Biosensors for Klebsiella pneumoniae with Molecularly Imprinted Polymer (MIP) Technique
Abstract
:1. Introduction
2. Materials and Methods
2.1. K. pneumoniae Culturing and Growth Conditions
2.2. K. pneumoniae Fixation for Imprinting on the Electrode and Scanning Electron Microscope (SEM) Sample Preparation
2.3. Estimating Number of Imprinted K. pneumoniae Cells
2.4. Polymers Synthesis for Bacterial Sample Detection
2.5. Fabrication of Screen-Printed Electrode (SPE)
2.6. Electrochemical Characterization
3. Results
3.1. SEM Images of K. pneumoniae MIPs on the SPE Electrode
3.2. Polymers Synthesis and Selectivity for K. pneumoniae Detection
3.3. Cyclic Voltammogram in Each Condition of Monomers on Carbon Electrode
3.4. Study on Type of Electrode: Gold and Carbon Electrode
3.5. Specificity Test
4. Discussion
- (i).
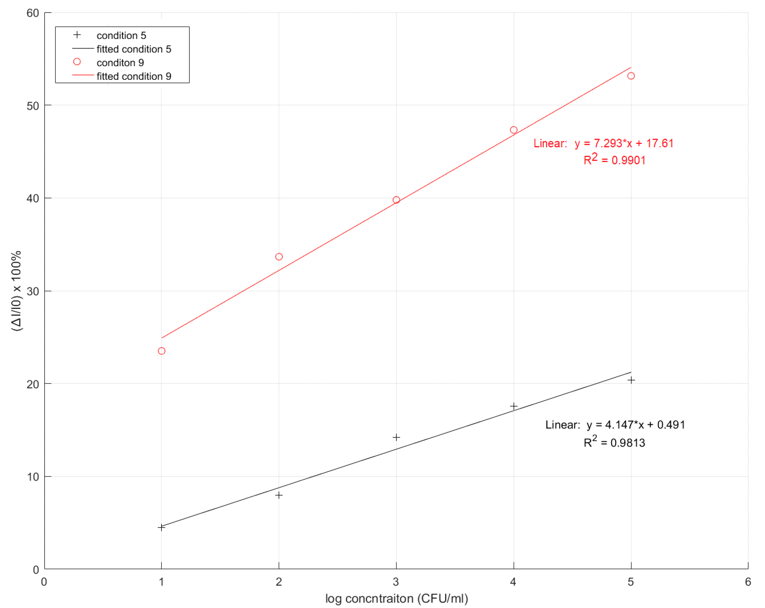
- In the research, various ratios of three functional monomers, constituting the polymer—namely MAM, AAM, and NVP—were evaluated for optimization, and the results demonstrated that the combination of the three monomers at a ratio of 2:1:1 (condition 9) gave the best linearity performance in K. pneumoniae detection.
- (ii).
