Ultra-Wide Band Double-Slot Podal and Antipodal Vivaldi Antennas Feed by Compact Out-Of-Phase Power Divider Slot for Fluid Properties Determination
Abstract
1. Introduction
2. Antenna Design
2.1. Antenna Structure
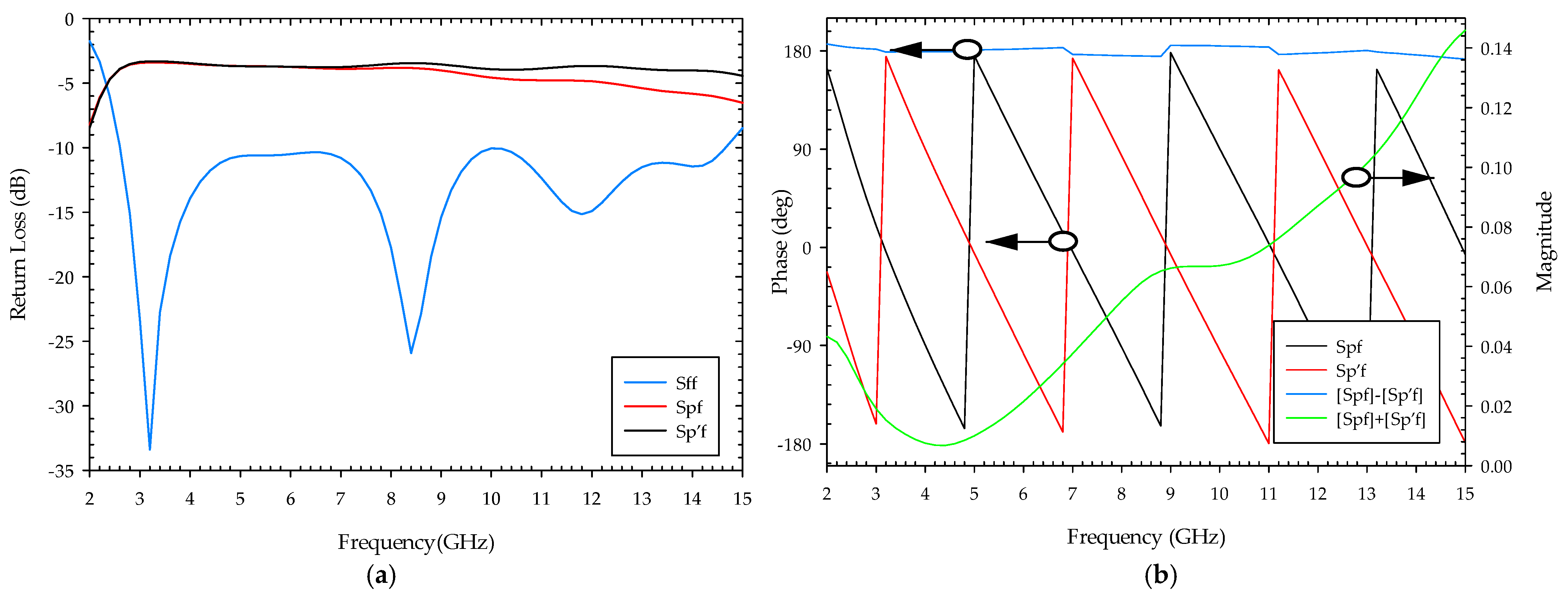
2.2. Design of the Feeding Structure
3. Results and Discussion
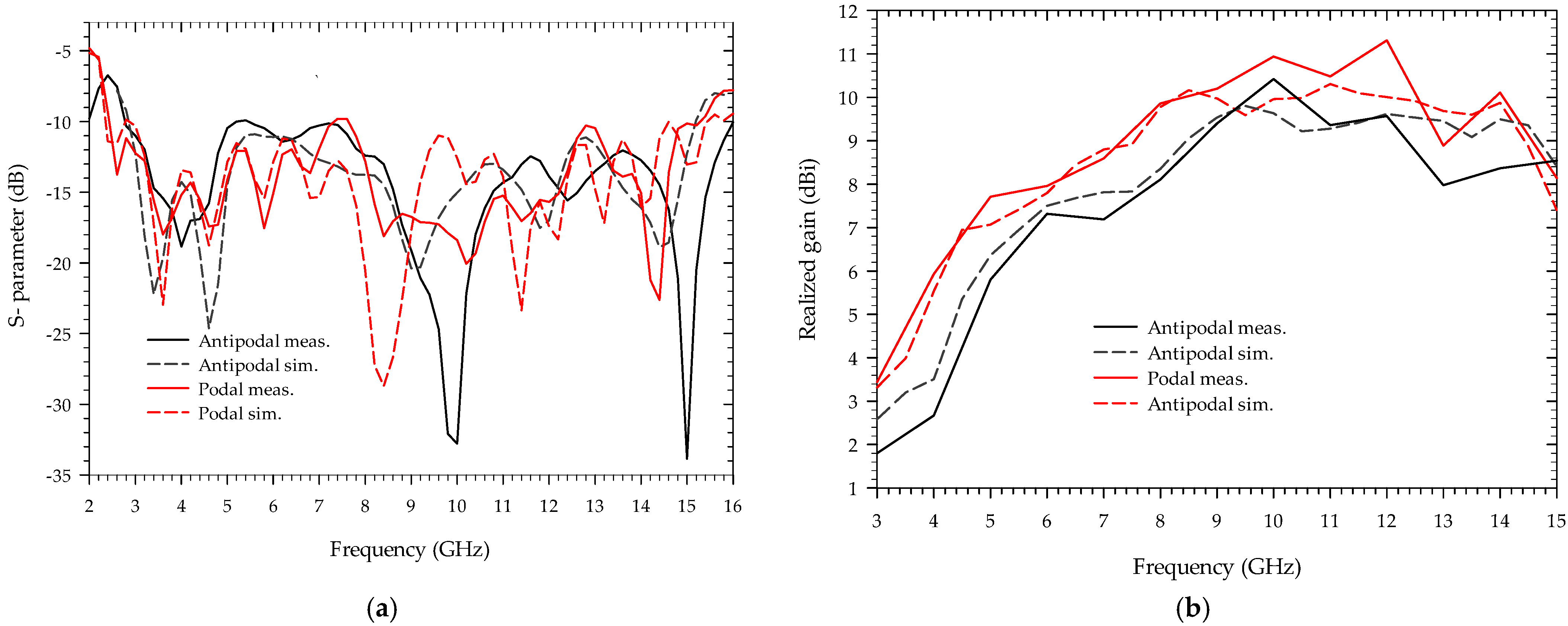
4. Experimental Study and Results
4.1. Experimental Setup
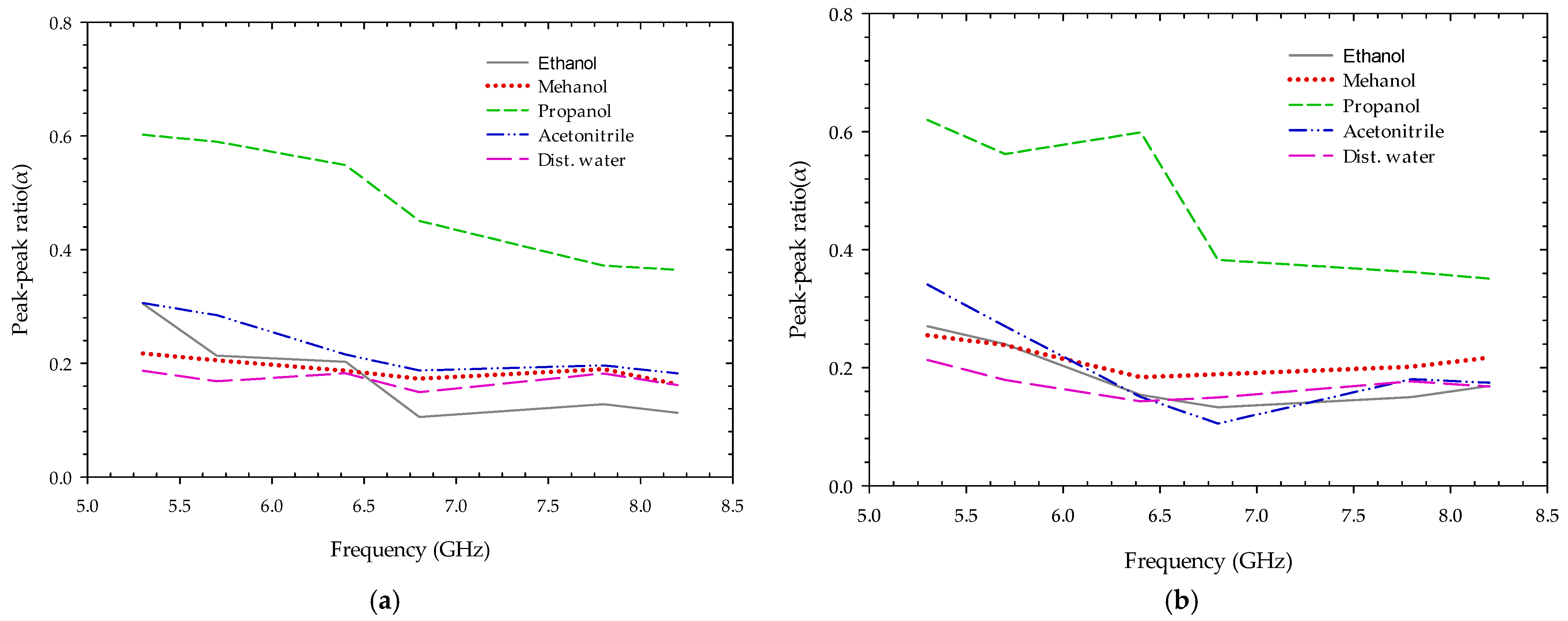
4.2. Signal Analyzing
4.3. Working Assumption
4.4. Measurements
5. Conclusions
Author Contributions
Funding
Institutional Review Board Statement
Informed Consent Statement
Data Availability Statement
Conflicts of Interest
References
- Pozar, D.M. Microstrip antennas. Proc. IEEE 1992, 80, 79–91. [Google Scholar] [CrossRef]
- Shimin, D. A New Method for Measuring Dielectric Constant Using the Resonant Frequency of a Patch Antenna. IEEE Trans. Microw. Theory Tech. 1986, 34, 923–931. [Google Scholar] [CrossRef]
- Deffendol, C.; Furse, C. Microstrip antennas for dielectric property measurement. In Proceedings of the IEEE Antennas and Propagation Society International Symposium, Orlando, FL, USA, 11–16 July 1999. [Google Scholar]
- Withayachumnankul, W.; Jaruwongrungsee, K.; Tuantranont, A.; Fumeaux, C.; Abbott, D. Metamaterial-based microfluidic sensor for dielectric characterization. Sens. Actuators A Phys. 2013, 189, 233–237. [Google Scholar] [CrossRef]
- Alison, J.; Sheppard, R. A precision waveguide system for the measurement of complex permittivity of lossy liquids and solid tissues in the frequency range 29 GHz to 90 GHz-III. The liquid system for 57 to 82 GHz: An investigation into water and formamide. Meas. Sci. Technol. 1991, 2, 975. [Google Scholar] [CrossRef]
- Rogers, N.; Havrilla, M.; Hyde, M.W.; Knisely, A. Nondestructive Electromagnetic Characterization of Uniaxial Sheet Media Using a Two-Flanged Rectangular Waveguide Probe. IEEE Trans. Instrum. Meas. 2020, 69, 2938–2947. [Google Scholar] [CrossRef]
