Rapid Assessment of Microbial Quality in Edible Seaweeds Using Sensor Techniques Based on Spectroscopy, Imaging Analysis and Sensors Mimicking Human Senses
Abstract
:1. Introduction
2. Materials and Methods
2.1. Sample Collection
2.2. Microbiological Analysis
2.3. FT-IR Sensor
2.4. Multispectral Imaging—VideoMeterLab
2.5. E-Nose Sensor
2.6. FT-IR Data Analysis Pipeline
2.7. Μultispectral Imaging (MSI) and E-Nose Data Analysis Pipeline
3. Results and Discussion
3.1. Microbiological Results
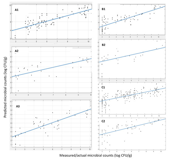
3.2. FT-IR Results
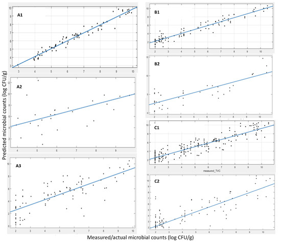
3.3. E-Nose Results
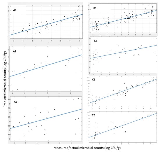
3.4. MSI Results
Author Contributions
Funding
Institutional Review Board Statement
Informed Consent Statement
Data Availability Statement
Acknowledgments
Conflicts of Interest
References
- FAO. The State of World Fisheries and Aquaculture 2020. Sustainability in Action; FAO: Rome, Italy, 2020. [Google Scholar] [CrossRef]
- Bjerregaard, R.; Valderrama, D.; Radulovich, R.; James, D.; Capron, M.; McKinnie, C.A.; Cedric, M.; Hopkins, K.; Yarish, C.; Goudey, C.; et al. Seaweed Aquaculture for Food Security, Income Generation and Environmental Health in Tropical Developing Countries (English); World Bank Group: Washington, DC, USA; Available online: http://documents.worldbank.org/curated/en/947831469090666344/Seaweed-aquaculture-for-food-security-income-generation-and-environmental-health-in-Tropical-Developing-Countries (accessed on 23 June 2022).
- Bleakley, S.; Hayes, M. Algal Proteins: Extraction, application, and challenges concerning production. Foods 2017, 6, 33. [Google Scholar] [CrossRef] [PubMed]
- Godfray, H.C.J.; Beddington, J.R.; Crute, I.R.; Haddad, L.; Lawrence, D.; Muir, J.F.; Pretty, J.; Robinson, S.; Thomas, S.M.; Toulmin, C. Food security: The challenge of feeding 9 billion people. Science 2010, 327, 812–818. [Google Scholar] [CrossRef]
- Leandro, A.; Pacheco, D.; Cotas, J.; Marques, J.C.; Pereira, L.; Gonçalves, A.M.M. Seaweed’s Bioactive Candidate Compounds to Food Industry and Global Food Security. Life 2020, 10, 140. [Google Scholar] [CrossRef] [PubMed]
- Cherry, P.; O’Hara, C.; Magee, P.J.; McSorley, E.M.; Allsopp, P.J. Risks and benefits of consuming edible seaweeds. Nutr. Rev. 2019, 77, 307–329. [Google Scholar] [CrossRef] [PubMed]
- Bouga, M.; Combet, E. Emergence of seaweed and seaweed-containing foods in the UK: Focus on labeling, iodine content, toxicity and nutrition. Foods 2015, 4, 240–253. [Google Scholar] [CrossRef]
- Lytou, A.E.; Schoina, E.; Liu, Y.; Michalek, K.; Stanley, M.S.; Panagou, E.Z.; Nychas, G.-J.E. Quality and Safety Assessment of Edible Seaweeds Alaria esculenta and Saccharina latissima Cultivated in Scotland. Foods 2021, 10, 2210. [Google Scholar] [CrossRef]