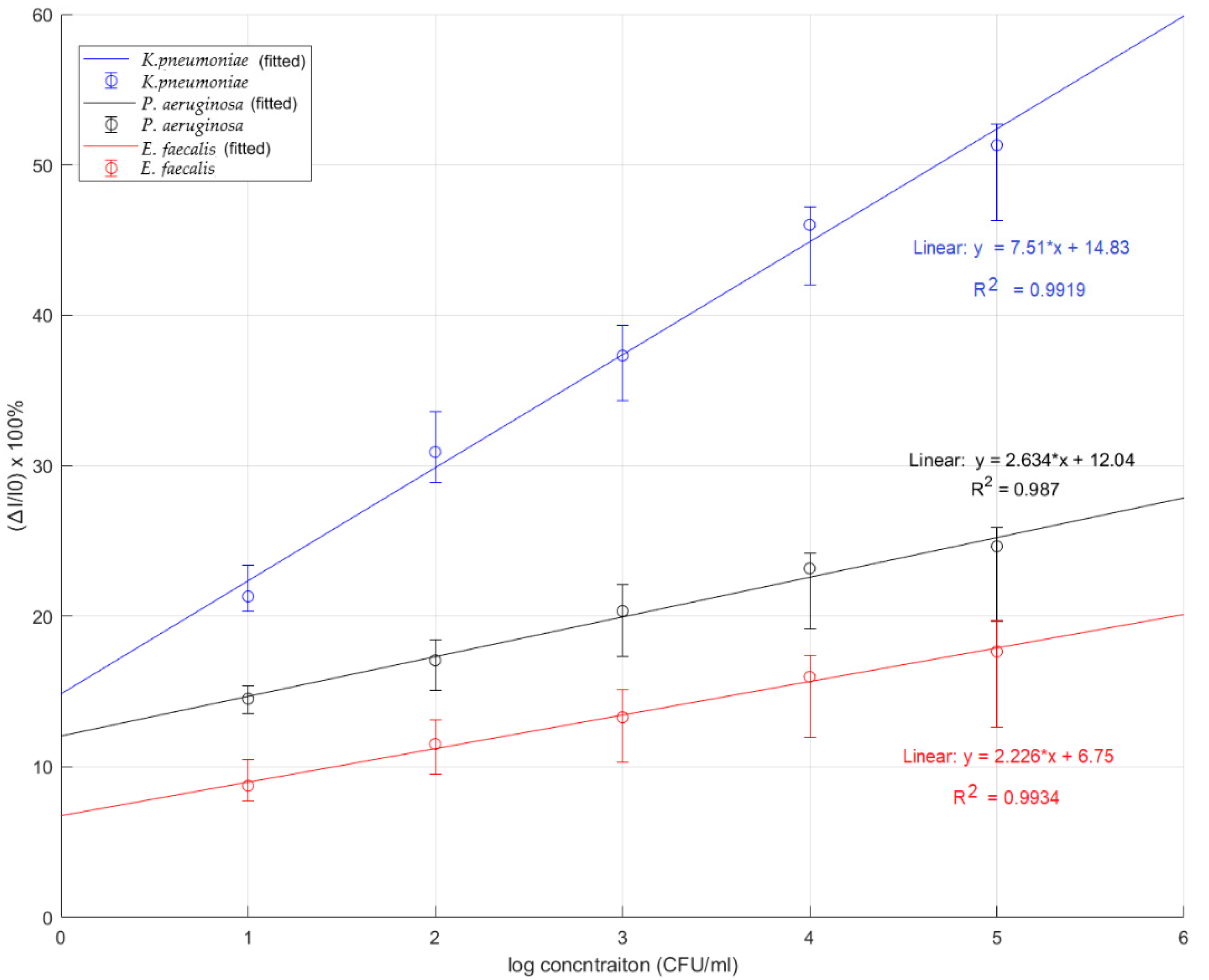
- Testing on the gold electrode provides an effective performance for MIP sensor for K. pneumoniae with high sensitivity calculated by slope of linearity equation of 7.51 (% relative current/log concentration). For the reproducibility of this sensor, it can give approximately 5% of an error bar in the linearity range of log concentration levels.
- (iii).
- To demonstrate the specificity of our MIP-based K. pneumoniae sensor, we tested it with E. faecalis and P. aeruginosa, which are found in most environments. The sensitivity of the MIP-based K. pneumoniae biosensor with the gold electrode was the highest at a value 7.51 (% relative current/log concentration) compared with the MIP sensor applied with P. aeruginosa and E. faecalis. The sensitivity values of the MIP sensor applied with P. aeruginosa and E. faecalis were 2.634 and 2.226 (% relative current/log concentration), respectively.
- (iv).
- The experimental results show that the MIP-based K. pneumoniae sensor provides not only a linear response but also high specificity. Our optimal choice for the best linearity was obtained with an MAM:AAM:NVP ratio of 2:1:1 in the gold electrode MIP sensor with an R2 value of 0.9919 and best sensitivity of 7.51 (% relative current/log concentration). The LOD for K. pneumoniae was found to be approximately 10 CFU/mL in a practice experiment and was found to be 0.012 CFU/mL by calculation, which was superior to [41] where the LOD was reported to be 1.352 CFU/mL. For the LOQ of our MIP sensor, it achieved 1.61 CFU/mL.
