Flexible Planar Monopole Built-in GIS PD Sensor Based on Meandering Technology
Abstract
:1. Introduction
2. Antenna Design
2.1. Monopole Antenna Body Design
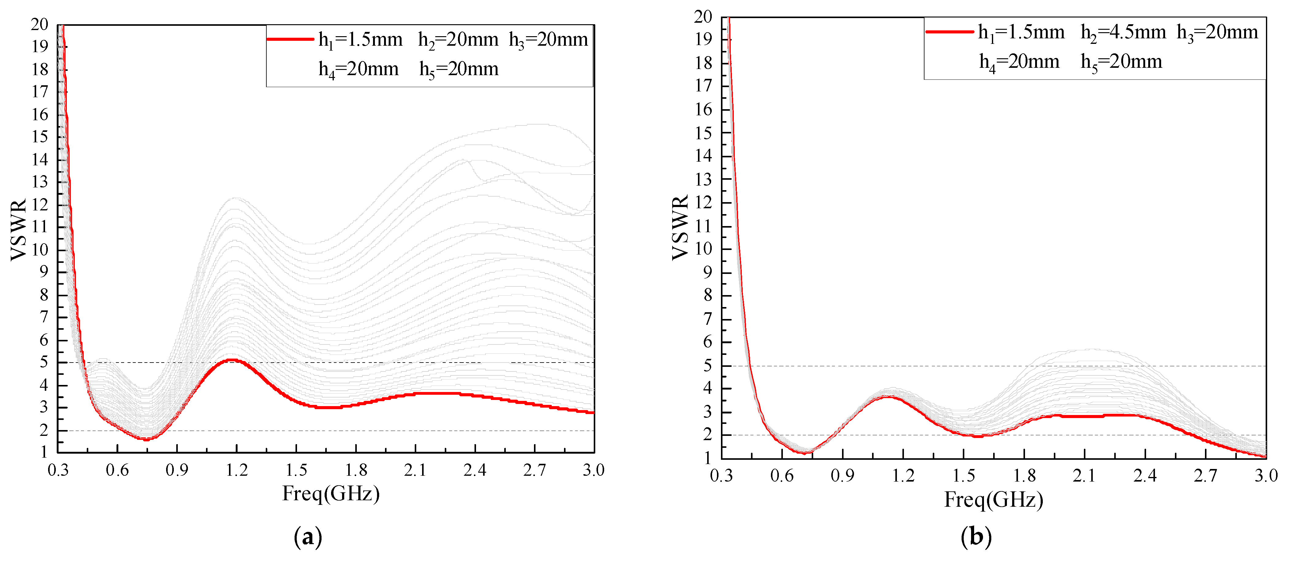
2.2. Structural Optimization Based on Meandering Technology
2.3. Flexibility of Monopole Antenna
3. Simulation Analysis of Flexible Antenna Performance
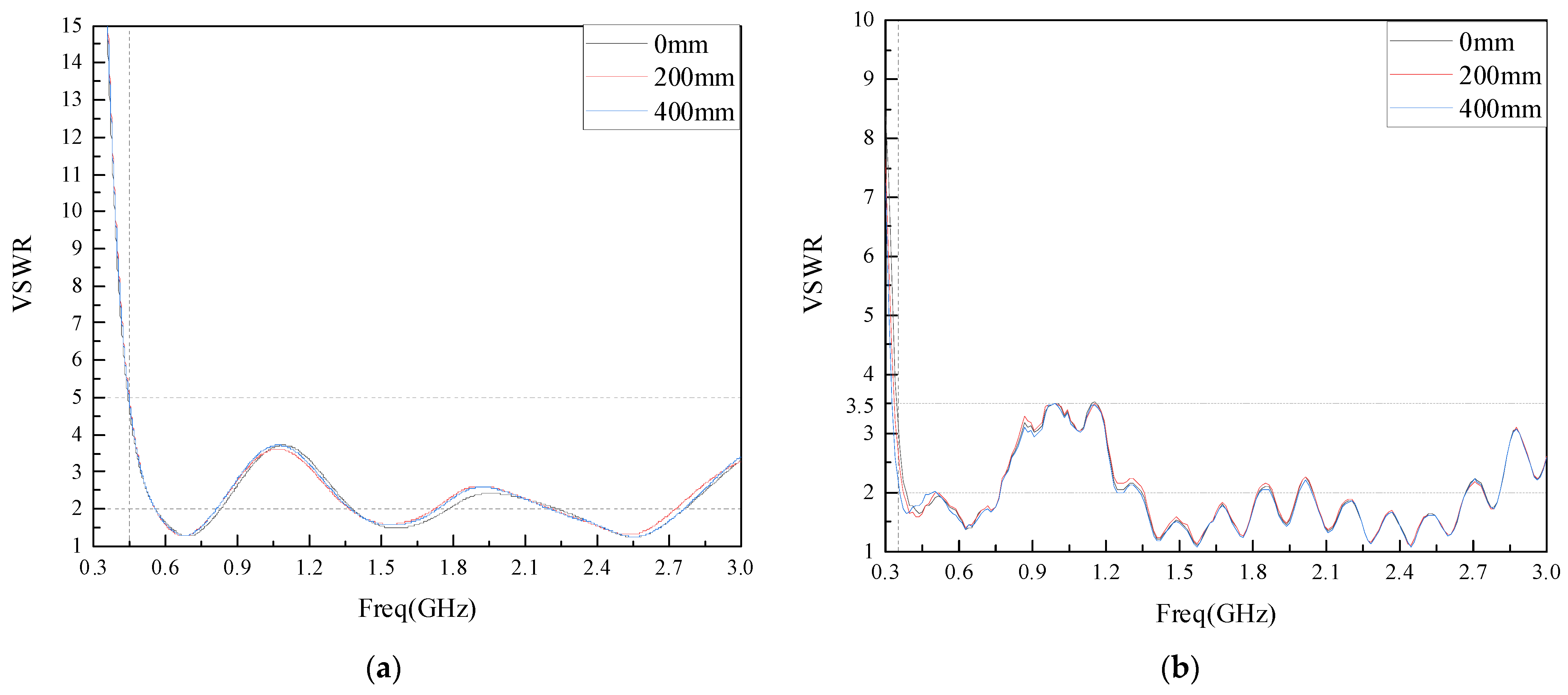
3.1. Voltage Standing-Wave Ratio
3.2. Radiation Performance
3.3. Flexible Antenna Built-in Simulation Analysis
4. Performance Test Verification of Flexible Antenna
4.1. Antenna Bending Deformation PD Detection Performance Test
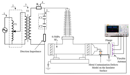
4.1.1. Construction of Test Platform
4.1.2. Analysis of Test Results
4.2. Performance Test of Flexible Antenna Built into the Actual 220 kV GIS
4.2.1. Construction of Test Platform
4.2.2. Analysis of Test Results
5. Conclusions
- In the 300 MHz–3 GHz band, the VSWR of the improved monopole antenna with the curved technology decreases significantly in the UHF low band. Simulation and measurement results show that the designed flexible antenna has a VSWR ≤ 5 in the band of 450 MHz to 3 GHz under different bending degrees, which meets the GIS PD detection requirements of the built-in sensor.
- The COMSOL software is used to simulate the influence of the built-in rigid and flexible substrate antennas on the internal electric field distribution of the GIS. The simulation results show that the built-in flexible substrate antenna keeps the electric field distribution pattern inside the GIS almost unchanged, causing a much smaller impact than that caused by the built-in rigid substrate antenna on the internal electric field distribution of GIS.
- The built PD detection platform is used to conduct bending deformation tests and built-in tests on the flexible antenna. The test results show that the flexible antenna can detect PD signals before and after bending deformation and when it is built into the GIS, proving the feasibility of PD detection on the flexible antenna.
