Sign in to use this feature.

Years

Between: -

Subjects

remove_circle_outline
remove_circle_outline
remove_circle_outline
remove_circle_outline
remove_circle_outline
remove_circle_outline
remove_circle_outline
remove_circle_outline
remove_circle_outline

Journals

remove_circle_outline
remove_circle_outline
remove_circle_outline
remove_circle_outline
remove_circle_outline
remove_circle_outline
remove_circle_outline
remove_circle_outline
remove_circle_outline
remove_circle_outline
remove_circle_outline
remove_circle_outline
remove_circle_outline
remove_circle_outline
remove_circle_outline
remove_circle_outline
remove_circle_outline
remove_circle_outline

Article Types

Countries / Regions

remove_circle_outline
remove_circle_outline
remove_circle_outline
remove_circle_outline
remove_circle_outline
remove_circle_outline

Search Results (1,276)

Search Parameters:
Keywords = nosocomial infection

Order results
Result details
Results per page
Select all
Export citation of selected articles as:
16 pages, 1522 KB  
Article
Evaluating HIV-1 Transmitted Drug Resistance and Clustering in Newly Diagnosed Patients in Romania (2019–2022)
by Leontina Banica, Robert Hohan, Ionelia Nicolae, Raluca Patrascu, Corina Casangiu, Simona Paraschiv, Voichita Elena Lazureanu, Valerica Bica Profir, Dimitrios Paraskevis and Dan Otelea
Viruses 2026, 18(1), 118; https://doi.org/10.3390/v18010118 - 15 Jan 2026
Viewed by 91
Abstract
The HIV epidemic in Romania started in the late eighties with a large cohort of children nosocomially infected with subtype F1 strains, in parallel with sexual transmission. The purpose of the present study was to investigate the transmitted drug resistance (TDR), subtype distribution, [...] Read more.
The HIV epidemic in Romania started in the late eighties with a large cohort of children nosocomially infected with subtype F1 strains, in parallel with sexual transmission. The purpose of the present study was to investigate the transmitted drug resistance (TDR), subtype distribution, and transmission clusters among persons diagnosed with HIV between 2019 and 2022 in Romania. The prototype of a person recently diagnosed with HIV in Romania is male, 20–50 years old, a late presenter, infected with F1, B, or A subtype. The rate of TDR varied over time, from 5% in 2019 to 15% in 2022. TDR affected mainly the first generation of NNRTIs and the PI class. The rate of late presentation was almost 60%, with 35% of persons qualifying as very late presenters. Subtype F1 is still preponderant in Romania, whereas other subtypes (B, A) and recombinants account for a quarter of HIV-1 new cases. Several transmission networks were identified in the study population, two of them associated with TDR in subtypes F1 and A1. The largest cluster consisted of 26 sequences, originating from Western Romania and introduced around 2007. Molecular clock analysis indicated different origin time points for different clusters, with the most recent in subtypes A1 and B, and the oldest in subtype F1. In conclusion, the HIV-1 epidemic in Romania is currently driven by sexual transmission, with MSM contribution continuously rising in recent years; there are also increases in TDR and the circulation of HIV-1 strains other than F1 (subtype B, A, recombinants). Full article
(This article belongs to the Section Human Virology and Viral Diseases)
Show Figures

Figure 1

8 pages, 562 KB  
Case Report
“Hiding in Plain Sight”: A Retrospective Clinical and Microbiological Review of Vancomycin-Dependent Enterococci at a Tertiary Care Centre—A Case Report
by Ruchika Bagga, Johan Delport, Alice Kanyua and Kumudhavalli Kavanoor Sridhar
Microorganisms 2026, 14(1), 193; https://doi.org/10.3390/microorganisms14010193 - 15 Jan 2026
Viewed by 110
Abstract
Vancomycin-resistant Enterococci (VRE) are established nosocomial pathogens; however, vancomycin-dependent Enterococci (VDE) represent a rare and underrecognized phenomenon. These organisms paradoxically require vancomycin for growth due to mutations in cell wall precursor synthesis. Limited awareness and significant diagnostic challenges associated with VDE can lead [...] Read more.
Vancomycin-resistant Enterococci (VRE) are established nosocomial pathogens; however, vancomycin-dependent Enterococci (VDE) represent a rare and underrecognized phenomenon. These organisms paradoxically require vancomycin for growth due to mutations in cell wall precursor synthesis. Limited awareness and significant diagnostic challenges associated with VDE can lead to delayed recognition and treatment failure. We report a case of vancomycin-dependent Enterococcus faecium isolated from a liver transplant recipient receiving oral vancomycin prophylaxis for recurrent Clostridioides difficile infection. The isolate failed to grow on standard media but exhibited robust growth on vancomycin-supplemented agar, confirmed by vancomycin disc diffusion testing and PCR detection of the vanB gene. Additionally, we reviewed four further VDE cases identified over a two-year period in our tertiary care microbiology laboratory. All patients originated from complex care settings, had significant comorbidities, and had received prolonged glycopeptide therapy. We summarize the clinical features, diagnostic findings, and microbiological challenges encountered across this case series. This series documents the first reported Canadian case of VDE and highlights the critical need for clinical vigilance and diagnostic suspicion in high-risk patients with prior enterococcal colonization and ongoing glycopeptide exposure. Laboratory findings such as failure to grow on blood agar coupled with growth around vancomycin discs should prompt specific evaluation for VDE. Our findings reinforce the necessity for targeted antimicrobial stewardship and infection prevention strategies and underscore the remarkable evolutionary adaptability of Enterococci under sustained antimicrobial pressure. Full article
(This article belongs to the Special Issue Bacterial Infections in Clinical Settings, 2nd Edition)
Show Figures

