Path Loss Measurement of Outdoor Wireless Channel in D-band
Abstract
1. Introduction
2. Methods
3. Measurement Setup
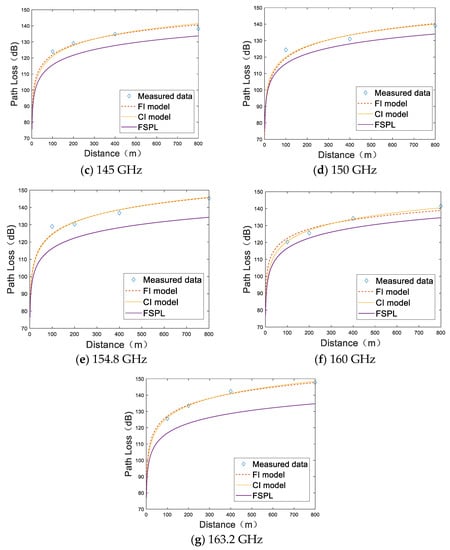
4. Results
5. Conclusions
Author Contributions
Funding
Institutional Review Board Statement
Informed Consent Statement
Data Availability Statement
Conflicts of Interest
References
- Ghosh, A.; Ratasuk, R.; Mondal, B.; Mangalvedhe, N.; Thomas, T. LTE-advanced: Next-generation wireless broadband technology. IEEE Wirel. Commun. 2010, 17, 10–22. [Google Scholar] [CrossRef]
 - Crow, B.P.; Widjaja, I.; Kim, J.G.; Sakai, P.T. IEEE 802.11 wireless local area networks. IEEE Commun. Mag. 1997, 35, 116–126. [Google Scholar] [CrossRef]
 - Baykas, T.; Sum, C.S.; Lan, Z.; Wang, J.; Rahman, M.A.; Harada, H.; Kato, S. IEEE 802.15. 3c: The first IEEE wireless standard for data rates over 1 Gb/s. IEEE Commun. Mag. 2011, 49, 114–121. [Google Scholar] [CrossRef]
 - Rappaport, T.S.; Sun, S.; Mayzus, R.; Zhao, H.; Azar, Y.; Wang, K.; Gutierrez, F. Millimeter wave mobile communications for 5G cellular: It will work! IEEE Access 2013, 1, 335–349. [Google Scholar] [CrossRef]
 - Li, X.; Yu, J.; Chang, G.K. Photonics-aided millimeter-wave technologies for extreme mobile broadband communications in 5G. J. Lightw. Technol. 2020, 38, 366–378. [Google Scholar] [CrossRef]
 - Piesiewicz, R.; Kleine-Ostmann, T.; Krumbholz, N.; Mittleman, D.; Koch, M.; Schoebel, J.; Kurner, T. Short-range ultra-broadband terahertz communications: Concepts and perspectives. IEEE Antennas Propag. Mag. 2007, 49, 24–39. [Google Scholar] [CrossRef]
 - Xiao, J.; Yu, J.; Li, X.; Xu, Y.; Zhang, Z.; Chen, L. 40-Gb/s PDM-QPSK signal transmission over 160-m wireless distance at W-band. Opt. Lett. 2015, 40, 998–1001. [Google Scholar] [CrossRef]
 - Yu, J.; Li, X.; Zhou, W. Tutorial: Broadband fiber-wireless integration for 5G+ communication. APL Photonics 2019, 3, 111101. [Google Scholar] [CrossRef]
 - Li, X.; Yu, J.; Wang, K.; Xu, Y.; Chen, L.; Zhao, L.; Zhou, W. Delivery of 54-Gb/s 8QAM W-band signal and 32-Gb/s 16QAM K-band signal over 20-km SMF-28 and 2500-m wireless distance. J. Lightw. Technol. 2018, 36, 50–56. [Google Scholar] [CrossRef]
 - Yu, J. Photonics-assisted millimeter-wave wireless communication. IEEE J. Quantum Electron. 2017, 53, 1–17. [Google Scholar] [CrossRef]
 - Kim, S.; Khan, W.T.; Zajić, A.; Papapolymerou, J. D-band channel measurements and characterization for indoor applications. IEEE Trans. Antennas Propag. 2015, 63, 3198–3207. [Google Scholar] [CrossRef]