- Nayyar, D.; Skonberg, D.I. Contrasting effects of two storage temperatures on the microbial, physicochemical, and sensory properties of two fresh red seaweeds, Palmaria palmata and Gracilaria tikvahiae. J. Appl. Phycol. 2019, 31, 731–739. [Google Scholar] [CrossRef]
- Nychas, G.-J.E.; Panagou, E.Z.; Mohareb, F. Novel Approaches for Food Safety Management and Communication. Curr. Opin. Food Sci. 2016, 12, 13–20. [Google Scholar] [CrossRef]
- Tsakanikas, P.; Karnavas, A.; Panagou, E.Z.; Nychas, G.-J. A machine learning workflow for raw food spectroscopic classification in a future industry. Sci. Rep. 2020, 10, 111212. [Google Scholar] [CrossRef]
- Tan, J.; Xu, J. Applications of electronic nose (e-nose) and electronic tongue (e-tongue) in food quality-related properties determination: A review. Artif. Intell. Agric. 2020, 4, 104–115. [Google Scholar] [CrossRef]
- Candoğan, K.; Altuntas, E.G.; İğci, N. Authentication and Quality Assessment of Meat Products by Fourier-Transform Infrared (FTIR) Spectroscopy. Food Eng. Rev. 2021, 13, 66–91. [Google Scholar] [CrossRef]
- Karimi, S.; Feizy, J.; Mehrjo, F.; Farrokhnia, M. Detection and quantification of food colorant adulteration in saffron sample using chemometric analysis of FT-IR spectra. RSC Adv. 2016, 6, 23085. [Google Scholar] [CrossRef]
- Yu, P.; Huang, M.; Zhang, M.; Zhu, Q.; Qin, J. Rapid detection of moisture content and shrinkage ratio of dried carrot slices by using a multispectral imaging system. Infrared Phys. Technol. 2020, 108, 103361. [Google Scholar] [CrossRef]
- Wang, X.; Bouzembrak, Y.; Lansink, A.O.; van der Fels-Klerx, H.J. Application of machine learning to the monitoring and prediction of food safety: A review. Compr. Rev. Food Sci. Food Saf. 2022, 21, 416–434. [Google Scholar] [CrossRef]
- Carstensen, J.M.; Folm-Hansen, J. An Apparatus and a Method of Recording an Image of an Object. European Patent EP1051660, 5 November 2003. [Google Scholar]
- Breiman, L. Random Forests. Mach. Learn. 2001, 45, 5–32. [Google Scholar] [CrossRef]
- Guo, Q.; Wu, W.; Massart, D.L. The robust normal variate transform for pattern recognition with near-infrared data. Anal. Chim. Acta 1999, 382, 87–103. [Google Scholar] [CrossRef]
- Hoaglin, D.C.; Mosteller, F.; Tukey, J.W. Understanding Robust and Exploratory Data Analysis; John Wiley & Sons: Hoboken, NJ, USA, 2000. [Google Scholar]
- Tsakanikas, P.; Fengou, L.-C.; Manthou, E.; Lianou, A.; Panagou, E.-Z.; Nychas, G.-J.E. A unified spectra analysis workflow for the assessment of microbial contamination of ready-to-eat green salads: Comparative study and application of non-invasive sensors. Comput. Electron. Agric. 2018, 155, 212–219. [Google Scholar] [CrossRef]
- Friedman, J.H. Greedy function approximation: A gradient boosting machine. Ann. Stat. 2001, 29, 1189–1232. [Google Scholar] [CrossRef]