Figure 1

25 pages, 877 KB  
Review
Treating Extensively Drug-Resistant Acinetobacter baumannii: Considerations for Host Characteristics and Type of Infections
by Anastasia Geladari, Dimitrios Kouroupis, Kyriaki Vafeidou, Vasileios Liakos, Maria Magoudi, Anastasia-Izampella Papathanasiou, Elias Iosifidis, Emmanuel Roilides, Charalampos Antachopoulos and Athina Pyrpasopoulou
Pathogens 2026, 15(1), 81; https://doi.org/10.3390/pathogens15010081 - 12 Jan 2026
Viewed by 544
Abstract
Acinetobacter baumannii has been characterized by CDC, WHO and most National Healthcare Systems worldwide as a critical nosocomial pathogen, and classified as an ESKAPE (Enterococcus faecium, Staphylococcus aureus, Klebsiella pneumoniae, Acinetobacter baumannii, Pseudomonas aeruginosa, Enterobacter spp.) pathogen. [...] Read more.
Acinetobacter baumannii has been characterized by CDC, WHO and most National Healthcare Systems worldwide as a critical nosocomial pathogen, and classified as an ESKAPE (Enterococcus faecium, Staphylococcus aureus, Klebsiella pneumoniae, Acinetobacter baumannii, Pseudomonas aeruginosa, Enterobacter spp.) pathogen. Mortality of invasive infections due to A. baumannii exceeds 40%. To highlight its impact on public health, ECDC has organized a special project on national lab co-ordination to accurately detect and report carbapenem-resistant strains, to identify epidemiological factors for infection (or colonization) with carbapenem-resistant A. baumanii at clonal and sub-genomic level. This review aims to describe the history, epidemiology, and evolution of resistance of A. baumannii, and stress the caveats associated with the management of systemic infections. Available active antimicrobials and drugs in the pipeline are listed, and available clinical evidence on their pharmacokinetics and efficacy in various types of infections are described. Clinician’s choice of treatment (drug, and monotherapy vs. combination treatment) depends on the patients’ profile, site of infection and antimicrobial resistance profile. Emphasis is laid on specific patient subpopulations, whose management is discussed. Full article
Show Figures

Figure 1

14 pages, 1746 KB  
Article
Resistance Patterns in Gram-Negative Bacilli Isolated in a Secondary Care Hospital: A Therapeutic Challenge in Western Mexico
by César Ricardo Cortez-Álvarez, Benjamín de Jesús Gutiérrez-García, Pablo Ulises Romero-Mendoza, María del Rosario Cabral-Medina, Monserratt Abud-Gonzalez, Susana Olivia Guerra-Martínez, Livier Amalia Gutiérrez-Morales, María Luisa Muñoz-Almaguer, Santiago José Guevara-Martínez, Daniel Osmar Suárez-Rico, Marco Pérez-Cisneros and Martin Zermeño-Ruiz
Microbiol. Res. 2026, 17(1), 17; https://doi.org/10.3390/microbiolres17010017 - 10 Jan 2026
Viewed by 139
Abstract
Antimicrobial resistance (AMR) continues to represent a significant global public health concern. Gram-negative bacilli (GNB) are the primary causative agents of severe nosocomial infections and possess a notable capacity to develop resistance mechanisms that restrict therapeutic options. The objective of this study was [...] Read more.
Antimicrobial resistance (AMR) continues to represent a significant global public health concern. Gram-negative bacilli (GNB) are the primary causative agents of severe nosocomial infections and possess a notable capacity to develop resistance mechanisms that restrict therapeutic options. The objective of this study was to characterize the antimicrobial susceptibility profiles of GNB isolated at a secondary-level hospital in Guadalajara, Mexico, with the aim of identifying predominant resistance patterns and the most effective therapeutic alternatives. A descriptive, retrospective, cross-sectional study was conducted using clinical isolates of Acinetobacter spp., Pseudomonas spp., Escherichia coli, Klebsiella spp., Morganella morganii, Proteus spp., and Enterobacter spp. collected during 2024. The identification and susceptibility testing were carried out using the VITEK® 2 automated system, and the results were interpreted in accordance with CLSI guidelines. High resistance rates were observed in Acinetobacter spp. and Pseudomonas spp., particularly to carbapenems (>50% and >40%, respectively). Escherichia coli and Klebsiella spp. demonstrated resistance to third-generation cephalosporins and trimethoprim/sulfamethoxazole, exhibiting high susceptibility to amikacin and carbapenems (>90%). New-generation β-lactam/β-lactamase inhibitor combinations, such as ceftazidime/avibactam and ceftolozane/tazobactam, have demonstrated high efficacy against resistant strains. Overall, GNB isolates in this secondary-level hospital demonstrated elevated resistance levels, particularly to β-lactams and carbapenems, which pose a significant therapeutic challenge. Nevertheless, amikacin, carbapenems, and new-generation β-lactams persist as valuable therapeutic options. In order to contain the spread of multidrug-resistant organisms, it is imperative to strengthen local surveillance, optimize antibiotic stewardship, and reinforce infection control measures. Full article
Show Figures