5. Conclusions
Author Contributions
Funding
Institutional Review Board Statement
Informed Consent Statement
Conflicts of Interest
References
- Haque, M.; Sartelli, M.; McKimm, J.; Abu Bakar, M. Health care-associated infections—An overview. Infect. Drug Resist. 2018, 11, 2321–2333. [Google Scholar] [CrossRef] [PubMed] [Green Version]
- Vilar-Compte, D.; Camacho-Ortiz, A.; Ponce-de-León, S. Infection Control in Limited Resources Countries: Challenges and Priorities. Curr. Infect. Dis. Rep. 2017, 19, 20. [Google Scholar] [CrossRef] [PubMed]
- Khan, H.A.; Baig, F.K.; Mehboob, R. Nosocomial infections: Epidemiology, prevention, control and surveillance. Asian Pac. J. Trop. Biomed. 2017, 7, 478–482. [Google Scholar] [CrossRef]
- Boev, C.; Kiss, E. Hospital-Acquired Infections: Current Trends and Prevention. Crit. Care Nurs. Clin. N. Am. 2017, 29, 51–65. [Google Scholar] [CrossRef] [PubMed]
- Donkor, E.S. Nosocomial Pathogens: An In-Depth Analysis of the Vectorial Potential of Cockroaches. Trop Med. Infect. Dis. 2019, 4, 14. [Google Scholar] [CrossRef] [PubMed] [Green Version]
- Huynh, D.T.N.; Kim, A.-Y.; Kim, Y.-R. Identification of Pathogenic Factors in Klebsiella pneumoniae Using Impedimetric Sensor Equipped with Biomimetic Surfaces. Sens. Actuators B Chem. 2017, 17, 1406. [Google Scholar] [CrossRef] [PubMed]
- Ssekitoleko, R.T.; Oshabaheebwa, S.; Munabi, I.G.; Tusabe, M.S.; Namayega, C.; Ngabirano, B.A.; Matovu, B.; Mugaga, J.; Reichert, W.M.; Joloba, M.L. The role of medical equipment in the spread of nosocomial infections: A cross-sectional study in four tertiary public health facilities in Uganda. BMC Public Health 2020, 20, 1561. [Google Scholar] [CrossRef] [PubMed]
- Podschun, R.; Ullmann, U. Klebsiella spp. as nosocomial pathogens: Epidemiology, taxonomy, typing methods, and pathogenicity factors. Clin. Microbiol. Rev. 1998, 11, 589–603. [Google Scholar] [CrossRef] [Green Version]
- Lenchenko, E.; Blumenkrants, D.; Sachivkina, N.; Shadrova, N.; Ibragimova, A. Morphological and adhesive properties of Klebsiella pneumoniae biofilms. Vet. World 2020, 13, 197–200. [Google Scholar] [CrossRef] [Green Version]
- Sawano, T.; Tsubokura, M.; Leppold, C.; Ozaki, A.; Fujioka, S.; Nemoto, T.; Kato, S.; Oikawa, T.; Kanazawa, Y. Klebsiella pneumoniae sepsis deteriorated by uncontrolled underlying disease in a decontamination worker in Fukushima, Japan. J. Occup Health 2016, 58, 320–322. [Google Scholar] [CrossRef] [PubMed] [Green Version]
- Farver, C.F.; Zander, D.S. Bacterial Diseases. In Pulmonary Pathology, 2nd ed.; Elsevier: Amsterdam, The Netherlands, 2016; pp. 163–200. [Google Scholar]
- Cristea, O.M.; Avramescu, C.S.; Balasoiu, M.; Popescu, F.D.; Popescu, F.; Amzoiu, M.O. Urinary tract infection with Klebsiella pneumoniae in Patients with Chronic Kidney Disease. Curr. Health Sci. J. 2017, 43, 137–148. [Google Scholar] [PubMed]