- Hyde, M.W.; Bogle, A.E.; Havrilla, M.J. Nondestructive Characterization of PEC-Backed Materials Using the Combined Measurements of a Rectangular Waveguide and Coaxial Probe. IEEE Microw. Wirel. Compon. Lett. 2014, 24, 808–810. [Google Scholar] [CrossRef]
- Peng, Z.W.; Hwang, J.Y.; Andriese, M. Maximum Sample Volume for Permittivity Measurements by Cavity Perturbation Technique. IEEE Trans. Instrum. Meas. 2014, 63, 450–455. [Google Scholar] [CrossRef]
- Jones, C.A. Permittivity and permeability measurements using stripline resonator cavities—A comparison. IEEE Trans. Instrum. Meas. 1999, 48, 843–848. [Google Scholar] [CrossRef]
- Roussy, G.; Chaabane, H.; Esteban, H. Permittivity and Permeability Measurement of Microwave Packaging Materials. IEEE Trans. Microw. Theory Tech. 2004, 52, 903–907. [Google Scholar] [CrossRef]
- Zhai, Z.; Kusko, C.; Hakim, N.; Sridhar, S.; Revcolevschi, A.; Vietkine, A. Precision microwave dielectric and magnetic susceptibility measurements of correlated electronic materials using superconducting cavities. Rev. Sci. Instrum. 2000, 71, 3151–3160. [Google Scholar] [CrossRef]
- Sarjoghian, S.; Alfadhl, Y.; Chen, X.D.; Parini, C.G. A 3-D-Printed High-Dielectric Materials-Filled Pyramidal Double-Ridged Horn Antenna for Abdominal Fat Measurement System. IEEE Trans. Antennas Propag. 2021, 69, 64–73. [Google Scholar] [CrossRef]
- Attia, H.; Boybay, M.S. Patch antennas with superstrates for landmine detection. In Proceedings of the 2014 IEEE Antennas and Propagation Society International Symposium (APSURSI), Memphis, TN, USA, 6–11 July 2014. [Google Scholar]
- Li, J.; Zeng, Z.F.; Sun, J.G.; Liu, F.S. Through-Wall Detection of Human Being’s Movement by UWB Radar. IEEE Geosci. Remote Sens. Lett. 2012, 9, 1079–1083. [Google Scholar] [CrossRef]
- Inum, R.; Rana, M.M.; Shushama, K.N.; Quader, M.A. EBG Based Microstrip Patch Antenna for Brain Tumor Detection via Scattering Parameters in Microwave Imaging System. Int. J. Biomed. Imaging 2018, 2018, 8241438. [Google Scholar] [CrossRef]
- Pittella, E.; Bottiglieri, A.; Pisa, S.; Cavagnaro, M. Cardiorespiratory Frequency Monitoring Using the Principal Component Analysis Technique on UWB Radar Signal. Int. J. Antennas Propag. 2017, 2017, 4803752. [Google Scholar] [CrossRef]