- Wold, S.; Sjöström, M.; Eriksson, L. PLS-regression: A basic tool of chemometrics. Chemom. Intell. Lab. Syst. 2001, 58, 109–130. [Google Scholar] [CrossRef]
- Panagou, E.Z.; Papadopoulou, O.; Carstensen, J.M.; Nychas, G.-J.E. Potential of multispectral imaging technology for rapid and non-destructive determination of the microbiological quality of beef filets during aerobic storage. Inter. J. Food Microbiol. 2014, 174, 1–11. [Google Scholar] [CrossRef]
- Papadopoulou, O.; Panagou, E.Z.; Tassou, C.C.; Nychas, G.J.E. Contribution of Fourier transform infrared (FTIR) spectroscopy data on the quantitative determination of minced pork meat spoilage. Food Res. Int. 2011, 44, 3264–3271. [Google Scholar] [CrossRef]
- McLachlan, G.J.; Peel, D. Finite Mixture Models; Wiley: New York, NY, USA, 2000. [Google Scholar]
- del Olmo, A.; Picon, A.; Nuñez, M. Preservation of five edible seaweeds by high pressure processing: Effect on microbiota, shelf life, colour, texture and antioxidant capacity. Algal Res. 2020, 49, 101938. [Google Scholar] [CrossRef]
- Picon, A.; del Olmo, A.; Nuñez, M. Bacterial diversity in six species of fresh edible seaweeds submitted to high pressure processing and long-term refrigerated storage. Food Microbiol. 2021, 94, 103646. [Google Scholar] [CrossRef]
- Blikra, M.; Løvdal, T.; Vaka, M.R.; Roiha, I.S.; Lunestad, B.T.; Lindseth, C.; Skipnes, D. Assessment of food quality and microbial safety of brown macroalgae (Alaria esculenta and Saccharina latissima). J. Sci. Food Agric. 2019, 99, 1198–1206. [Google Scholar] [CrossRef] [PubMed]
- Sánchez-García, F.; Hernández, I.; Palacios, V.M.; Roldán, A.M. Freshness quality and shelf-life evaluation of the seaweed Ulva rigida through physical, chemical, microbiological, and sensory methods. Foods 2021, 10, 181. [Google Scholar] [CrossRef] [PubMed]
- Younis, U.; Rahi, A.A.; Danish, S.; Ali, M.A.; Ahmed, N.; Datta, R. Fourier Transform Infrared Spectroscopy vibrational bands study of Spinacia oleracea and Trigonella corniculata under biochar amendment in naturally contaminated soil. PLoS ONE 2021, 16, 0253390. [Google Scholar] [CrossRef]
- Scarsini, M.; Thurotte, A.; Veidl, B.; Amiard, F.; Niepceron, F.; Badawi, M.; Lagarde, F.; Schoefs, B.; Marchand, J. Metabolite Quantification by Fourier Transform Infrared Spectroscopy in Diatoms: Proof of Concept on Phaeodactylum tricornutum. Front. Plant Sci. 2021, 12, 756421. [Google Scholar] [CrossRef]
- Agatonovic Kustrin, S.; Ramenskaya, G.; Kustrin, E.; Ortakand, D.B.; Morton, D.W. A new integrated HPTLC—ATR/FTIR approach in marine algae bioprofiling. J. Pharm. Biomed. Anal. 2020, 189, 113488. [Google Scholar] [CrossRef]