- Xu, M.; Fu, Y.; Kong, H.; Chen, X.; Chen, Y.; Li, L.; Yang, Q. Bloodstream infections caused by Klebsiella pneumoniae: Prevalence of blaKPC, virulence factors and their impacts on clinical outcome. BMC Infect. Dis. 2018, 18, 358. [Google Scholar] [CrossRef] [PubMed] [Green Version]
- Zhao, Q.; Guo, L.; Wang, L.F.; Zhao, Q.; Shen, D.X. Prevalence and characteristics of surgical site hypervirulent Klebsiella pneumoniae isolates. J. Clin. Lab. Anal. 2020, 34, e23364. [Google Scholar] [CrossRef] [PubMed]
- Fang, C.T.; Chen, Y.C.; Chang, S.C.; Sau, W.Y.; Luh, K.T. Klebsiella pneumoniae meningitis: Timing of antimicrobial therapy and prognosis. QJM 2000, 93, 45–53. [Google Scholar] [CrossRef] [Green Version]
- Wang, Y.; Yan, W.; Wang, Y.; Xu, J.; Ye, C. Rapid, sensitive and reliable detection of Klebsiella pneumoniae by label-free multiple cross displacement amplification coupled with nanoparticles-based biosensor. J. Microbiol. Methods 2018, 149, 80–88. [Google Scholar] [CrossRef]
- Paczosa, M.K.; Mecsas, J. Klebsiella pneumoniae: Going on the Offense with a Strong Defense. Microbiol. Mol. Biol. Rev. 2016, 80, 629–661. [Google Scholar] [CrossRef] [Green Version]
- Nirwati, H.; Sinanjung, K.; Fahrunissa, F.; Wijaya, F.; Napitupulu, S.; Hati, V.P.; Hakim, M.S.; Meliala, A.; Aman, A.T.; Nuryastuti, T. Biofilm formation and antibiotic resistance of Klebsiella pneumoniae isolated from clinical samples in a tertiary care hospital, Klaten, Indonesia. BMC Proc. 2019, 13, 20. [Google Scholar] [CrossRef]
- Osman, E.A.; El-Amin, N.; Adrees, E.A.E.; Al-Hassan, L.; Mukhtar, M. Comparing conventional, biochemical and genotypic methods for accurate identification of Klebsiella pneumoniae in Sudan. Access Microbiol. 2020, 2, acmi000096. [Google Scholar] [CrossRef]
- Murdoch, D.R.; O’Brien, K.L.; Driscoll, A.J.; Karron, R.A.; Bhat, N.; The Pneumonia Methods Working Group; The PERCH Core Team. Laboratory methods for determining pneumonia etiology in children. Clin. Infect. Dis. 2012, 54, 146–152. [Google Scholar] [CrossRef] [Green Version]
- Ahmed, A.; Rushworth, J.V.; Hirst, N.A.; Millner, P.A. Biosensors for whole-cell bacterial detection. Clin. Microbiol. Rev. 2014, 27, 631–646. [Google Scholar] [CrossRef] [Green Version]
- Choudhury, S. Chapter 12—Molecular tools for the detection of waterborne pathogens. In Waterborne Pathogens; Butterworth-Heinemann: Oxford, UK, 2020; pp. 219–235. [Google Scholar]
- Stetter, J.; Penrose, W.; Yao, S. Sensors, Chemical Sensors, Electrochemical Sensors, and ECS. J. Electrochem. Soc. 2003, 150, S11. [Google Scholar] [CrossRef]
