Compact Four-Port Circularly Polarized MIMO X-Band DRA
Abstract
:1. Introduction
- The compact structure of a four-port CP MIMO DRA with the utilization of the deformed shape of the DR and DGS together. Implementing a four-port CP MIMO DRA with high isolation in a compact geometry with the utilization of DGS is a novel technique proposed in the reported research work. Obtaining the compact geometry of the four-port CP MIMO DRA is not available in the literature.
- A technique of obtaining the high isolation between the ports along with the CP response and maintaining the four ports in a compact geometry of antenna.
- High gain is another advantage of the proposed antenna structure that is generally difficult to obtain in the case of C.
- PDRA.
2. Single-Element Analysis
3. Two-Port MIMO Antenna
4. Four-Port CP MIMO DRA
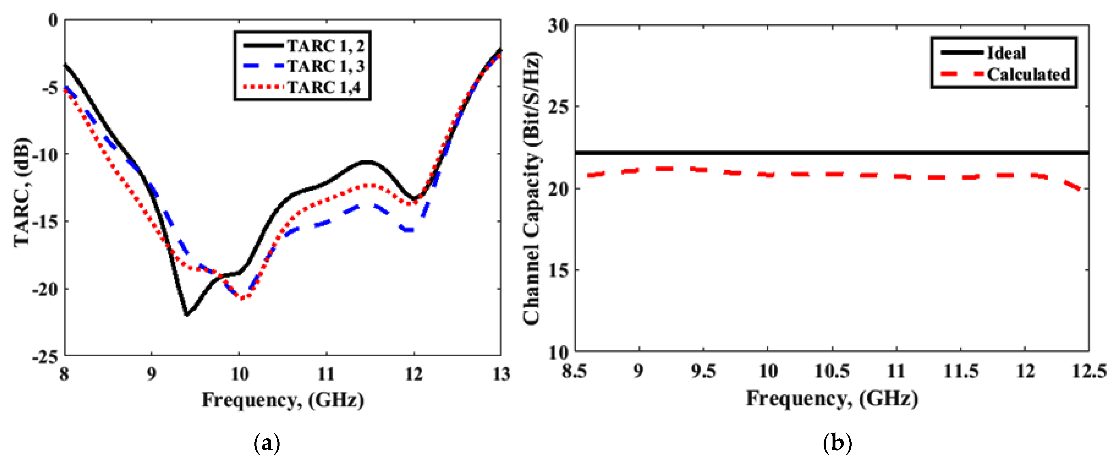
5. MIMO Performance Analysis
6. Conclusions
Author Contributions
Funding
Conflicts of Interest
References
- Mongia, R. Theoretical and experimental resonant frequencies of rectangular dielectric resonators. IEE Proc. H Microw. Antennas Propag. 1992, 139, 98–104. [Google Scholar] [CrossRef]
- Yang, J.; Cheng, Q.; Al-Nuaimi, M.K.T.; Kishk, A.A.; Mahmoud, A.-E. Broadband Folded Reflectarray Fed by a Dielectric Resonator Antenna. IEEE Antennas Wirel. Propag. Lett. 2020, 19, 178–182. [Google Scholar] [CrossRef]
- Sharawi, M.S.; Podilchak, S.K.; Hussain, M.T.; Antar, Y.M. Dielectric resonator based MIMO antenna system enabling millimetre-wave mobile devices. IET Microw. Antennas Propag. 2017, 11, 287–293. [Google Scholar] [CrossRef] [Green Version]
- Sharawi, M.S. Current Misuses and Future Prospects for Printed Multiple-Input, Multiple-Output Antenna Systems. IEEE Antenna Propag. Mag. 2017, 59, 162–170. [Google Scholar] [CrossRef]
- Kuznetcov, M.V.; Podilchak, S.K.; Clenet, M.; Antar, Y.M.M. Hybrid Dielectric Resonator Antenna for Diversity Applications with Linear or Circular Polarization. IEEE Trans. Antennas Propag. 2021, 69, 4457–4465. [Google Scholar] [CrossRef]
- Anuar, S.U.; Jamaluddin, M.H.; Din, J.; Kamardin, K.; Dahri, M.H.; Idris, I.H. Triple band MIMO dielectric resonator antenna for LTE applications. AEU Int. J. Electron. Commun. 2020, 118, 153172. [Google Scholar] [CrossRef]
- Hu, Y.; Pan, Y.M.; Di Yang, M. Circularly Polarized MIMO Dielectric Resonator Antenna with Reduced Mutual Coupling. IEEE Trans. Antennas Propag. 2020, 69, 3811–3820. [Google Scholar] [CrossRef]