- Hesse, M.; Meier, H.; Zeeh, B. Spektroskopische Methoden in der Organischen; Chemie Thieme: Stuttgart, Germany, 2004. [Google Scholar]
- Magwaza, L.S.; Opara, U.L.; Cronje, P.J.R.; Landahl, S.; Nieuwoudt, H.H.; Mouazen, A.M.; Nicolaï, B.M.; Terry, L.A. Assessment of rind quality of “Nules Clementine” mandarin fruit during postharvest storage: 2. Robust Vis/NIRS PLS models for prediction of physico-chemical attributes. Sci. Hortic. 2014, 165, 421–432. [Google Scholar] [CrossRef]
- Li, X.; Bo, Z.; Jin, L.; Xiong, X.; Zhang, H. Effect of heating temperature on cell impedance properties and water distribution in apple tissue. Nongye Gongcheng Xuebao/Trans. Chin. Soc. Agric. Eng. 2015, 31, 284–290. [Google Scholar]
- Zhang, B.; Dai, D.; Huang, J.; Zhou, J.; Gui, O. Influence of physical and biological variability and solution methods in fruit and vegetable quality non-destructive inspection by using imaging and near-infrared spectroscopy techniques: A review. Crit. Rev. Food Sci. Nutr. 2017, 58, 2099–2118. [Google Scholar] [CrossRef] [PubMed]
- Yao, Y.; Chen, H.; Xie, L.; Rao, X. Assessing the temperature influence on the soluble solids content of watermelon juice as measured by visible and near-infrared spectroscopy and chemometrics. J. Food Eng. 2013, 119, 22–27. [Google Scholar] [CrossRef]
- Guo, Z.; Huang, W.; Peng, Y.; Chen, Q.; Ouyang, Q.; Zhao, J. Color compensation and comparison of shortwave near infrared and long wave near infrared spectroscopy for determination of soluble solids content of ‘Fuji’ apple. Postharvest Biol. Technol. 2016, 115, 81–90. [Google Scholar] [CrossRef]
- Peirs, A.; Scheerlinck, N.; Nicola, B.M. Temperature compensation for near infrared reflectance measurement of apple fruit soluble solids contents. Postharvest Biol. Technol. 2003, 30, 233–248. [Google Scholar] [CrossRef]
- Shao, X.; Li, H.; Wang, N.; Zhang, Q. Comparison of different classification methods for analyzing electronic nose data to characterize sesame oils and blends. Sensors 2015, 15, 26726–26742. [Google Scholar] [CrossRef]
- Huang, Y.; Doh, I.J.; Bae, E. Design and validation of a portable machine learning-based electronic nose. Sensors 2021, 21, 3923. [Google Scholar] [CrossRef]
- Qin, J.; Lu, R. Measurement of the optical properties of fruits and vegetables using spatially resolved hyperspectral diffuse reflectance imaging technique. Postharvest Biol. Technol. 2008, 49, 355–365. [Google Scholar] [CrossRef]
- Zhang, B.; Huang, W.; Li, J.; Zhao, C.; Fan, S.; Wu, J.; Liu, C. Principles, developments and applications of computer vision for external quality inspection of fruits and vegetables: A review. Food Res. Int. 2014, 62, 326–343. [Google Scholar] [CrossRef]







| No. | Sensor | Application |
|---|---|---|
| 1 | LY2/LG | Oxidizing gas |
| 2 | LY2/G | Ammonia, carbon monoxide |