- Skaria, S.; Al-Hourani, A.; Evans, R.J. Deep-Learning Methods for Hand-Gesture Recognition Using Ultra-Wideband Radar. IEEE Access 2020, 8, 203580–203590. [Google Scholar] [CrossRef]
- Ghimire, J.; Diba, F.D.; Kim, J.H.; Choi, D.Y. Vivaldi Antenna Arrays Feed by Frequency-Independent Phase Shifter for High Directivity and Gain Used in Microwave Sensing and Communication Applications. Sensors 2021, 21, 6091. [Google Scholar] [CrossRef]
- Bogosanovich, M. Microstrip patch antenna sensor for measurement of the permittivity of homogeneous dielectric materials. In Proceedings of the 16th IEEE Instrumentation and Measurement Technology Conference, Venice, Italy, 24–26 May 1999. [Google Scholar]
- Herrmann, P.S.P.; Sydoruk, V.; Marques Porto, F.N. Microwave Transmittance Technique Using Microstrip Patch Antennas, as a Non-Invasive Tool to Determine Soil Moisture in Rhizoboxes. Sensors 2020, 20, 1166. [Google Scholar] [CrossRef]
- Sanders, J.W.; Yao, J.; Huang, H.Y. Microstrip Patch Antenna Temperature Sensor. IEEE Sens. J. 2015, 15, 5312–5319. [Google Scholar] [CrossRef]
- Liu, Z.; Yu, H.; Zhou, K.; Li, R.; Guo, Q. Influence of Volumetric Damage Parameters on Patch Antenna Sensor-Based Damage Detection of Metallic Structure. Sensors 2019, 19, 3232. [Google Scholar] [CrossRef]
- Saha, S.; Cano-Garcia, H.; Sotiriou, I.; Lipscombe, O.; Gouzouasis, I.; Koutsoupidou, M.; Palikaras, G.; Mackenzie, R.; Reeve, T.; Kosmas, P.; et al. A Glucose Sensing System Based on Transmission Measurements at Millimetre Waves using Micro strip Patch Antennas. Sci. Rep. 2017, 7, 6855. [Google Scholar] [CrossRef]
- Rahman, M.A.; Islam, M.T.; Singh, M.J.; Hossain, I.; Rmili, H.; Samsuzzaman, M. Magnetic, Dielectric and Structural Properties of CoxZn (0.90-x) Al0. 10Fe2O4 Synthesized by Sol-Gel Method with Application as Flexible Microwave Substrates for Microstrip Patch Antenna. J. Mater. Res. Technol. 2022, 116, 934–943. [Google Scholar] [CrossRef]