Figure 1

25 pages, 1670 KB  
Review
Staphylococcus spp. Epidemiology, Virulence, Genomic Adaptability and Coinfection in Broiler Chickens
by Delvin O. Combar, Sung J. Yu, Emmanuel Asare, Thi T. H. Van, Yadav S. Bajagai and Dragana Stanley
Animals 2026, 16(2), 208; https://doi.org/10.3390/ani16020208 - 9 Jan 2026
Viewed by 420
Abstract
Staphylococcus species are saprophytic, opportunistic, and nosocomial pathogens that frequently co-infect with other microorganisms, causing severe infections in birds. Some of the notable examples include bacterial chondronecrosis with osteomyelitis (BCO), cellulitis, dermatitis, and systemic infections. Understanding of how Staphylococcus spp. cause infections evading [...] Read more.
Staphylococcus species are saprophytic, opportunistic, and nosocomial pathogens that frequently co-infect with other microorganisms, causing severe infections in birds. Some of the notable examples include bacterial chondronecrosis with osteomyelitis (BCO), cellulitis, dermatitis, and systemic infections. Understanding of how Staphylococcus spp. cause infections evading the host immune system is crucial for helping farmers and veterinarians develop long-term solutions for poultry production system management. The aim of this review is to broaden the understanding of Staphylococcus spp. epidemiology, virulence, genomic adaptability and coinfection patterns. The peer-reviewed articles were obtained from various databases, including Google Scholar, Web of Science, and PubMed. The review primarily focused on papers published between 1999 and 2025. The review presents an opportunity to identify research gaps and apply this knowledge to develop innovative approaches to address staphylococcal infections in broiler chickens. Additionally, BCO is often attributed to coinfection with Staphylococcus species and other pathogens. Full article
(This article belongs to the Section Poultry)
Show Figures

Figure 1

28 pages, 746 KB  
Systematic Review
From Dormancy to Viability: The Resuscitation Processes of Viable but Non-Culturable Bacteria—A Systematic Review
by Prisca Tchato, Karine Marion-Sanchez, Talyssa Lebielle and Claude Olive
Microorganisms 2026, 14(1), 136; https://doi.org/10.3390/microorganisms14010136 - 7 Jan 2026
Viewed by 264
Abstract
Viable but non-culturable (VBNC) cells represent a reversible, metabolically active state that promotes the survival of bacteria under stressful conditions and their persistence in healthcare facilities and food industry. We conducted a systematic review following PRISMA 2020 guidelines to identify in vitro methodologies [...] Read more.
Viable but non-culturable (VBNC) cells represent a reversible, metabolically active state that promotes the survival of bacteria under stressful conditions and their persistence in healthcare facilities and food industry. We conducted a systematic review following PRISMA 2020 guidelines to identify in vitro methodologies for inducing and resuscitating VBNC Enterobacteriaceae and Pseudomonas aeruginosa, and to determine key influencing factors. Eligible studies reported in vitro resuscitation of these species. Searches were performed in MEDLINE (PubMed), Scopus, and Google Scholar up to July 2025. Two independent reviewers screened and extracted data. Exclusion criteria included absence of original experimental data, focus on other species, or lack of clear VBNC definition. Risk of bias was qualitatively assessed. Analyses were descriptive without meta-analysis. Of the 1041 records, 24 articles (27 studies) were included. Resuscitation protocols typically employed standard culture media with additives and moderate incubation temperatures, with most successful recoveries occurring after 24–48 h. P. aeruginosa generally required less supplementation than Enterobacteriaceae. Reported mechanisms involved metabolic reactivation, oxidative stress modulation, nutrient sensing, and ribosome reactivation. The limitations of our study include protocol heterogeneity, lack of standardization, and selective reporting. While simple resuscitation methods were often effective, tailoring conditions to species-specific ecological preferences appears critical. Standardized approaches of VBNC cells will improve detection, risk assessment, and infection control. Full article
(This article belongs to the Section Microbial Biotechnology)
Show Figures