 - Xing, Y.; Rappaport, T.S. Propagation Measurement System and Approach at 140 GHz-Moving to 6G and Above 100 GHz. In Proceedings of the 2018 IEEE Global Communications Conference (GLOBECOM), Abu Dhabi, United Arab Emirates, 9–13 December 2018; pp. 1–6. [Google Scholar]
 - Xing, Y.; Kanhere, O.; Ju, S.; Rappaport, T.S. Indoor Wireless Channel Properties at Millimeter Wave and Sub-Terahertz Frequencies. In Proceedings of the 2019 IEEE Global Communications Conference (GLOBECOM), Waikoloa, HI, USA, 9–13 December 2019; pp. 1–6. [Google Scholar]
 - Ju, S.; Xing, Y.; Kanhere, O.; Rappaport, T.S. Millimeter Wave and Sub-Terahertz Spatial Statistical Channel Model for an Indoor Office Building. IEEE J. Sel. Areas Commun. 2021, 39, 1561–1575. [Google Scholar] [CrossRef]
 - Ju, S.; Xing, Y.; Kanhere, O.; Rappaport, T.S. Sub-Terahertz Channel Measurements and Characterization in a Factory Building. In Proceedings of the ICC 2022—IEEE International Conference on Communications, Seoul, Republic of Korea, 16–20 May 2022; pp. 1–6. [Google Scholar]
 - Xing, Y.; Rappaport, T.S. Propagation Measurements and Path Loss Models for sub-THz in Urban Microcells. In Proceedings of the ICC 2021-IEEE International Conference on Communications, Montreal, QC, Canada, 14–23 June 2021; pp. 1–6. [Google Scholar]
 - Nguyen, S.L.; Haneda, K.; Järveläinen, J.; Karttunen, A.; Putkonen, J. Large-scale parameters of spatio-temporal short-range indoor backhaul channels at 140 GHz. In Proceedings of the 2021 IEEE 93rd Vehicular Technology Conference (VTC2021-Spring), Helsinki, Finland, 25–28 April 2021; pp. 1–6. [Google Scholar]
 - Fu, J.; Juyal, P.; Zajić, A. Modeling of 300 GHz chip-to-chip wireless channels in metal enclosures. IEEE Trans. Wirel. Commun. 2020, 19, 3214–3227. [Google Scholar] [CrossRef]
 - Abbasi, N.A.; Hariharan, A.; Nair, A.M.; Molisch, A.F. Channel measurements and path loss modeling for indoor THz communication. In Proceedings of the 2020 14th European Conference on Antennas and Propagation (EuCAP), Copenhagen, Denmark, 15–20 March 2020; pp. 1–5. [Google Scholar]
 - Abbasi, N.A.; Gomez-Ponce, J.; Shaikbepari, S.M.; Rao, S.; Kondaveti, R.; Abu-Surra, S.; Molisch, A.F. Ultra-wideband double directional channel measurements for thz communications in urban environments. In Proceedings of the ICC 2021-IEEE International Conference on Communications, Montreal, QC, Canada, 14–23 June 2021; pp. 1–6. [Google Scholar]
 - De Beelde, B.; Plets, D.; Tanghe, E.; Joseph, W. Directional sub-THz antenna-channel modelling for indoor scenarios. In Proceedings of the 2021 15th European Conference on Antennas and Propagation (EuCAP), Dusseldorf, Germany, 22–26 March 2021; pp. 1–4. [Google Scholar]