- Yahaya, N.Z.; Abbas, Z.; Ali, B.M.; Ismail, A.; Ansarudin, F. Intercomparison of Methods for Determination of Resonant Frequency Shift of a Microstrip Patch Antenna Loaded with Hevea Rubber Latex. J. Sens. 2014, 2014, 656972. [Google Scholar] [CrossRef]
- Lee, K.; Hassan, A.; Lee, C.H.; Bae, J. Microstrip Patch Sensor for Salinity Determination. Sensors 2017, 17, 2941. [Google Scholar] [CrossRef] [PubMed]
- Han, J.C.; Wen, G.Y. A New Method for Measuring the Properties of Dielectric Materials. IEEE Antennas Wirel. Propag. Lett. 2013, 12, 425–428. [Google Scholar] [CrossRef]
- Yao, J.; Tchafa, F.M.; Jain, A.; Tjuatja, S.; Huang, H.Y. Far-Field Interrogation of Microstrip Patch Antenna for Temperature Sensing without Electronics. IEEE Sens. J. 2016, 16, 7053–7060. [Google Scholar] [CrossRef]
- Gadani, D.H.; Rana, V.A.; Bhatnagar, S.P.; Prajapati, A.N.; Vyas, A.D. Effect of salinity on the dielectric properties of water. Indian J. Pure Appl. Phys. 2012, 50, 405–410. [Google Scholar]
- Islam, M.T.; Rahman, M.N.; Singh, M.S.J.; Samsuzzaman, M. Detection of Salt and Sugar Contents in Water on the Basis of Dielectric Properties Using Microstrip Antenna-Based Sensor. IEEE Access 2018, 6, 4118–4126. [Google Scholar] [CrossRef]
- Lee, C.-S.; Yang, C.-L. Thickness and Permittivity Measurement in Multi-Layered Dielectric Structures Using Complementary Split-Ring Resonators. IEEE Sens. J. 2014, 14, 695–700. [Google Scholar] [CrossRef]
- Velez, P.; Su, L.; Grenier, K.; Mata-Contreras, J.; Dubuc, D.; Martin, F. Microwave Microfluidic Sensor Based on a Microstrip Splitter/Combiner Configuration and Split Ring Resonators (SRRs) for Dielectric Characterization of Liquids. IEEE Sens. J. 2017, 17, 6589–6598. [Google Scholar] [CrossRef]
- Ghodgaonkar, D.K.; Varadan, V.V.; Varadan, V.K. Free-space measurement of complex permittivity and complex permeability of magnetic materials at microwave frequencies. IEEE Trans. Instrum. Meas. 1990, 39, 387–394. [Google Scholar] [CrossRef]