Figure 1

13 pages, 540 KB  
Article
Healthcare-Associated Infections in Critically Ill COVID-19 Patients Across Evolving Pandemic Waves: A Retrospective ICU Study
by Nihan Altintepe Baskurt, Esra Akdas Tekin, Onur Okur and Namigar Turgut
Medicina 2026, 62(1), 118; https://doi.org/10.3390/medicina62010118 - 6 Jan 2026
Viewed by 127
Abstract
Background and Objectives: Healthcare-associated infections (HAIs) significantly increase morbidity and mortality in critically ill patients, and their burden became more pronounced during the COVID-19 pandemic. However, data describing the temporal evolution of HAIs, pathogen distribution, and associated risk factors across consecutive pandemic [...] Read more.
Background and Objectives: Healthcare-associated infections (HAIs) significantly increase morbidity and mortality in critically ill patients, and their burden became more pronounced during the COVID-19 pandemic. However, data describing the temporal evolution of HAIs, pathogen distribution, and associated risk factors across consecutive pandemic waves remain limited. This study aimed to characterize the epidemiology, microbiology, and outcomes of HAIs in COVID-19 intensive care units (ICU) patients and to identify clinical and laboratory predictors of mortality. Materials and Methods: This retrospective observational study included adult patients with RT-PCR–confirmed COVID-19 who developed at least one HAI ≥ 48 h after ICU admission between March 2020 and December 2020, encompassing the first three pandemic waves in Türkiye, in a tertiary-care ICU. Demographic, clinical, laboratory, and microbiological data were collected. Inflammatory markers and severity scores (SAPS-II, MCCI, and NLR) were analyzed. Receiver operating characteristic (ROC) curve analysis was used to determine optimal cut-off values for mortality prediction. Results: Among the 1656 ICU admissions, 145 patients (8.7%) developed HAIs; after exclusions, 136 patients were included in the final analysis. Bloodstream infections were the most frequent HAI (57%), followed by urinary tract infections (31%), ventilator-associated pneumonia (9%), and surgical site infections (1%). Klebsiella pneumoniae was the predominant pathogen, followed by Candida albicans and Acinetobacter baumannii. Multidrug-resistant organisms, including MRSA and VRE, showed variable distribution across pandemic periods. Overall in-hospital mortality was 74.3%. Non-survivors had significantly higher SAPS-II, MCCI, and NLR values. ROC analysis identified NLR > 38.8 and SAPS-II > 35.5 as mortality-predictive thresholds. Dynamic inflammatory marker patterns correlated with infection timing, and early peaks of CRP, WBC, and IL-6 were associated with worse outcomes. Conclusions: HAIs imposed a substantial clinical burden on critically ill COVID-19 patients, with high mortality driven predominantly by multidrug-resistant bloodstream infections. Severity indices and inflammation-based biomarkers demonstrated strong prognostic value. Temporal shifts in pathogen ecology across pandemic waves underscore the need for adaptive infection-prevention strategies, continuous microbiological surveillance, and strengthened antimicrobial stewardship in critical care settings. Full article
(This article belongs to the Section Epidemiology & Public Health)
Show Figures

Figure 1

15 pages, 1671 KB  
Article
Tapirira obtusa Bark as a Natural Agent for Inflammation Reduction and Infection Control in Orotracheal Tubes
by Soraia Salman, Josy Goldoni Lazarini, Daniel Saraiva Lopes, Tatiane Tiemi Macedo, Diego Romario-Silva, Maria Ligia Rodrigues Macedo, Pedro Luiz Rosalen, Rosemary Matias, Severino Matias de Alencar and Janaina de Cássia Orlandi Sardi
Hygiene 2026, 6(1), 1; https://doi.org/10.3390/hygiene6010001 - 5 Jan 2026
Viewed by 181
Abstract
Background: Tracheostomy procedures are associated with increased risk of nosocomial infections due to microbial colonization and biofilm formation on tube surfaces. These biofilms contribute to persistent infections and hinder clinical recovery. Plant-derived products have gained interest as alternative strategies for preventing device-associated infections. [...] Read more.
Background: Tracheostomy procedures are associated with increased risk of nosocomial infections due to microbial colonization and biofilm formation on tube surfaces. These biofilms contribute to persistent infections and hinder clinical recovery. Plant-derived products have gained interest as alternative strategies for preventing device-associated infections. Methods: This study evaluated the phytochemical composition and the antimicrobial, anti-adherent, antibiofilm, anti-inflammatory, antioxidant, and toxicity properties of Tapirira obtusa bark extract (TOBE). Antimicrobial activity was determined by minimum inhibitory concentrations (MICs). Biofilm formation and microbial viability were assessed in mono- and mixed-species biofilms. Anti-inflammatory effects were evaluated by NF-κB inhibition and TNF-α quantification. Antioxidant activity was measured using the DPPH assay. Phytochemical analysis identified major bioactive groups, and toxicity was tested in the Galleria mellonella model. Results: TOBE exhibited notable antimicrobial activity, with MIC values between 3.9 and 31.25 µg/mL. At 78 µg/mL, the extract significantly reduced biofilm biomass and microbial viability (p < 0.05). TOBE also downregulated NF-κB activation and decreased TNF-α levels. Antioxidant assays confirmed radical-scavenging capacity. Phytochemical screening revealed phenolics, flavonoids, and tannins, and toxicity results indicated a safe profile. Conclusion: TOBE effectively inhibits microbial growth and biofilm development on orotracheal tube surfaces while exhibiting anti-inflammatory and antioxidant properties without detectable toxicity. These findings support its potential as a plant-based adjunct for preventing tracheostomy-related infections and improving patient outcomes. Full article
Show Figures