- Grieshaber, D.; MacKenzie, R.; Voros, J.; Reimhult, E. Electrochemical Biosensors—Sensor Principles and Architectures. Sensors 2008, 8, 1400–1458. [Google Scholar] [CrossRef] [PubMed]
- da Silva, E.T.S.; Souto, D.E.P.; Barragan, J.T.C.; Giarola, J.D.F.; de Moraes, A.C.; Kubota, L.T. Electrochemical Biosensors in Point-of-Care Devices: Recent Advances and Future Trends. Spec. Issue Electrochem. Biosensing 2017, 4, 778–794. [Google Scholar] [CrossRef]
- Abbas Zaidi, S. Molecular imprinting: A useful approach for drug delivery. Mater. Sci. Energy Technol. 2020, 3, 72–77. [Google Scholar]
- Regal, P.; Díaz-Bao, M.; Barreiro, R.; Cepeda, A.; Fente, C. Application of molecularly imprinted polymers in food analysis: Clean-up and chromatographic improvements. Open Chem. 2012, 10, 766–784. [Google Scholar] [CrossRef]
- Saylan, Y.; Akgonullu, S.; Yavuz, H.; Unal, S.; Denizli, A. Molecularly Imprinted Polymer Based Sensors for Medical Applications. Sensors 2019, 19, 1279. [Google Scholar] [CrossRef] [Green Version]
- Cui, F.; Zhou, Z.; Zhou, H.S. Molecularly Imprinted Polymers and Surface Imprinted Polymers Based Electrochemical Biosensor for Infectious Diseases. Sensors 2020, 20, 996. [Google Scholar] [CrossRef] [Green Version]
- Xu, M.; Wang, R.; Li, Y. An electrochemical biosensor for rapid detection of E. coli O157:H7 with highly efficient bi-functional glucose oxidase-polydopamine nanocomposites and Prussian blue modified screen-printed interdigitated electrodes. Analyst 2016, 141, 5441–5449. [Google Scholar] [CrossRef] [Green Version]
- Tancharoen, C.; Sukjee, W.; Thepparit, C.; Jaimipuk, T.; Auewarakul, P.; Thitithanyanont, A.; Sangma, C. Electrochemical Biosensor Based on Surface Imprinting for Zika Virus Detection in Serum. ACS Sens. 2019, 4, 69–75. [Google Scholar] [CrossRef]
- Sellergren, B. Imprinted Polymers with Memory for Small Molecules, Proteins, or Crystals The author is grateful to Dr. Andrew Hall and Dr. Gunter Buchel for linguistic advice. Angew Chem. Int. Ed. Engl. 2000, 39, 1031–1037. [Google Scholar] [CrossRef]
- Saylan, Y.; Yilmaz, F.; Ozgur, E.; Derazshamshir, A.; Yavuz, H.; Denizli, A. Molecular Imprinting of Macromolecules for Sensor Applications. Sensors 2017, 17, 898. [Google Scholar] [CrossRef] [PubMed]
- Janiak, D.S.; Kofinas, P. Molecular imprinting of peptides and proteins in aqueous media. Anal. Bioanal. Chem. 2007, 389, 399–404. [Google Scholar] [CrossRef] [PubMed]
- Ansell, R.J.; Ramstrom, O.; Mosbach, K. Towards artificial antibodies prepared by molecular imprinting. Clin. Chem 1996, 42, 1506–1512. [Google Scholar] [CrossRef] [PubMed] [Green Version]
- Turner, N.W.; Jeans, C.W.; Brain, K.R.; Allender, C.J.; Hlady, V.; Britt, D.W. From 3D to 2D: A review of the molecular imprinting of proteins. Biotechnol. Prog. 2006, 22, 1474–1489. [Google Scholar] [CrossRef] [PubMed]