- Yamaguchi, Y.; Sato, Y. Measuring method of complex dielectric constant with monostatic horn antenna in W-band using multiple distance measurements and analysis. In Proceedings of the 2017 IEEE Asia Pacific Microwave Conference (APMC), Kuala Lumpur, Malaysia, 13–16 November 2017. [Google Scholar]
- Fwen, W.; Ping, S.; Malek, M.F.A.; Hasss, N. Alternatives for PCB Laminates: Dielectric Properties’ Measurements at Microwave Frequencies. In Dielectric Material; Silaghi, M., Ed.; IntechOpen: London, UK, 2012. [Google Scholar]
- Molaei, A.; Kaboli, M.; Mirtaheri, S.A.; Abrishamian, M.S. Dielectric lens balanced antipodal Vivaldi antenna with low cross-polarisation for ultra-wideband applications. IET Microw. Antennas Propag. 2014, 8, 1137–1142. [Google Scholar] [CrossRef]
- Cheng, H.; Yang, D.; Hua, L.; Wang, Y.; Yang, H.; Wu, J.; Li, Y. A compact antipodal Vivaldi antenna with metamaterial half-lens for beam control. J. Phys. D Appl. Phys. 2021, 54, 205104. [Google Scholar] [CrossRef]
- Eshtiaghi, R.; Nourinia, J.; Ghobadi, C. Electromagnetically Coupled Band-Notched Elliptical Monopole Antenna for UWB Applications. IEEE Trans. Antennas Propag. 2010, 58, 1397–1402. [Google Scholar] [CrossRef]
- Chen, Q.; Zhang, H.; Zhang, X.; Jin, M.; Wang, W. Wideband RCS reduction of vivaldi antenna using electromagnetic band gap absorbing structure. In Proceedings of the 2017 International Symposium on Antennas and Propagation (ISAP), Phuket, Thailand, 30 October–2 November 2017. [Google Scholar]
- Bourqui, J.; Okoniewski, M.; Fear, E.C. Balanced Antipodal Vivaldi Antenna with Dielectric Director for Near-Field Microwave Imaging. IEEE Trans. Antennas Propag. 2010, 58, 2318–2326. [Google Scholar] [CrossRef]
- Islam, M.; Islam, M.; Samsuzzaman, M.; Faruque, M.; Misran, N. A Negative Index Metamaterial-Inspired UWB Antenna with an Integration of Complementary SRR and CLS Unit Cells for Microwave Imaging Sensor Applications. Sensors 2015, 15, 11601–11627. [Google Scholar] [CrossRef]
- Zhou, B.; Cui, T.J. Directivity Enhancement to Vivaldi Antennas Using Compactly Anisotropic Zero-Index Metamaterials. IEEE Antennas Wirel. Propag. Lett. 2011, 10, 326–329. [Google Scholar] [CrossRef]