Figure 1

13 pages, 843 KB  
Article
The Impact of Early Empirical Antibiotic Therapy on the Mortality of Bacteremia Patients with Klebsiella Infection: A Retrospective Cohort Study
by Alaa Atamna, Tanya Babich, Amar Nahhas, Anan Zreik, Abed Agbaria, Shahd Dahamsheh, Mouhammad Haj Yahya, Haim Ben-Zvi and Jihad Bishara
J. Clin. Med. 2026, 15(1), 337; https://doi.org/10.3390/jcm15010337 - 2 Jan 2026
Viewed by 225
Abstract
Background: Klebsiella species are a leading cause of Gram-negative bacteremia associated with nosocomial infections. They exhibit higher antimicrobial resistance compared to other Enterobacterales, emphasizing their role as a “sentinel organism”. While the impact of inappropriate empiric therapy has been studied, data specific [...] Read more.
Background: Klebsiella species are a leading cause of Gram-negative bacteremia associated with nosocomial infections. They exhibit higher antimicrobial resistance compared to other Enterobacterales, emphasizing their role as a “sentinel organism”. While the impact of inappropriate empiric therapy has been studied, data specific to Klebsiella bacteremia are limited due to small sample sizes. This study aims to provide high-resolution data on Klebsiella bacteremia and assess the impact of appropriate empirical therapy on clinical outcomes. Methods: We conducted a retrospective study of patients with Klebsiella bacteremia hospitalized at Beilinson Hospital between 2012 and 2022. Patients were categorized into two groups based on the appropriateness of empiric therapy. The primary outcome was 30-day all-cause mortality; subgroup analyses evaluated mortality in ESBL bacteremia treated with either carbapenems or piperacillin-tazobactam, and carbapenems versus aminoglycosides. Propensity score weighting and inverse probability treatment-weighted models were used to adjust for confounding. Results: Among 1132 patients, 79% received appropriate empirical therapy. This therapy was associated with reduced 30-day mortality (OR = 0.59, 95% CI: 0.46–0.76) and a shorter hospital stay (median 7 vs. 11 days, p < 0.001). Other significant risk factors for mortality included a higher Charlson comorbidity score (OR = 1.06), assistance with ADL (OR = 2.16), prior hospitalization (OR = 1.31), and a higher SOFA score (OR = 1.32). No significant mortality differences were observed in ESBL subgroups treated with carbapenems versus piperacillin-tazobactam (p = 0.2) or carbapenems versus aminoglycosides (p = 0.9). Conclusions: Early appropriate empirical therapy significantly reduces 30-day mortality in Klebsiella bacteremia. These findings highlight the importance of timely, appropriate empirical therapy and suggest choosing less broad-spectrum therapy. However, the lack of molecular data on resistance mechanisms limits the ability to assess strain-specific outcomes and may affect generalizability. Despite this, the study offers valuable insights for optimizing empirical therapy and advancing antimicrobial stewardship in the era of rising resistance. Full article
Show Figures