- Bole, A.L.; Manesiotis, P. Advanced Materials for the Recognition and Capture of Whole Cells and Microorganisms. Adv. Mater. 2016, 28, 5349–5366. [Google Scholar] [CrossRef] [PubMed]
- Li, R.; Feng, Y.; Pan, G.; Liu, L. Advances in Molecularly Imprinting Technology for Bioanalytical Applications. Sensors 2019, 19, 177. [Google Scholar] [CrossRef] [Green Version]
- El-Schich, Z.; Zhang, Y.; Feith, M.; Beyer, S.; Sternbaek, L.; Ohlsson, L.; Stollenwerk, M.; Wingren, A.G. Molecularly imprinted polymers in biological applications. Biotechniques 2020, 69, 406–419. [Google Scholar] [CrossRef]
- Vasapollo, G.; Sole, R.D.; Mergola, L.; Lazzoi, M.R.; Scardino, A.; Scorrano, S.; Mele, G. Molecularly imprinted polymers: Present and future prospective. Int. J. Mol. Sci. 2011, 12, 5908–5945. [Google Scholar] [CrossRef] [Green Version]
- Sharma, R.; Lakshmi, G.B.V.S.; Kumar, A.; Solanki, P. Polypyrrole Based Molecularly Imprinted Polymer Platform for Klebsiella pneumonia Detection. ECS Sens. Plus 2022, 1, 010603. [Google Scholar] [CrossRef]
- Sukjee, W.; Thitithanyanont, A.; Manopwisedjaroen, S.; Seetaha, S.; Thepparit, C.; Sangma, C. Virus MIP-composites for SARS-CoV-2 detection in the aquatic environment. Mater. Lett. 2022, 315, 131973. [Google Scholar] [CrossRef]
- Türkmen, D.; Yılmaz, T.; Bakhshpour, M.; Denizli, A. An Alternative Approach for Bacterial Growth Control: Pseudomonas spp. Imprinted Polymer-Based Surface Plasmon Resonance Sensor. IEEE Sens. J. 2022, 22, 3001–3008. [Google Scholar] [CrossRef]
- Ramanavicius, S.; Morkvenaite-Vilkonciene, I.; Samukaite-Bubniene, U.; Ratautaite, V.; Plikusiene, I.; Viter, R.; Ramanavicius, A. Electrochemically Deposited Molecularly Imprinted Polymer-Based Sensors. Sensors 2022, 22, 1282. [Google Scholar] [CrossRef] [PubMed]
- Ramanavicius, S.; Jagminas, A.; Ramanavicius, A. Advances in Molecularly Imprinted Polymers Based Affinity Sensors (Review). Polymers 2021, 13, 974. [Google Scholar] [CrossRef] [PubMed]
- Idil, N.; Mattiasson, B. Imprinting of Microorganisms for Biosensor Applications. Sensors 2017, 17, 708. [Google Scholar] [CrossRef] [Green Version]
- Jamalipour Soufi, G.; Iravani, S.; Varma, R.S. Molecularly imprinted polymers for the detection of viruses: Challenges and opportunities. Analyst 2021, 146, 3087–3100. [Google Scholar] [CrossRef]
- Fahmy Taha, M.H.; Ashraf, H.; Caesarendra, W. A Brief Description of Cyclic Voltammetry Transducer-Based Non-Enzymatic Glucose Biosensor Using Synthesized Graphene Electrodes. Appl. Syst. Innov. 2020, 3, 32. [Google Scholar] [CrossRef]
- Liu, B.Y.; Zhang, G.M.; Li, X.L.; Chen, H. Effect of glutaraldehyde fixation on bacterial cells observed by atomic force microscopy. Scanning 2012, 34, 6–11. [Google Scholar] [CrossRef]