 - De Beelde, B.; Tanghe, E.; Plets, D.; Joseph, W. Indoor Radio Channel Modeling at D-Band Frequencies. In Proceedings of the 2022 16th European Conference on Antennas and Propagation (EuCAP), Madrid, Spain, 27 March–1 April 2022; pp. 1–4. [Google Scholar]
 - De Beelde, B.; Plets, D.; Desset, C.; Tanghe, E.; Bourdoux, A.; Joseph, W. Material Characterization and Radio Channel Modeling at D-Band Frequencies. IEEE Access 2021, 9, 153528–153539. [Google Scholar] [CrossRef]
 - Chen, Y.; Han, C.; Yu, Z.; Wang, G. 140 GHz channel measurement and characterization in an office room. In Proceedings of the ICC 2021-IEEE International Conference on Communications, Montreal, QC, Canada, 14–23 June 2021; pp. 1–6. [Google Scholar]
 - Chen, Y.; Li, Y.; Han, C.; Yu, Z.; Wang, G. Channel measurement and ray-tracing-statistical hybrid modeling for low-terahertz indoor communications. IEEE Trans. Wirel. Commun. 2021, 20, 8163–8176. [Google Scholar] [CrossRef]
 - Wang, M.; Wang, Y.; Li, W.; Ding, J.; Bian, C.; Wang, X.; Yu, J. Reflection Characteristics Measurements of Indoor Wireless Link in D-Band. Sensors 2022, 22, 6908. [Google Scholar] [CrossRef]
 - Li, X.; Xiao, J.; Yu, J. Long-distance wireless mm-wave signal delivery at W-band. J. Lightw. Technol. 2016, 34, 661–668. [Google Scholar] [CrossRef]
 - Wang, X.; Li, W.; Wang, M.; Bian, C.; Wei, Y.; Zhou, W. Research on Penetration Loss of D-Band Millimeter Wave for Typical Materials. Sensors 2022, 22, 7666. [Google Scholar] [CrossRef]
 - Li, X.; Yu, J.; Xiao, J. Demonstration of ultra-capacity wireless signal delivery at W-band. J. Lightw. Technol. 2016, 34, 180–187. [Google Scholar] [CrossRef]
 - Friis, H.T. A note on a simple transmission formula. Proc. IRE 1946, 34, 254–256. [Google Scholar] [CrossRef]
 - Sun, S.; Rappaport, T.S.; Thomas, T.A.; Ghosh, A.; Nguyen, H.C.; Kovacs, I.Z.; Partyka, A. Investigation of prediction accuracy, sensitivity, and parameter stability of large-scale propagation path loss models for 5G wireless communications. IEEE Trans. Veh. Technol. 2016, 65, 2843–2860. [Google Scholar] [CrossRef]
 - Maccartney, G.R.; Rappaport, T.S.; Sun, S.; Deng, S. Indoor office wideband millimeter-wave propagation measurements and channel models at 28 and 73 GHz for ultra-dense 5G wireless networks. IEEE Access 2016, 3, 2388–2424. [Google Scholar] [CrossRef]
 - 3GPP TR 25.996. Spatial Channel Model for Multiple Input Multiple Output (MIMO) Simulations. Available online: itecspec.com (accessed on 4 December 2022).
 - IST-4-027756 WINNER II D1.1.2 v1.2 WINNER II Channel Models. Available online: researchgate.net (accessed on 4 December 2022).