Figure 1

20 pages, 1364 KB  
Article
What Drives Mortality in S. maltophilia Bloodstream Infections? An Outcome-Focused Cohort Study of Treatment Strategies and Resistance Profiles
by Emanuela Zappulo, Nicola Schiano Moriello, Rossella Paolillo, Giulia Zumbo, Biagio Pinchera, Maria Rosaria Catania and Ivan Gentile
Microorganisms 2026, 14(1), 77; https://doi.org/10.3390/microorganisms14010077 - 29 Dec 2025
Viewed by 213
Abstract
Stenotrophomonas maltophilia bloodstream infection (SM-BSI) carries high mortality and limited therapeutic options. We conducted a single-center retrospective cohort of adults with first SM-BSI (2018–2024) to describe treatment patterns and identify factors associated with survival. Demographic, clinical, and microbiological data were extracted and analyzed. [...] Read more.
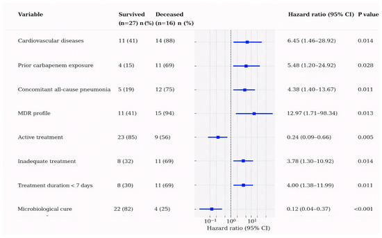
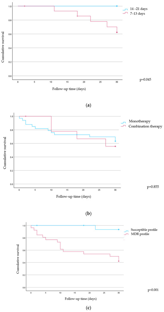
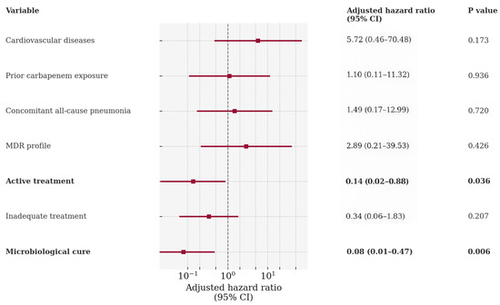
Stenotrophomonas maltophilia bloodstream infection (SM-BSI) carries high mortality and limited therapeutic options. We conducted a single-center retrospective cohort of adults with first SM-BSI (2018–2024) to describe treatment patterns and identify factors associated with survival. Demographic, clinical, and microbiological data were extracted and analyzed. Forty-three patients were included (median age: 63 years; 61% male). Appropriate antimicrobial therapy was given to 74%; trimethoprim–sulfamethoxazole-based regimens were used in 61%; and combination therapy in 23%. The median time from BSI to treatment initiation was 4 days (IQR: 3–5) and the treatment duration averaged 7 days (IQR: 0–12). Thirty-day mortality was 37% (16/43). The survival analysis found that a 14–21-day course was associated with better 30-day survival than a 7–13-day course (0/9 vs. 5/15 deaths; log-rank p = 0.045), whereas monotherapy and combination therapy did not differ (p = 0.855). Multidrug resistance was linked to worse survival (log-rank p = 0.001). In multivariable models for 30-day mortality, only active treatment (aHR: 0.14; 95% CI: 0.02–0.88) and microbiological cure (aHR: 0.08; 95% CI: 0.01–0.47) remained independently protective. These data suggest that outcomes in SM-BSI are driven primarily by the receipt of appropriate therapy and achievement of microbiological clearance, reinforcing the need for prompt source control, optimized antimicrobial treatment, and continued development of novel therapeutic strategies to improve outcomes in this challenging infection. Full article
(This article belongs to the Collection Feature Papers in Antimicrobial Agents and Resistance)
Show Figures

Graphical abstract

18 pages, 2599 KB  
Article
Structure-Functional Examination of Cysteine Synthase A (CysK) from Limosilactobacillus reuteri LR1
by Anastasia A. Pometun, Evgenii K. Les, Alla V. Chernobrovkina, Anastasiia V. Gorbovskaia, Natalia Yu Chikurova, Anastasia A. Loginova, Alexey N. Antipov, Nadezhda N. Mordkovich, Leonid A. Shaposhnikov, Svyatoslav S. Savin, Sergey Yu Kleymenov, Ilya O. Matyuta, Konstantin M. Boyko, Mikhail E. Minyaev, Dmitry M. Hushpulian, Evgenii V. Pometun and Vladimir I. Tishkov
Int. J. Mol. Sci. 2026, 27(1), 327; https://doi.org/10.3390/ijms27010327 - 28 Dec 2025
Viewed by 258
Abstract
This study presents a comprehensive analysis of cysteine synthase A (CysK) from Limosilactobacillus reuteri LR1 (LreCysK), an enzyme involved in the biosynthesis of L-cysteine. This protein supports crucial cellular functions such as sulfur metabolism, antioxidant defense, detoxification, and protein synthesis. Previously, the gene [...] Read more.
This study presents a comprehensive analysis of cysteine synthase A (CysK) from Limosilactobacillus reuteri LR1 (LreCysK), an enzyme involved in the biosynthesis of L-cysteine. This protein supports crucial cellular functions such as sulfur metabolism, antioxidant defense, detoxification, and protein synthesis. Previously, the gene encoding LreCysK was cloned, and the enzyme with His-tag on the N-terminus was obtained in active and soluble form. Here, kinetic parameters of the enzyme were determined by the previously developed high-pressure liquid chromatography (HPLC) and ninhydrin methods. It was found that LreCysK has similar KMOAS and kcat as CysKs from Escherichia coli and from the model plant Arabidopsis thaliana. The thermal stability of LreCysK was studied using differential scanning calorimetry. It was revealed that the melting point of the enzyme increases to almost 90°C when Pyridoxal-5 phosphate (PLP) is added, indicating that the stability of the enzyme complex with PLP is relatively high. Structural studies revealed that LreCysK is a dimer, and its active site is similar to those of other enzymes, but exhibits some features characteristic of lactobacilli CysKs (GISA), as well as unique residues, such as Ile50. Also, the potential biotechnological applications of LreCysK are discussed. These findings enhance our understanding of LreCysK’s biochemical versatility and its potential applications in biotechnology and medicine. Full article
Show Figures