- Smart, A.A.; Crew, A.; Pemberton, R.; Hughes, G.; Doran, O.; Hart, J.P. Screen-printed carbon-based biosensors and their applications in agri-food safety. TrAC Trends Anal. Chem. 2020, 127, 115898. [Google Scholar] [CrossRef]







| Condition | Ratio (n:n:n) | Methacrylamide (MAM) (mg) | Acrylamide (AAM) (mg) | N-Vinylpyrrolidone (NVP) (µL) |
|---|---|---|---|---|
| 1 | 2:3:1 | 17 | 21.3 | 10.7 |
| 2 | 4:2:1 | 34 | 14.2 | 10.7 |
| 3 | 2:5:1 | 17 | 35.5 | 10.7 |
| 4 | 2:7:1 | 17 | 49.7 | 10.7 |
| 5 | 2:2:1 | 17 | 14.2 | 10.7 |
| 6 | 1:1:1 | 8.5 | 7.1 | 10.7 |
| 7 | 1:2:1 | 8.5 | 14.2 | 10.7 |
| 8 | 1:4:1 | 8.5 | 28.4 | 10.7 |
| 9 | 2:1:1 | 17 | 7.1 | 10.7 |
| 10 | 4:1:1 | 34 | 7.1 | 10.7 |
| Record | Bacteria Sample | Average Zeta Potential (mV) |
|---|---|---|
| 1 | K. pneumoniae | −10.6 |
| 2 | P. aeruginosa | −10.1 |
| 3 | E. faecalis | −16.2 |
| Condition | Concentration | Current (µA) | ∆I (µA) | (∆I/I0) × 100% |
|---|---|---|---|---|
| Condition 1 (MAM:AAM:NVP) (2:3:1) | Blank | 52.24 | - | - |
| 10 CFU/mL | 51.73 | 0.51 | 0.97 | |
| 102 CFU/mL | 51.51 | 0.73 | 1.40 | |
| 103 CFU/mL | 52.75 | −0.52 | −0.99 | |
| 104 CFU/mL | 53.95 | −1.71 | −3.27 | |
| 105 CFU/mL | 52.83 | −0.59 | −1.13 | |
| Condition 2 (MAM:AAM:NVP) (4:2:1) | Blank | 45.56 | - | - |
| 10 CFU/mL | 43.31 | 2.25 | 4.94 | |
| 102 CFU/mL | 43.25 | 2.31 | 5.08 | |
| 103 CFU/mL | 43.22 | 2.35 | 5.15 | |
| 104 CFU/mL | 44.22 | 1.34 | 2.95 | |
| 105 CFU/mL | 43.92 | 1.65 | 3.61 | |
| Condition 3 (MAM:AAM:NVP) (2:5:1) | Blank | 54.81 | - | - |
| 10 CFU/mL | 53.42 | 1.39 | 2.54 | |
| 102 CFU/mL | 52.51 | 2.30 | 4.20 | |
| 103 CFU/mL | 53.52 | 1.29 | 2.36 | |
| 104 CFU/mL | 55.49 | −0.67 | −1.23 | |
| 105 CFU/mL | 53.56 | 1.26 | 2.29 | |
| Condition 4 (MAM:AAM:NVP) (2:7:1) | Blank | 53.87 | - | - |
| 10 CFU/mL | 52.90 | 0.97 | 1.80 | |
| 102 CFU/mL | 51.70 | 2.17 | 4.03 | |
| 103 CFU/mL | 52.62 | 1.25 | 2.32 | |
| 104 CFU/mL | 54.43 | −0.56 | −1.03 | |
| 105 CFU/mL | 52.79 | 1.09 | 2.01 | |
| Condition 5 (MAM:AAM:NVP) (2:2:1) | Blank | 19.04 | - | - |
| 10 CFU/mL | 17.96 | 1.08 | 5.66 | |
| 102 CFU/mL | 17.94 | 1.09 | 5.74 | |
| 103 CFU/mL | 17.96 | 1.08 | 5.65 | |
| 104 CFU/mL | 18.25 | 0.78 | 4.12 | |
| 105 CFU/mL | 17.48 | 1.56 | 8.17 | |
| Condition 6 (MAM:AAM:NVP) (1:1:1) | Blank | 49.06 | - | - |
| 10 CFU/mL | 48.63 | 0.42 | 0.87 | |
| 102 CFU/mL | 49.22 | −0.16 | −0.33 | |
| 103 CFU/mL | 50.67 | −1.62 | −3.30 | |
| 104 CFU/mL | 50.60 | −1.54 | −3.15 | |
| 105 CFU/mL | 50.60 | −1.54 | −3.14 | |
| Condition 7 (MAM:AAM:NVP) (1:2:1) | Blank | 46.26 | - | - |
| 10 CFU/mL | 44.97 | 1.29 | 2.79 | |
| 102 CFU/mL | 45.56 | 0.70 | 1.52 | |
| 103 CFU/mL | 46.52 | −0.26 | −0.57 | |
| 104 CFU/mL | 45.96 | 0.30 | 0.65 | |