- Al-Gburi, A.J.A.; Ibrahim, I.M.; Zakaria, Z.; Abdulhameed, M.K.; Saeidi, T. Enhancing Gain for UWB Antennas Using FSS: A Systematic Review. Mathematics 2021, 9, 3301. [Google Scholar] [CrossRef]
- Li, X.; Pang, D.W.; Wang, H.L.; Zhang, Y.; Lv, G. Dielectric Sheets Covered Broadband Vivaldi Antenna for Gain Enhancement. Prog. Electromagn. Res. C 2017, 77, 69–80. [Google Scholar] [CrossRef]
- Zhu, S.; Liu, H.; Chen, Z.; Wen, P. A Compact Gain-Enhanced Vivaldi Antenna Array with Suppressed Mutual Coupling for 5G mmWave Application. IEEE Antennas Wirel. Propag. Lett. 2018, 17, 776–779. [Google Scholar] [CrossRef]
- Kazemi, R.; Fathy, A.E. Design of single-ridge SIW power dividers with over 75% bandwidth. In Proceedings of the 2014 IEEE MTT-S International Microwave Symposium (IMS2014), Tampa, FL, USA, 1–6 June 2014. [Google Scholar]
- Wang, H.; Fang, D.-G.; Zhang, B.; Che, W.-Q. Dielectric Loaded Substrate Integrated Waveguide (SIW) H-Plane Horn Antennas. IEEE Trans. Antennas Propag. 2010, 58, 640–647. [Google Scholar] [CrossRef]
- Kordiboroujeni, Z.; Bornemann, J. Efficient Design of Substrate Integrated Waveguide Power Dividers for Antenna Feed Systems. In Proceedings of the 2013 7th European Conference on Antennas and Propagation (EuCAP), Gothenburg, Sweden, 8–12 April 2013; pp. 352–356. [Google Scholar]
- Ullah, R.; Ullah, S.; Faisal, F.; Ullah, R.; Choi, D.-Y.; Ahmad, A.; Kamal, B. High-Gain Vivaldi Antenna with Wide Bandwidth Characteristics for 5G Mobile and Ku-Band Radar Applications. Electronics 2021, 10, 667. [Google Scholar] [CrossRef]
- Yang, S.; Elsherbini, A.; Lin, S.; Fathy, A.E.; Kamel, A.; Elhennawy, H. A highly efficient Vivaldi antenna array design on thick substrate and fed by SIW structure with integrated GCPW feed. In Proceedings of the 2007 IEEE Antennas and Propagation Society International Symposium, Honolulu, HI, USA, 9–15 June 2007. [Google Scholar]
- Hao, Z.; Hong, W.; Li, H.; Zhang, H.; Wu, K. Multiway broadband substrate integrated waveguide (SIW) power divider. In Proceedings of the 2005 IEEE Antennas and Propagation Society International Symposium, Washington, DC, USA, 3–8 July 2005. [Google Scholar]