| 3 | LY2/AA | Ethanol |
| 4 | LY2/GH | Ammonia/Organic amine |
| 5 | LY2/gCTL | Hydrogen sulfide |
| 6 | LY2/gCT | Propane/Butane |
| 7 | T30/1 | Organic solvents |
| 8 | P10/1 | Hydrocarbons |
| 9 | P10/2 | Methane |
| 10 | P40/1 | Fluorine |
| 11 | T70/2 | Aromatic compounds |
| 12 | PA/2 | Ethanol, ammonia/organic amine |
| Alaria esculenta—Marine Institute | |||||||||||||
|---|---|---|---|---|---|---|---|---|---|---|---|---|---|
| Storage Temperature (°C) | 0 | 5 | 10 | 15 | |||||||||
| Harvest Year | 2019 | 2020 | 2021 | 2019 | 2020 | 2021 | 2019 | 2020 | 2021 | 2019 | 2020 | 2021 | |
| Storage Time (days) | 0 | - | 3.03 ± 1.87 | - | 4.90 ± 0.36 | 3.03 ± 1.87 | 2.30 ± 0.38 | 4.90 ± 0.36 | 3.03 ± 1.87 | - | - | 3.03 ± 1.87 | - |
| 1 | - | 4.64 ± 0.90 | - | 5.20 ± 0.20 | 4.06 ± 0.47 | 2.46 ± 0.66 | 7.10 ± 0.41 | 6.16 ± 0.60 | - | - | 5.84 ± 0.22 | - | |
| 2 | - | 4.77 ± 0.41 | - | 6.00 ± 0.40 | 4.82 ± 0.67 | 2.30 ± 0.46 | 6.80 ± 0.59 | 8.12 ± 0.42 | - | - | 8.44 ± 0.50 | - | |
| 3 | - | 3.00 ± 1.36 | - | 6.70 ± 0.87 | 5.62 ± 0.45 | 2.30 ± 0.30 | 8.00 ± 0.48 | 9.66 ± 0.46 | - | - | 9.57 ± 0.27 | - | |
| 4 | - | 4.58 ± 0.82 | - | 7.10 ± 0.80 | 7.23 ± 0.93 | 3.80 ± 0.88 | 8.90 ± 0.14 | 9.67 ± 0.54 | - | - | 9.63 ± 0.47 | - | |
| 5 | - | 5.51 ± 0.43 | - | 7.50 ± 1.03 | 7.69 ± 0.98 | 4.50 ± 0.22 | 9.66 ± 0.24 | 9.65 ± 0.39 | - | - | 9.88 ± 0.15 | - | |
| 6 | - | - | - | 8.10 ± 0.20 | - | - | 9.98 ± 0.36 | - | - | - | - | - | |
| 7 | - | 6.46 ± 0.87 | - | 8.00 ± 0.54 | 7.61 ± 0.36 | 6.21 ± 0.59 | 9.54 ± 0.28 | 8.73 ± 0.29 | - | - | 9.74 ± 0.38 | - | |
| Alaria esculenta—SAMS | |||||||||
|---|---|---|---|---|---|---|---|---|---|
| Storage Temperature (°C) | 0 | 5 | 10 | 15 | |||||
| Harvest Year | 2019 | 2020 | 2019 | 2020 | 2019 | 2020 | 2019 | 2020 | |
| Storage Time (days) | 0 | - | 1.80 ± 0.28 | 5.10 ± 0.86 | 1.80 ± 0.28 | - | 1.80 ± 0.28 | 5.10 ± 0.86 | 1.80 ± 0.28 |
| 1 | - | 1.80 ± 0.28 | 6.40 ± 0.96 | 2.15 ± 0.41 | - | 1.65 ± 0.92 | 7.40 ± 0.46 | 2.18 ± 0.66 | |
| 2 | - | 1.91 ± 0.44 | 7.12 ± 0.34 | 1.00 ± 0.00 | - | 2.41 ± 0.58 | 8.56 ± 0.34 | 3.81 ± 0.52 | |
| 3 | - | 1.60 ± 0.22 | 8.20 ± 0.25 | 1.00 ± 0.00 | - | 2.63 ± 0.21 | 8.90 ± 0.56 | 5.27 ± 0.81 | |
| 4 | - | 2.48 ± 0.96 | 9.60 ± 0.20 | 3.27 ± 1.37 | - | 6.73 ± 0.47 | 9.80 ± 0.14 | 7.04 ± 0.32 | |
| 5 | - | - | 9.50 ± 0.46 | - | - | - | 10.24 ± 0.26 | - | |
| 6 | - | 3.39 ± 1.11 | - | 4.97 ± 0.41 | - | 6.30 ± 1.18 | - | 9.52 ± 0.12 | |
| 7 | - | 4.04 ± 1.88 | 10.30 ± 0.20 | 7.16 ± 0.80 | - | 8.20 ± 0.85 | 10.30 ± 0.20 | 10.01 ± 0.72 | |
| 8 | - | - | - | 8.62 ± 0.68 | - | 9.60 ± 0.65 | - | - | |
| 9 | - | - | - | - | - | - | - | - | |
| 10 | - | 3.98 ± 1.03 | - | 9.11 ± 1.59 | - | - | - | - | |
| FT-IR | ||||
|---|---|---|---|---|
| MI | α (Slope) | β (Offset) | R-Square | RMSE |
