Generalized Scale Factor Calibration Method for an Off-Axis Digital Image Correlation-Based Video Deflectometer
Abstract
1. Introduction
2. Off-Axis Digital Image Correlation-Based Video Deflectometer
3. Scale Factor Calibration Based on a Generalized Off-Axis Imaging Model
3.1. Accurate SF Calibration Method
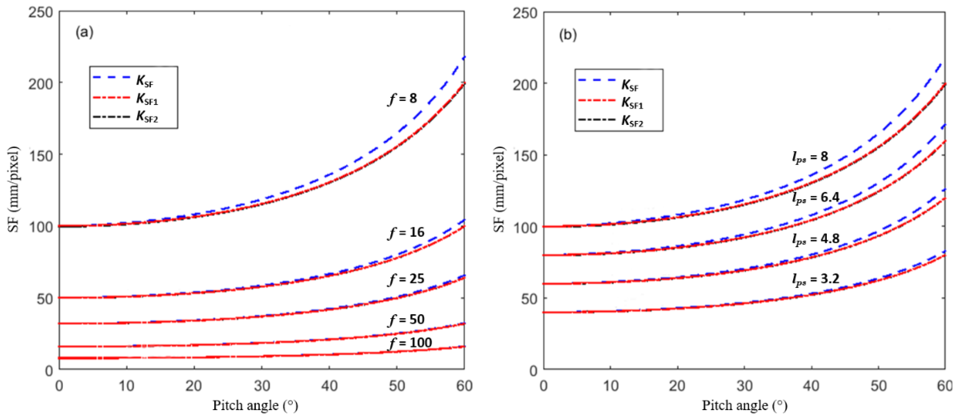
3.2. Comparison with Existing Off-Axis SF Calibration Method
4. Experiments
4.1. Experiment Configuration
4.2. Laboratory Translation Experiments
4.2.1. Experiment Setup
4.2.2. Experimental Results
4.2.3. Discussion
5. Conclusions
Author Contributions
Funding
Institutional Review Board Statement
Informed Consent Statement
Data Availability Statement
Conflicts of Interest
References
- Tian, L.; Pan, B. Remote Bridge Deflection Measurement Using an Advanced Video Deflectometer and Actively Illuminated LED Targets. Sensors 2016, 16, 1344. [Google Scholar] [CrossRef] [PubMed]
- Yu, S.; Zhang, J. Fast bridge deflection monitoring through an improved feature tracing algorithm. Comput.-Aided Civ. Infrastruct. Eng. 2020, 35, 292–302. [Google Scholar] [CrossRef]
- Ye, X.W.; Ni, Y.Q.; Wai, T.T.; Wong, K.Y.; Zhang, X.M.; Xu, F. A vision-based system for dynamic displacement measurement of long-span bridges: Algorithm and verification. Smart Struct. Syst. 2013, 12, 363–379. [Google Scholar] [CrossRef]
- Feng, D.; Feng, M.Q. Experimental validation of cost-effective vision-based structural health monitoring. Mech. Syst. Signal Process. 2017, 88, 199–211. [Google Scholar] [CrossRef]
- Dong, C.Z.; Catbas, F.N. A non-target structural displacement measurement method using advanced feature matching strategy. Adv. Struct. Eng. 2019, 22, 3461–3472. [Google Scholar] [CrossRef]
- Tian, L.; Zhang, X.H.; Pan, B. Drift error compensation for vision-based bridge deflection monitoring. Smart Struct. Syst. 2019, 24, 649–657. [Google Scholar]
- Yoneyama, S.; Ueda, H. Bridge deflection measurement using digital image correlation with camera movement correction. Mater. Trans. 2012, 53, 285–290. [Google Scholar] [CrossRef]
- Marcelo, K.; Queenie, S.H.C. The positioning influence of dial gauges on their calibration results. Measurement 2005, 38, 67–76. [Google Scholar]
- Park, K.T.; Kim, S.H.; Park, H.S.; Lee, K.W. The determination of bridge displacement using measured acceleration. Eng. Struct. 2005, 27, 371–378. [Google Scholar] [CrossRef]
- Santhosh, K.V.; Roy, B.K. A Smart Displacement Measuring Technique Using Linear Variable Displacement Transducer. Proced Technol. 2012, 4, 854–861. [Google Scholar] [CrossRef]
- Pan, B.; Li, K.; Tong, W. Fast, Robust and Accurate Digital Image Correlation Calculation Without Redundant Computations. Exp. Mech. 2013, 53, 1277–1289. [Google Scholar] [CrossRef]
- Wu, R.; Kong, C.; Li, K.; Zhang, D. Real-Time Digital Image Correlation for Dynamic Strain Measurement. Exp. Mech. 2016, 56, 833–843. [Google Scholar] [CrossRef]
- Sutton, M.A.; Hild, F. Recent Advances and Perspectives in Digital Image Correlation. Exp. Mech. 2015, 55, 1–8. [Google Scholar] [CrossRef]