- Pan, Y.M.; Qin, X.; Sun, Y.X.; Zheng, S.Y. A Simple Decoupling Method for 5G Millimeter-Wave MIMO Dielectric Resonator Antennas. IEEE Trans. Antennas Propag. 2019, 67, 2224–2234. [Google Scholar] [CrossRef]
- Zhang, Y.; Deng, J.-Y.; Li, M.-J.; Sun, D.; Guo, L.-X. A MIMO Dielectric Resonator Antenna with Improved Isolation for 5G mm-Wave Applications. IEEE Antennas Wirel. Propag. Lett. 2019, 18, 747–751. [Google Scholar] [CrossRef]
- Iqbal, J.; Illahi, U.; Sulaiman, M.I.; Alam, M.M.; Suud, M.M.; Yasin, M.N.M. Mutual Coupling Reduction Using Hybrid Technique in Wideband Circularly Polarized MIMO Antenna for WiMAX Applications. IEEE Access 2019, 7, 40951–40958. [Google Scholar] [CrossRef]
- Varshney, G.; Gotra, S.; Chaturvedi, S.; Pandey, V.S.; Yaduvanshi, R.S. Compact four-port MIMO dielectric resonator antenna with pattern diversity. IET Microw. Antennas Propag. 2019, 13, 2193–2198. [Google Scholar] [CrossRef]
- Singhwal, S.S.; Kanaujia, B.K.; Singh, A.; Kishor, J.; Matekovits, L. Dual-band circularly polarized MIMO DRA for sub-6 GHz applications. Int. J. RF Microw. Comput. Eng. 2020, 30, e22350. [Google Scholar] [CrossRef]
- Dwivedi, A.K.; Sharma, A.; Singh, A.K.; Singh, V. Design of dual band four port circularly polarized MIMO DRA for WLAN/WiMAX applications. J. Electromagn. Waves Appl. 2020, 34, 1990–2009. [Google Scholar] [CrossRef]
- Chen, H.N.; Song, J.-M.; Park, J.-D. A Compact Circularly Polarized MIMO Dielectric Resonator Antenna Over Electromagnetic Band-Gap Surface for 5G Applications. IEEE Access 2019, 7, 140889–140898. [Google Scholar] [CrossRef]
- Gotra, S.; Varshney, G.; Pandey, V.S.; Yaduvanshi, R.S. Super-wideband multi-input–multi-output dielectric resonator antenna. IET Microw. Antennas Propag. 2019, 14, 21–27. [Google Scholar] [CrossRef]
- Varshney, G.; Singh, R.; Pandey, V.S.; Yaduvanshi, R.S. Circularly Polarized Two-Port Mimo Dielectric Resonator Antenna. Prog. Electromagn. Res. M 2020, 91, 19–28. [Google Scholar] [CrossRef]
- Varshney, G. Gain and bandwidth enhancement of a singly-fed circularly polarised dielectric resonator antenna. IET Microw. Antennas Propag. 2020, 14, 1323–1330. [Google Scholar] [CrossRef]
- Mahmoud, A.; Ahmed, M.I.; Varshney, G.; Ibrahim, A.A. An array of staircase-shaped circularly polarized DRA. Int. J. RF Microw. Comput. Eng. 2021, 31, e22638. [Google Scholar] [CrossRef]
- Ibrahim, M.S.; Attia, H.; Cheng, Q.; Mahmoud, A. Wideband circularly polarized aperture coupled DRA array with sequential-phase feed at X-band. Alex. Eng. J. 2020, 59, 4901–4908. [Google Scholar] [CrossRef]