| 105 CFU/mL | 46.54 | −0.27 | −0.59 | |
| Condition 8 (MAM:AAM:NVP) (1:4:1) | Blank | 49.94 | - | - |
| 10 CFU/mL | 46.98 | 2.96 | 5.92 | |
| 102 CFU/mL | 47.62 | 2.33 | 4.66 | |
| 103 CFU/mL | 48.05 | 1.90 | 3.80 | |
| 104 CFU/mL | 48.44 | 1.50 | 3.01 | |
| 105 CFU/mL | 48.99 | 0.95 | 1.90 | |
| Condition 9 (MAM:AAM:NVP) (2:1:1) | Blank | 52.25 | - | - |
| 10 CFU/mL | 50.67 | 1.58 | 3.02 | |
| 102 CFU/mL | 50.10 | 2.15 | 4.11 | |
| 103 CFU/mL | 49.67 | 2.58 | 4.94 | |
| 104 CFU/mL | 48.48 | 3.77 | 7.22 | |
| 105 CFU/mL | 46.24 | 6.01 | 11.50 | |
| Condition 10 (MAM:AAM:NVP) (4:1:1) | Blank | 49.88 | - | - |
| 10 CFU/mL | 46.87 | 3.01 | 6.03 | |
| 102 CFU/mL | 45.64 | 4.24 | 8.50 | |
| 103 CFU/mL | 46.77 | 3.11 | 6.23 | |
| 104 CFU/mL | 47.90 | 1.98 | 3.97 | |
| 105 CFU/mL | 46.86 | 3.02 | 6.05 |
| Condition | Concentration | Current (µA) | ∆I (µA) | (∆I/I0) × 100% |
|---|---|---|---|---|
| Condition 5 (MAM:AAM:NVP) (2:2:1) | Blank | 65.14 | - | - |
| 10 CFU/mL | 62.23 | 2.91 | 4.47 | |
| 102 CFU/mL | 59.95 | 5.20 | 7.98 | |
| 103 CFU/mL | 55.88 | 9.26 | 14.22 | |
| 104 CFU/mL | 53.69 | 11.46 | 17.59 | |
| 105 CFU/mL | 51.85 | 13.29 | 20.40 | |
| Condition 9 (MAM:AAM:NVP) (2:1:1) | Blank | 52.48 | - | - |
| 10 CFU/mL | 40.14 | 12.34 | 23.51 | |
| 102 CFU/mL | 34.81 | 17.67 | 33.66 | |
| 103 CFU/mL | 31.60 | 20.88 | 39.78 | |
| 104 CFU/mL | 27.64 | 24.83 | 47.32 | |
| 105 CFU/mL | 24.58 | 27.89 | 53.15 |
Publisher’s Note: MDPI stays neutral with regard to jurisdictional claims in published maps and institutional affiliations. |
© 2022 by the authors. Licensee MDPI, Basel, Switzerland. This article is an open access article distributed under the terms and conditions of the Creative Commons Attribution (CC BY) license (https://creativecommons.org/licenses/by/4.0/).
Share and Cite
Pintavirooj, C.; Vongmanee, N.; Sukjee, W.; Sangma, C.; Visitsattapongse, S. Biosensors for Klebsiella pneumoniae with Molecularly Imprinted Polymer (MIP) Technique. Sensors 2022, 22, 4638. https://doi.org/10.3390/s22124638
Pintavirooj C, Vongmanee N, Sukjee W, Sangma C, Visitsattapongse S. Biosensors for Klebsiella pneumoniae with Molecularly Imprinted Polymer (MIP) Technique. Sensors. 2022; 22(12):4638. https://doi.org/10.3390/s22124638
Chicago/Turabian StylePintavirooj, Chuchart, Naphatsawan Vongmanee, Wannisa Sukjee, Chak Sangma, and Sarinporn Visitsattapongse. 2022. "Biosensors for Klebsiella pneumoniae with Molecularly Imprinted Polymer (MIP) Technique" Sensors 22, no. 12: 4638. https://doi.org/10.3390/s22124638
APA StylePintavirooj, C., Vongmanee, N., Sukjee, W., Sangma, C., & Visitsattapongse, S. (2022). Biosensors for Klebsiella pneumoniae with Molecularly Imprinted Polymer (MIP) Technique. Sensors, 22(12), 4638. https://doi.org/10.3390/s22124638

