Qi Wang, Haonan Lu, and Jiangong Zhang. 2023. "Development and Experimental Research of VFTO Measuring Sensor" Sensors 23, no. 1: 264. https://doi.org/10.3390/s23010264
APA StyleTeng, Z., Zhao, J., Wang, Q., Lu, H., & Zhang, J. (2023). Development and Experimental Research of VFTO Measuring Sensor. Sensors, 23(1), 264. https://doi.org/10.3390/s23010264