- Varshney, G.; Gotra, S.; Pandey, V.S.; Yaduvanshi, R. Inverted-Sigmoid Shaped Multiband Dielectric Resonator Antenna with Dual-Band Circular Polarization. IEEE Trans. Antennas Propag. 2018, 66, 2067–2072. [Google Scholar] [CrossRef]
- Varshney, G.; Pandey, V.S.; Yaduvanshi, R.S. Dual-band fan-blade-shaped circularly polarised dielectric resonator antenna. IET Microw. Antennas Propag. 2017, 11, 1868–1871. [Google Scholar] [CrossRef]
- Fakhte, S.; Oraizi, H.; Karimian, R.; Fakhte, R. A New Wideband Circularly Polarized Stair-Shaped Dielectric Resonator Antenna. IEEE Trans. Antennas Propag. 2015, 63, 1828–1832. [Google Scholar] [CrossRef]
- Varshney, G.; Pandey, V.S.; Yaduvanshi, R.; Kumar, L. Wide Band Circularly Polarized Dielectric Resonator Antenna with Stair-Shaped Slot Excitation. IEEE Trans. Antennas Propag. 2017, 65, 1380–1383. [Google Scholar] [CrossRef]
- Nasimuddin, N.; Chen, Z.N.; Qing, X. Dual-Band Circularly Polarized $S$-Shaped Slotted Patch Antenna with a Small Frequency-Ratio. IEEE Trans. Antennas Propag. 2010, 58, 2112–2115. [Google Scholar] [CrossRef]
- Sahu, N.K.; Das, G.; Gangwar, R.K. Dielectric resonator-based wide band circularly polarized MIMO antenna with pattern diversity for WLAN applications. Microw. Opt. Technol. Lett. 2018, 60, 2855–2862. [Google Scholar] [CrossRef]
- Ibrahim, A.A.; Ali, W.A.E. High gain, wideband and low mutual coupling AMC-based millimeter wave MIMO antenna for 5G NR networks. AEU Int. J. Electron. Commun. 2021, 142, 153990. [Google Scholar] [CrossRef]
- Zahra, H.; Awan, W.; Ali, W.; Hussain, N.; Abbas, S.; Mukhopadhyay, S. A 28 GHz Broadband Helical Inspired End-Fire Antenna and Its MIMO Configuration for 5G Pattern Diversity Applications. Electronics 2021, 10, 405. [Google Scholar] [CrossRef]
- Sahu, N.K.; Das, G.; Gangwar, R.K.; Rambabu, K. An Arrangement for Four-Element MIMO DRA with Complementary CP Diversity. IEEE Antennas Wirel. Propag. Lett. 2021, 20, 1616–1620. [Google Scholar] [CrossRef]
- Sarkar, G.A.; Ballav, S.; Chatterjee, A.; Ranjit, S.; Parui, S.K. Four Element Mimo dra with High Isolation for Wlan Applications. Prog. Electromagn. Res. Lett. 2019, 84, 99–106. [Google Scholar] [CrossRef] [Green Version]
- Das, G.; Sharma, A.; Gangwar, R.K.; Sharawi, M.S. Compact back-to-back DRA-based four-port MIMO antenna system with bi-directional diversity. Electron. Lett. 2018, 54, 884–886. [Google Scholar] [CrossRef]





















| Antenna | BWIM (%)/(GHz) (S11 < −10 dB) | Minimal Isolation (dB) | BWAR/(GHz) (AR < 3 dB) |