 








| Frequency | Antennas | Environment | |
|---|---|---|---|
| New York University | 142 GHz | 27 dBi narrow-beam horn antennas (TX and RX) | 1–40 m Indoor offices, conference rooms, classrooms, long hallways, open-plan cubicles, elevators, and the factory building [12,13,14,15]; 25–117 m Outdoor Urban Microcell (UMi) area [16]  | 
| Aalto University | 140 GHz | 19 dBi horn (RX) and 2 dBi bicone (TX) antennas | 3–65 m Indoor shopping mall [17] | 
| Georgia Institute of Technology | 140 GHz | 22–23 dBi horn antennas (TX and RX) | 0.3–0.86 m Indoor office [18] | 
| University of Southern California | 140–220 GHz | 21 dBi narrow-beam horn antennas (TX and RX) | 0.5–5.5 m Indoor office [19]; 100 m Urban [20]  | 
| Ghent University | 110–170 GHz | 23 dBi horn antennas (TX and RX) | 1–5 m Outdoor [21]; 0.5–8.5 m Indoor office and laboratory [22,23]  | 
| SJTU | 130–143 GHz | 25 dBi horn (RX) and 16 dBi bicone (TX) antennas | 1.8–20 m Indoor meeting room and office [24,25] | 
| This work | 138–165 GHz | 25 dBi narrow-beam horn antennas (TX and RX) | 100–800 m Outdoor street | 
| Specifications | Values | ||||||
|---|---|---|---|---|---|---|---|
| Center Frequency (GHz) | 138 | 139.2 | 145.2 | 150 | 154.8 | 160.8 | 163.2 | 
| LO frequency (GHz) | 11.5 | 11.6 | 12.1 | 12.5 | 12.9 | 13.4 | 13.6 | 
| IF frequency (GHz) | 1.2 | ||||||
| Tx/Rx antenna gain (dBi) | 25 | ||||||
| Tx/Rx azimuth HPBW | E plane: 9° H plane:10°  | ||||||
| Tx/Rx polarization | Horizontal | ||||||
| Tx/Rx caliber (mm2) | 17.5 × 13.6 | ||||||
| Tx/Rx projection diameter (mm) | 19.1 | ||||||
| EA1 gain (dB) | 30 | ||||||
| EA2 gain (dB) | 26 | ||||||
| Frequency (GHz) | FI Model | CI Model | ||||
|---|---|---|---|---|---|---|
| α | β | σFI | FSPL (f,d0) | β | σCI | |
| 138 | 79.19 | 1.91 | 1.75 | 75.25 | 2.06 | 1.98 | 
| 139.2 | 82.45 | 1.88 | 0.87 | 75.31 | 2.16 | 0.33 | 
| 145.2 | 80.66 | 2.06 | 1.68 | 75.68 | 2.26 | 2.33 | 
| 150 | 72.7 | 2.33 | 3.33 | 75.96 | 2.40 | 2.63 | 
| 154.8 | 77.95 | 2.33 | 2.46 | 76.24 | 2.20 | 2.51 | 
| 160.8 | 86.02 | 1.82 | 2.13 | 76.57 | 2.20 | 1.02 | 
| 163.2 | 81.45 | 2.28 | 1.10 | 76.70 | 2.47 | 0.82 | 
Publisher’s Note: MDPI stays neutral with regard to jurisdictional claims in published maps and institutional affiliations.  | 
© 2022 by the authors. Licensee MDPI, Basel, Switzerland. This article is an open access article distributed under the terms and conditions of the Creative Commons Attribution (CC BY) license (https://creativecommons.org/licenses/by/4.0/).
Share and Cite
Bian, C.; Li, W.; Wang, M.; Wang, X.; Wei, Y.; Zhou, W. Path Loss Measurement of Outdoor Wireless Channel in D-band. Sensors 2022, 22, 9734. https://doi.org/10.3390/s22249734
Bian C, Li W, Wang M, Wang X, Wei Y, Zhou W. Path Loss Measurement of Outdoor Wireless Channel in D-band. Sensors. 2022; 22(24):9734. https://doi.org/10.3390/s22249734
Chicago/Turabian StyleBian, Chengzhen, Weiping Li, Mingxu Wang, Xinyi Wang, Yi Wei, and Wen Zhou. 2022. "Path Loss Measurement of Outdoor Wireless Channel in D-band" Sensors 22, no. 24: 9734. https://doi.org/10.3390/s22249734
APA StyleBian, C., Li, W., Wang, M., Wang, X., Wei, Y., & Zhou, W. (2022). Path Loss Measurement of Outdoor Wireless Channel in D-band. Sensors, 22(24), 9734. https://doi.org/10.3390/s22249734
        