Figure 1

9 pages, 375 KB  
Article
Variety of Clostridioides difficile Ribotypes in CDI Patients in Las Vegas, NV
by Amber Consul, Mohamad Mubder, Samrawit Misiker, Shadaba Asad, Kimberly D. Leuthner, Chia-Dan Kang, Yassin Shams Eldien Naga, Chad L. Cross and Ernesto Abel-Santos
Germs 2026, 16(1), 2; https://doi.org/10.3390/germs16010002 - 23 Dec 2025
Viewed by 236
Abstract
Objective: Although Las Vegas is a major tourist hub, it is not among the counties that are under CDC surveillance for Clostridioides difficile infection (CDI), a major nosocomial infection. To determine the distribution of C. difficile ribotypes in the Las Vegas area, we [...] Read more.
Objective: Although Las Vegas is a major tourist hub, it is not among the counties that are under CDC surveillance for Clostridioides difficile infection (CDI), a major nosocomial infection. To determine the distribution of C. difficile ribotypes in the Las Vegas area, we collected stool samples from CDI-positive patients at the University Medical Center (UMC). Methods: We included adult patients diagnosed with CDI and provided informed consent. C. difficile was isolated from the stool samples and ribotyped. Demographic information was also obtained and analyzed. All information was compared to the surveillance data from the CDC. Results: We identified more frequently in male patients than in the CDC data. Less than half of the patients used antibiotics prior to the infection. We observed several comorbidities in our patient sample pool, with cardiovascular disease and diabetes being the most prevalent comorbidities. Hypervirulent C. difficile strain 027 was the most prevalent ribotype. Except for two samples of ribotype 076, all other samples represented unique singlet ribotypes. Four of these ribotypes (160, 302, 363, and 813) have not been explicitly reported in humans. Conclusions: Due to the unique environment created by the tourism industry in Las Vegas, this population is exposed to national and international visitors. This study shows the pre-COVID landscape of C. difficile ribotypes in Las Vegas and offers valuable insights into the varieties of C. difficile that are currently infecting this community. Full article
Show Figures

Figure 1

17 pages, 520 KB  
Article
Genetic Analysis of Virulence and β-Lactamase Determinants Related to β-Lactamase Inhibitors in Pseudomonas aeruginosa Strains from Nosocomial Infections
by Gloria Luz Paniagua-Contreras, Elizabeth Olvera-Navarro, Jennefer Paloma Herrera-Gabriel, Laura Verónica González-Vega, Luis Rey García-Cortés, Moisés Moreno-Noguez, Héctor Martínez-Gregorio, Felipe Vaca-Paniagua, Ana María Fernández-Presas and Eric Monroy-Pérez
Antibiotics 2026, 15(1), 16; https://doi.org/10.3390/antibiotics15010016 - 22 Dec 2025
Viewed by 419
Abstract
Background/Objectives: The emergence of hypervirulent Pseudomonas aeruginosa strains resistant to β-lactamase inhibitor antibiotics is a critical health problem as they impede the treatment of infections. The objective of this study was to determine the different molecular arrangements of the virulence genotype related [...] Read more.
Background/Objectives: The emergence of hypervirulent Pseudomonas aeruginosa strains resistant to β-lactamase inhibitor antibiotics is a critical health problem as they impede the treatment of infections. The objective of this study was to determine the different molecular arrangements of the virulence genotype related to β-lactamase genotype and the resistance phenotype to a combination of β-lactam antibiotics and β-lactamase inhibitors, and the phylogroups in P. aeruginosa strains isolated from patients with healthcare-associated infections and community-acquired infections. Methods: P. aeruginosa, virulence genes, β-lactamase genes and phylogroups were identified using polymerase chain reaction. Resistance to β-lactam antibiotics and β-lactamase inhibitors was determined using the disk diffusion method. The MIC determination of ticarcillin/clavulanic acid and piperacillin/tazobactam was performed using the MIC test strip for antimicrobial susceptibility testing. Results: In total, 124 P. aeruginosa strains from patients with healthcare-associated (67/124) and community-acquired infections (57/124) were analyzed. Most strains from patients with healthcare-associated infections and community-acquired infections harbored genes for proteases (aprA), phospholipases (pIcH and pIcN), elastases (lasA and lasB), rhamnolipids (rhLA), quorum-sensing system (lasI and rhII), and β-lactamase (blaoxa-4, blaoxa-1, and blaGES). In total, 100% (124/124) and 99.1% (123/124) of the strains isolated from patients with healthcare-associated and community-acquired infections were resistant to the β-lactamase inhibitor antibiotics, amoxicillin/clavulanic acid and ampicillin/sulbactam, respectively, while 54% (67/124) of the strains were resistant to piperacillin/tazobactam. Phylogroup 1 (22/124) was detected more frequently among the strains in relation to phylogroup 2 (8/12). Conclusions: We demonstrated different association profiles of virulence genotype related to the β-lactamase genotype, the β-lactamase inhibitor resistome, phylogroups, and clinical origin of the strains. Therefore, medical treatment regimens against infections caused by P. aeruginosa should be improved. Full article
(This article belongs to the Special Issue Antibiotic Resistance in Hospital-Acquired Infections)
Show Figures