|---|---|---|---|
| Without DGS | 31.96 (9.2–12.7) | 20–35 | 7.40 (9.1–9.8) |
| With DGS | 38.09 (8.5–12.5) | 20–35 | 11.28 (9.2–10.03) |
| Ref | No. of Ports | AR BW (GHz)/(%) | Gain (dBi) | Isolation (dB) | ECC | Antenna Size (mm × mm)/λ02 | |
|---|---|---|---|---|---|---|---|
| [14] | 2 | 3.45/23.1 | 3.34–4.02/18.5 | 4.83 | >26 | ˂0.02 | 95 × 49.7/1.09 × 0.56 |
| [16] | 2 | 6.44/36.7 | 7.72–8.08/4.55 | 3.8 | 15 | ˂0.05 | 80 × 80/1.7 × 1.7 |
| [13] | 4 | 3.58/13.1 | 3.54–3.74/4.9 | 5.2 | >18 | 0.03 | 80 × 80/0.95 × 0.95 |
| 5.25/6.09 | 5.02–5.18/2.3 | 5.5 | 20 | ||||
| [10] | 2 | 4/38.5 | 3.58–4.40/20.8 | 6.5 | >28 | ˂0.04 | 350 × 350/4.3 × 4.3 |
| [25] | 2 | 5.62/21.4 | 5.15–5.88/13.2 | 4.7 | >18 | ˂0.05 | 50 × 50/0.92 × 0.92 |
| [12] | 2 | 3.42/19 | 3.425–3.6/5 | 6.8 | 16.5 | ˂0.05 | 110 × 50/1.25 × 0.56 |
| 5.45/9.4 | 5.45–5.55/2 | 4.6 | 16.2 | ||||
| [28] | 4 | 3.5/14.4 | 3.34–3.54/5.8 | 4.2 | >15 | ˂0.5 | 66 × 60/0.76 × 0.70 |
| [29] | 4 | 4.9/5.1 | - | 6.2 | 25 | 0.002 | 140 × 45/2.28 × 0.73 |
| [30] | 4 | 5.7/10.5 | - | 5 | 18 | 0.25 | 30 × 30/0.57 × 0.57 |
| This work | 4 | 10.5/38 | 9.2–10.1/9.32 | 6 | >22 | ˂0.005 | 35 × 30/1.05 × 1.22 |
Publisher’s Note: MDPI stays neutral with regard to jurisdictional claims in published maps and institutional affiliations. |
© 2022 by the authors. Licensee MDPI, Basel, Switzerland. This article is an open access article distributed under the terms and conditions of the Creative Commons Attribution (CC BY) license (https://creativecommons.org/licenses/by/4.0/).
Share and Cite
Ibrahim, A.A.; Zahra, H.; Abbas, S.M.; Ahmed, M.I.; Varshney, G.; Mukhopadhyay, S.; Mahmoud, A. Compact Four-Port Circularly Polarized MIMO X-Band DRA. Sensors 2022, 22, 4461. https://doi.org/10.3390/s22124461
Ibrahim AA, Zahra H, Abbas SM, Ahmed MI, Varshney G, Mukhopadhyay S, Mahmoud A. Compact Four-Port Circularly Polarized MIMO X-Band DRA. Sensors. 2022; 22(12):4461. https://doi.org/10.3390/s22124461
Chicago/Turabian StyleIbrahim, Ahmed A., Hijab Zahra, Syed Muzahir Abbas, Mohamed I. Ahmed, Gaurav Varshney, Subhas Mukhopadhyay, and Abdelhady Mahmoud. 2022. "Compact Four-Port Circularly Polarized MIMO X-Band DRA" Sensors 22, no. 12: 4461. https://doi.org/10.3390/s22124461
APA StyleIbrahim, A. A., Zahra, H., Abbas, S. M., Ahmed, M. I., Varshney, G., Mukhopadhyay, S., & Mahmoud, A. (2022). Compact Four-Port Circularly Polarized MIMO X-Band DRA. Sensors, 22(12), 4461. https://doi.org/10.3390/s22124461