Author Contributions
Funding
Institutional Review Board Statement
Informed Consent Statement
Data Availability Statement
Conflicts of Interest
References
- Liu, J.C.; Zhang, G.A.; Dong, J.L.; Wang, J.H. Study on miniaturized UHF antennas for partial discharge detection in high-voltage electrical equipment. Sensors 2015, 15, 29434–29451. [Google Scholar] [CrossRef] [PubMed]
- Schichler, U.; Koltunowicz, W.; Gautschi, D.; Girodet, A.; Hama, H.; Juhre, K.; Lopez-Roldan, J.; Okabe, S.; Neuhold, S.; Neumann, C.; et al. UHF partial discharge detection system for GIS: Application guide for sensitivity verification: CIGRE WG D1.25. IEEE Trans. Dielectr. Electr. Insul. 2016, 23, 1313–1321. [Google Scholar] [CrossRef]
- Cui, Z.; Park, S.; Choo, H.; Jung, K.Y. Wideband UHF Antenna for Partial Discharge Detection. Appl. Sci. 2020, 10, 1698. [Google Scholar] [CrossRef] [Green Version]
- Okabe, S.; Ueta, G.; Hama, H.; Ito, T.; Hikita, M.; Okubo, H. New aspects of UHF PD diagnostics on gas-insulated systems. IEEE Trans. Dielectr. Electr. Insul. 2014, 21, 2245–2258. [Google Scholar] [CrossRef]
- Rodrigo-Mor, A.; Munoz, F.A.; Castro-Heredia, L.C. A Novel Antenna for Partial Discharge Measurements in GIS Based on Magnetic Field Detection. Sensors 2019, 19, 858. [Google Scholar] [CrossRef] [Green Version]
- Wang, Y.Q.; Li, J.F.; Li, C.Y.; Zheng, Z.H.; Cui, B.Y. Study on a miniaturized planar spiral antenna for partial discharge detection in GIS. High Volt. Eng. 2016, 42, 1252–1258. [Google Scholar] [CrossRef] [Green Version]
- Wang, Y.Q.; Wang, Z.; Li, J.F. UHF Moore fractal antennae for on-line GIS PD detection. IEEE Antennas Wirel. Propag. Lett. 2016, 16, 852–855. [Google Scholar] [CrossRef]
- Li, T.H.; Rong, M.Z.; Wang, X.H.; Zhang, A.X.; Pan, J.; Liu, H.L. Design optimization and experiment study of internal UHF sensor for partial discharge detection in GIS. Proc. CSEE 2017, 37, 5483–5493. [Google Scholar]
- Li, J.H.; Zhang, X.R.; Han, X.T. A partial discharge detection method for SF6 insulated inverted current transformers adopting inner shield case as UHF sensor. IEEE Trans. Power Deliv. 2018, 33, 3237–3239. [Google Scholar] [CrossRef]
- Zhang, X.X.; Gui, Y.G.; Cheng, Z. Design of a New Built-in UHF Multi-Frequency Antenna Sensor for Partial Discharge Detection in High-Voltage switchgears. Sensors 2016, 16, 1170. [Google Scholar] [CrossRef] [Green Version]
- Li, J.H.; Han, X.T.; Liu, Z.H. Review on partial discharge measurement technology of electrical equipment. High Volt. Eng. 2015, 41, 2583–2601. [Google Scholar]
- Wang, Y.Q.; Feng, C.H.; Jie, G. UHF LS Peano fractal antenna for PD GIS detection. J. Electromagn. Waves Appl. 2020, 34, 1797–1811. [Google Scholar] [CrossRef]
- Ji, S.C.; Wang, Y.Y.; Li, J.H. Review of UIF antenna for detecting partial discharge in GIS. High Volt. Appar. 2015, 51, 163–172. [Google Scholar]
- Zuo, S.L.; Zhang, Z.Y.; Xie, J.J. Design of dual- monopole slots antenna integrated with monopole strip for wireless wide area network mobile handset. IET Microw. Antenna P 2014, 8, 194–199. [Google Scholar] [CrossRef]
- Ghouz, H.M.; Sree, M.F.A.; Ibrahim, M.A. Novel Wideband Microstrip Monopole Antenna Designs for WiFi/LTE/WiMax Devices. IEEE Access 2020, 8, 9532–9539. [Google Scholar] [CrossRef]
- Zhong, S.S. Microstrip Antenna Theory and Application, 1st ed.; Xidian University Press: Xian, China, 1991; pp. 267–269. [Google Scholar]
- Zhang, Q. Research on the Compact Broadband Patch Antenna Based on Meandering Technology. Master’s Thesis, Tianjin University, Tianjin, China, November 2016. [Google Scholar]
- Hikita, M.; Ohtsuka, S.; Okabe, S.; Wada, J.; Hoshino, T.; Maruyama, S. Influence of disconnecting part on propagation properties of PD induced electromagnetic wave in model GIS. IEEE Trans. Dielectr. Electr. Insul. 2010, 17, 1731–1735. [Google Scholar] [CrossRef]