- Valle, V.; Hedan, S.; Cosenza, P.; Fauchille, A.L.; Berdjane, M. Digital Image Correlation Development for the Study of Materials Including Multiple Crossing Cracks. Exp. Mech. 2014, 55, 379–391. [Google Scholar] [CrossRef]
- Feng, D.; Feng, M.; Ozer, E.; Fukuda, Y. A vision-based sensor for noncontact structural displacement measurement. Sensors 2015, 15, 16557–16575. [Google Scholar] [CrossRef] [PubMed]
- Pan, B.; Tian, L.; Song, X. Real-time, non-contact and targetless measurement of vertical deflection of bridges using off-axis digital image correlation. NDTE Int. 2016, 79, 73–80. [Google Scholar] [CrossRef]
- Tian, L.; Zhao, J.; Pan, B.; Wang, Z. Full-Field Bridge Deflection Monitoring with Off-Axis Digital Image Correlation. Sensors 2021, 21, 5058. [Google Scholar] [CrossRef] [PubMed]
- Wang, S.; Zhang, S.; Li, X.; Zou, Y.; Zhang, D. Development of monocular video deflectometer based on inclination sensors. Smart Struct. Syst. 2019, 24, 607–616. [Google Scholar]
- Pan, B.; Qian, K.M.; Xie, H.M.; Asundi, A. Two-dimensional digital image correlation for in-plane displacement and strain measurement: A review. Meas. Sci. Technol. 2009, 20, 62001. [Google Scholar] [CrossRef]
- Pan, B. Digital image correlation for surface deformation measurement: Historical developments, recent advances and future goals. Meas. Sci. Technol. 2018, 29, 082001. [Google Scholar] [CrossRef]










| Focal Length (mm) | Pitch Angle | Distance L (m) | ||||||||
|---|---|---|---|---|---|---|---|---|---|---|
| P1 | P2 | P3 | P4 | P5 | P6 | P7 | P8 | P9 | ||
| 8 | 23.6° | 2.284 | 2.280 | 2.276 | 2.257 | 2.251 | 2.246 | 2.226 | 2.221 | 2.216 |
| 50 | 22.1° | 2.262 | 2.258 | 2.254 | 2.235 | 2.230 | 2.226 | 2.204 | 2.198 | 2.193 |
| Focal Length (mm) | RMSE (mm) | ||||||||
|---|---|---|---|---|---|---|---|---|---|
| P1 | P2 | P3 | P4 | P5 | P6 | P7 | P8 | P9 | |
| 8 | 0.044 | 0.017 | 0.012 | 0.059 | 0.015 | 0.026 | 0.052 | 0.051 | 0.014 |
| 50 | 0.007 | 0.024 | 0.025 | 0.021 | 0.009 | 0.002 | 0.010 | 0.006 | 0.014 |
Publisher’s Note: MDPI stays neutral with regard to jurisdictional claims in published maps and institutional affiliations. |
© 2022 by the authors. Licensee MDPI, Basel, Switzerland. This article is an open access article distributed under the terms and conditions of the Creative Commons Attribution (CC BY) license (https://creativecommons.org/licenses/by/4.0/).
Share and Cite
Tian, L.; Ding, T.; Pan, B. Generalized Scale Factor Calibration Method for an Off-Axis Digital Image Correlation-Based Video Deflectometer. Sensors 2022, 22, 10010. https://doi.org/10.3390/s222410010
Tian L, Ding T, Pan B. Generalized Scale Factor Calibration Method for an Off-Axis Digital Image Correlation-Based Video Deflectometer. Sensors. 2022; 22(24):10010. https://doi.org/10.3390/s222410010
Chicago/Turabian StyleTian, Long, Tong Ding, and Bing Pan. 2022. "Generalized Scale Factor Calibration Method for an Off-Axis Digital Image Correlation-Based Video Deflectometer" Sensors 22, no. 24: 10010. https://doi.org/10.3390/s222410010
APA StyleTian, L., Ding, T., & Pan, B. (2022). Generalized Scale Factor Calibration Method for an Off-Axis Digital Image Correlation-Based Video Deflectometer. Sensors, 22(24), 10010. https://doi.org/10.3390/s222410010