Figure 1

14 pages, 279 KB  
Article
Risk of Infections Among Contacts of COVID-19 Cases in the Healthcare Setting: Experience of One University Hospital
by Borislav Tošković, Ljiljana Marković-Denić, Milica Brajković, Igor Nađ, Dimitrije Zdravković, Vladimir Nikolić and COVID-19 Working Group
Epidemiologia 2026, 7(1), 2; https://doi.org/10.3390/epidemiologia7010002 - 22 Dec 2025
Viewed by 336
Abstract
Background/Objectives: The onset of infection in patients in contact with a COVID-19-positive index case in healthcare settings depends on intrinsic factors such as demographic factors, immune status, severity of underlying diseases, and comorbidities. Critical extrinsic factors for transmission, especially in hospitals, are length [...] Read more.
Background/Objectives: The onset of infection in patients in contact with a COVID-19-positive index case in healthcare settings depends on intrinsic factors such as demographic factors, immune status, severity of underlying diseases, and comorbidities. Critical extrinsic factors for transmission, especially in hospitals, are length of exposure and distance. This study aimed to determine the risk factors of COVID-19 infections in contacts of COVID-19 index cases by conducting a prospective cohort study. Methods: The prospective cohort study included 186 index patients with confirmed COVID-19 and their 416 close hospital contacts. All contacts were followed for five days and tested using antigen or RT-PCR assays, with additional follow-up through national registries if discharged earlier. Results: The risk of infection was significantly higher in contacts older than 60 years (p = 0.009), in those hospitalised within orthopaedics and haematology departments (p < 0.001), and in patients whose bed was located within 1.5 m of the index case (p < 0.001). Laboratory findings showed significant associations with lower lymphocytes, glucose and higher potassium and creatinine levels, while other haematological and biochemical parameters did not differ. Hyperkalaemia (RR = 6.2 95%CI = 1.2–32.1 p = 0.30) and bed distance ≥ 1.5 m (RR = 0.3 95%CI = 0.2–0.6 p < 0.001) demonstrated an independent association with COVID-19 infection among contact patients. Conclusions: To reduce nosocomial transmission from unrecognised COVID-19 reservoirs, patients with electrolyte imbalance and lower levels of blood elements should be placed at a greater distance of 1.5 m from others, especially patients in haematology departments. Full article
16 pages, 538 KB  
Article
Digital Transformation in Critical Care: Implications for Quality of Care, Infection Control, and Clinical Outcomes
by Daiana Toma, Laura Andreea Ghenciu, Ovidiu Horea Bedreag, Adelina Băloi, Carmen Alina Gizea, Stelian Adrian Rițiu, Emil Robert Stoicescu, Claudiu Rafael Bârsac, Marius Păpurică, Alexandru Rogobete and Dorel Săndesc
J. Clin. Med. 2025, 14(24), 8964; https://doi.org/10.3390/jcm14248964 - 18 Dec 2025
Viewed by 428
Abstract
Background/Objectives: Digitalization of intensive care units (ICUs) aims to enhance patient safety and efficiency through standardized documentation, real-time data integration, and clinical decision support. This study evaluated whether the implementation of a patient data management system (PDMS) was associated with improvements in quality [...] Read more.
Background/Objectives: Digitalization of intensive care units (ICUs) aims to enhance patient safety and efficiency through standardized documentation, real-time data integration, and clinical decision support. This study evaluated whether the implementation of a patient data management system (PDMS) was associated with improvements in quality of care, infection prevention, and patient outcomes in a trauma ICU. Methods: We conducted a single-center, retrospective, before–after cohort study comparing a pre-digitalization period (2021–2022) with a post-digitalization period (2025). Consecutive adult trauma ICU admissions were analyzed. The exposure was unit-wide adoption of a PDMS implemented in 2024. The primary outcome was ICU length of stay (LOS); secondary outcomes included ICU mortality, nosocomial infection rates (episodes per 1000 ICU-days), ventilation- and antibiotic-days, device utilization, and infection epidemiology. Prespecified sensitivity analyses were performed. Results: A total of 108 patients were included (43 pre- and 65 post-digitalization). Baseline characteristics were comparable between groups. Median ICU LOS decreased from 13.0 to 6.0 days (p = 0.02). Mortality declined from 18.6% to 6.2% (p = 0.06), and crude infection rates decreased from 42.2 to 30.8 per 1000 ICU-days (rate ratio 0.73; p = 0.28). Adjusted analyses showed no statistically significant differences for mortality (aOR 0.40; p = 0.45), infection rates (aIRR 0.88; p = 0.68), LOS (aRR 1.04; p = 0.87), ventilation-days (aRR 0.86; p = 0.65), or antibiotic-days (aRR 0.70; p = 0.30). Per-patient rates of ventilator-associated pneumonia and bloodstream infection were significantly lower after digitalization (both p = 0.04), and Acinetobacter spp. infections decreased markedly (7 to 0 cases; p = 0.001). Findings were consistent after exclusion of ICU stays < 24 h. Conclusions: ICU digitalization was associated with shorter unadjusted ICU stays and favorable trends in infection and mortality outcomes, though adjusted analyses were neutral. Larger multicenter studies incorporating device-day denominators and time-to-event analyses are needed to confirm the causal impact of digital transformation on ICU quality of care. Full article
(This article belongs to the Special Issue Clinical Management and Long-Term Prognosis in Intensive Care)
Show Figures

Figure 1

Back to TopTop