- Tian, Y.; Liu, Y.S.; Xiong, J.; Li, P.F.; Zhong, S.Q.; Zhou, W.J. A micro-strip antenna detecting partial discharge based on meandering technology and genetic algorithm. Electr. Meas. Instrum. 2018, 55, 110–115. [Google Scholar]
- Chung, K.; Park, H.; Choi, J. Wideband microstrip-fedmonopole antenna with a narrow slit. Microw. Opt. Techn. Let. 2005, 47, 400–402. [Google Scholar] [CrossRef]
- Kim, J.; Yoon, T.; Kim, J.; Choi, J. Design of an ultra wide-band printed monopole antenna using FDTD and genetic algorithm. IEEE Microw. Wirel. Co. 2005, 15, 395–397. [Google Scholar]
- Dikmen, C.M.; Cimen, S.; Cakir, G. Planar Octagonal-Shaped UWB Antenna with Reduced Radar Cross Section. IEEE Trans. Antennas Propag. 2014, 62, 2946–2953. [Google Scholar] [CrossRef]
- Wu, X.D.; Liu, Y.C.; Lin, X.T.; Huang, E.L.; Song, G.H.; Tan, D.Q. Atomic layer deposition coated polymer films with enhanced high-temperature dielectric strength suitable for film capacitors. Surf. Interfaces 2022, 28, 101686. [Google Scholar] [CrossRef]
- Tam, S.K.; Fung, K.Y.; Ng, K.M. Copper pastes using bimodal particles for flexible printed electronics. J. Mater. Sci. 2016, 51, 1914–1922. [Google Scholar] [CrossRef]
- Cruz, B.; Can-Ortiz, A.; Valdez-Nava, Z.; Gomez, I. Drop-cast graphene-p3ht composite for flexible electronics applied over polyethylene terephthalate obtained from one-use plastic bottles. Int. J. Mater. Res. 2022, 11, 69–79. [Google Scholar] [CrossRef]
- Li, J.; Jiang, T.Y.; Wang, C.S.; Cheng, C.K. Optimization of UHF Hilbert Antenna for Partial Discharge Detection of Transformers. IEEE Trans. Antennas Propag. 2012, 60, 2536–2540. [Google Scholar]
- Zou, Y.; Zhou, Q.K.; Liu, M.J. Research on quantitative evaluation on anti-electromagnetic interference capability of Ultra High frequency partial discharge detection instrument. Trans. China Electrotech. Soc. 2020, 35, 2275–2282. [Google Scholar]






















| Slotting Variables | |||||
|---|---|---|---|---|---|
| Paramters (mm) | 1.5 | 4.5 | 3.4 | 19.2 | 10.2 |
| Material | PDMS | PI | PET | |
|---|---|---|---|---|
| Parameters | ||||
| εr | 3 | 3.5 | 4 | |
| tanδ | 0.02 | 0.008 | 0.04 | |
| Breakdown field strength | 20 kV/mm | 200 kV/mm | 380 kV/mm | |
| Experiment Number | 1 | 2 | 3 | 4 | 5 | 6 | 7 | 8 | 9 | 10 | |
|---|---|---|---|---|---|---|---|---|---|---|---|
| Bend Radius(mm) | Amplitude (mV) | ||||||||||
| 0 | 30.1 | 39.2 | 59.8 | 51.2 | 41.3 | 32.8 | 53.2 | 69.5 | 55.4 | 63.2 | |
| 200 | 33.8 | 38.6 | 61.5 | 50.4 | 42.6 | 31.5 | 54.3 | 68.2 | 54.8 | 62.8 | |
| 400 | 32.1 | 38.2 | 59.2 | 50.9 | 43.5 | 31.9 | 52.8 | 68.8 | 55.1 | 63.4 | |
Publisher’s Note: MDPI stays neutral with regard to jurisdictional claims in published maps and institutional affiliations. |
© 2022 by the authors. Licensee MDPI, Basel, Switzerland. This article is an open access article distributed under the terms and conditions of the Creative Commons Attribution (CC BY) license (https://creativecommons.org/licenses/by/4.0/).
Share and Cite
Zhang, S.; Zhang, G.; Lu, C.; Tian, H.; Liu, J.; Zhang, X. Flexible Planar Monopole Built-in GIS PD Sensor Based on Meandering Technology. Sensors 2022, 22, 4134. https://doi.org/10.3390/s22114134
Zhang S, Zhang G, Lu C, Tian H, Liu J, Zhang X. Flexible Planar Monopole Built-in GIS PD Sensor Based on Meandering Technology. Sensors. 2022; 22(11):4134. https://doi.org/10.3390/s22114134
Chicago/Turabian StyleZhang, Shuo, Guozhi Zhang, Changyue Lu, Hanlv Tian, Jianben Liu, and Xiaoxing Zhang. 2022. "Flexible Planar Monopole Built-in GIS PD Sensor Based on Meandering Technology" Sensors 22, no. 11: 4134. https://doi.org/10.3390/s22114134
APA StyleZhang, S., Zhang, G., Lu, C., Tian, H., Liu, J., & Zhang, X. (2022). Flexible Planar Monopole Built-in GIS PD Sensor Based on Meandering Technology. Sensors, 22(11), 4134. https://doi.org/10.3390/s22114134