- Kazemi, R.; Fathy, A.E.; Sadeghzadeh, R.A. Ultra-wide band vivaldi antenna array using low loss SIW power divider and GCPW wide band transition. In Proceedings of the 2012 IEEE Radio and Wireless Symposium, Santa Clara, CA, USA, 15–18 January 2012. [Google Scholar]
- Chen, X.P.; Li, L.; Wu, K. Multi-Antenna System Based on Substrate Integrated Waveguide for Ka-Band Traffic-Monitoring Radar Applications. In Proceedings of the 2009 European Microwave Conference (EuMC), Rome, Italy, 29 September–1 October 2009; pp. 417–420. [Google Scholar]
- NOVELDA. XETHRU by NOVELDA. X2 Impulse Radar Transceiver; NOVELDA: Oslo, Norway, 2015. [Google Scholar]
- Pozar, D.M. Microwave Engineering; John Wiley & Sons: Hoboken, NJ, USA, 2009. [Google Scholar]
- Wang, Y.-W.; Wang, G.-M.; Zong, B.-F. Directivity Improvement of Vivaldi Antenna Using Double-Slot Structure. IEEE Antennas Wirel. Propag. Lett. 2013, 12, 1380–1383. [Google Scholar] [CrossRef]
- Salem Hesari, S.; Bornemann, J. Antipodal Vivaldi Antenna Arrays Fed by Substrate Integrated Waveguide Right-Angled Power Dividers. Appl. Sci. 2018, 8, 2625. [Google Scholar] [CrossRef]
- Nassar, I.T.; Weller, T.M. A Novel Method for Improving Antipodal Vivaldi Antenna Performance. IEEE Trans. Antennas Propag. 2015, 63, 3321–3324. [Google Scholar] [CrossRef]
- Safitri, N.; Pudji Astuti, R.; Setia Nugroho, B. Switch-Beam Vivaldi Array Antenna Based on 4x4 Butler Matrix for mmWave. MATEC Web Conf. 2018, 218, 03011. [Google Scholar] [CrossRef][Green Version]
- Pfitzner, J. Poiseuille and his law. Anaesthesia 1976, 31, 273–275. [Google Scholar] [CrossRef]


















| Parameters | Podal Antenna (mm) | Antipodal Antenna (mm) |
|---|---|---|
| Ls | 70.69 | 89.88 |
| Ws | 72 | 74 |
| Fw | 1.14 | 1.14 |
| Fy, Fx, Fr, Sr | 13, 6.01, 1.71, 2.28 | 13, 6.0, 3.42, 2.73 |
| Sl, Sw | 3.9, 0.28 | 4.74, 0.3 |
| Px | 23.78 | 11.14 |
| P1 | 39 | 72.56 |
| Vr | 2.85 | -- |
| V3 | -- | 19.43 |
| V4 | -- | 20.57 |