| Cross validation | 0.96 | 0.27 | 0.96 | 0.38 |
| Validation A * | 0.92 | 0.85 | 0.90 | 0.86 |
| Validation B * | 0.83 | 0.91 | 0.63 | 1.50 |
| SAMS | ||||
| Cross validation | 0.94 | 0.27 | 0.94 | 0.63 |
| Validation | 0.95 | 0.69 | 0.70 | 1.84 |
| MI+SAMS | ||||
| Cross validation | 0.84 | 0.82 | 0.84 | 0.96 |
| Validation | 0.82 | 0.53 | 0.75 | 1.77 |
| E-Nose | ||||
|---|---|---|---|---|
| MI | α (Slope) | β (Offset) | R-Square | RMSE |
| Cross validation | 0.67 | 2.11 | 0.67 | 0.97 |
| Validation A | 0.55 | 3.08 | 0.54 | 1.16 |
| Validation B | 0.76 | 1.55 | 0.71 | 1.28 |
| SAMS | ||||
| Cross validation | 0.69 | 1.42 | 0.62 | 1.30 |
| Validation | 0.42 | 3.31 | 0.50 | 1.46 |
| MI+SAMS | ||||
| Cross validation | 0.45 | 2.90 | 0.45 | 1.32 |
| Validation | 0.45 | 2.90 | 0.43 | 1.29 |
| MSI | ||||
|---|---|---|---|---|
| MI | α (Slope) | β (Offset) | R-Square | RMSE |
| Cross validation | 0.67 | 2.20 | 0.67 | 0.96 |
| Validation A | 0.49 | 3.40 | 0.51 | 0.95 |
| Validation B | 0.35 | 3.90 | 0.22 | 1.10 |
| SAMS | ||||
| Cross validation | 0.79 | 1.00 | 0.79 | 1.18 |
| Validation | 0.56 | 2.16 | 0.40 | 1.51 |
| MI+SAMS | ||||
| Cross validation | 0.92 | 0.50 | 0.92 | 0.81 |
| Validation | 0.84 | 0.54 | 0.81 | 1.14 |
Publisher’s Note: MDPI stays neutral with regard to jurisdictional claims in published maps and institutional affiliations. |
© 2022 by the authors. Licensee MDPI, Basel, Switzerland. This article is an open access article distributed under the terms and conditions of the Creative Commons Attribution (CC BY) license (https://creativecommons.org/licenses/by/4.0/).
Share and Cite
Lytou, A.E.; Tsakanikas, P.; Lymperi, D.; Nychas, G.-J.E. Rapid Assessment of Microbial Quality in Edible Seaweeds Using Sensor Techniques Based on Spectroscopy, Imaging Analysis and Sensors Mimicking Human Senses. Sensors 2022, 22, 7018. https://doi.org/10.3390/s22187018
Lytou AE, Tsakanikas P, Lymperi D, Nychas G-JE. Rapid Assessment of Microbial Quality in Edible Seaweeds Using Sensor Techniques Based on Spectroscopy, Imaging Analysis and Sensors Mimicking Human Senses. Sensors. 2022; 22(18):7018. https://doi.org/10.3390/s22187018
Chicago/Turabian StyleLytou, Anastasia E., Panagiotis Tsakanikas, Dimitra Lymperi, and George-John E. Nychas. 2022. "Rapid Assessment of Microbial Quality in Edible Seaweeds Using Sensor Techniques Based on Spectroscopy, Imaging Analysis and Sensors Mimicking Human Senses" Sensors 22, no. 18: 7018. https://doi.org/10.3390/s22187018
APA StyleLytou, A. E., Tsakanikas, P., Lymperi, D., & Nychas, G.-J. E. (2022). Rapid Assessment of Microbial Quality in Edible Seaweeds Using Sensor Techniques Based on Spectroscopy, Imaging Analysis and Sensors Mimicking Human Senses. Sensors, 22(18), 7018. https://doi.org/10.3390/s22187018