| Gl | -- | 17.31 |
| Gw | -- | 48 |
| Vs | 0.58 | -- |
| Pr | 1.71 | -- |
| Ref. | Frequency Range (GHz) | Feed System | Size (mm2) | Gain (dBi) |
|---|---|---|---|---|
| [52] | 8–12 | SIW 1 × 8 power divider | 100 × 57 | 12 |
| [56] | 2.5–15 | T-junction power divider | 120 × 80 | 14.5 |
| [57] | 26.1–28.3 | SIW Right-Angled Power Dividers | -- | 8.5 |
| [58] | 7–32 | microstrip feeding | 140 × 66 | 12 |
| [59] | 25–31 | 4 × 4 butler matrix | 29.52 × 20.52 | 10.2 |
| Proposed antenna (podal) | 2.4–15.4 | T-junction power divider with slot and Chebyshev microstrip line | 70.69 × 72 | 11.3 |
| Proposed antenna (antipodal) | 2.8–16 | T-junction power divider with slot microstrip line | 89.88 × 74 | 10.4 |
Publisher’s Note: MDPI stays neutral with regard to jurisdictional claims in published maps and institutional affiliations. |
© 2022 by the authors. Licensee MDPI, Basel, Switzerland. This article is an open access article distributed under the terms and conditions of the Creative Commons Attribution (CC BY) license (https://creativecommons.org/licenses/by/4.0/).
Share and Cite
Ghimire, J.; Choi, D.-Y. Ultra-Wide Band Double-Slot Podal and Antipodal Vivaldi Antennas Feed by Compact Out-Of-Phase Power Divider Slot for Fluid Properties Determination. Sensors 2022, 22, 4543. https://doi.org/10.3390/s22124543
Ghimire J, Choi D-Y. Ultra-Wide Band Double-Slot Podal and Antipodal Vivaldi Antennas Feed by Compact Out-Of-Phase Power Divider Slot for Fluid Properties Determination. Sensors. 2022; 22(12):4543. https://doi.org/10.3390/s22124543
Chicago/Turabian StyleGhimire, Jiwan, and Dong-You Choi. 2022. "Ultra-Wide Band Double-Slot Podal and Antipodal Vivaldi Antennas Feed by Compact Out-Of-Phase Power Divider Slot for Fluid Properties Determination" Sensors 22, no. 12: 4543. https://doi.org/10.3390/s22124543
APA StyleGhimire, J., & Choi, D.-Y. (2022). Ultra-Wide Band Double-Slot Podal and Antipodal Vivaldi Antennas Feed by Compact Out-Of-Phase Power Divider Slot for Fluid Properties Determination. Sensors, 22(12), 4543. https://doi.org/10.3390/s22124543

