Temperature-Compensated Multi-Point Strain Sensing Based on Cascaded FBG and Optical FMCW Interferometry
Abstract
:1. Introduction
2. Principle
2.1. Optical FMCW Inteferometry
2.2. Principle of Grating Sensing
2.3. Signal Demodulation Process
3. Experimental Setup and Results
3.1. Experiment Setup
3.2. Fiber Optic Link Information Detection
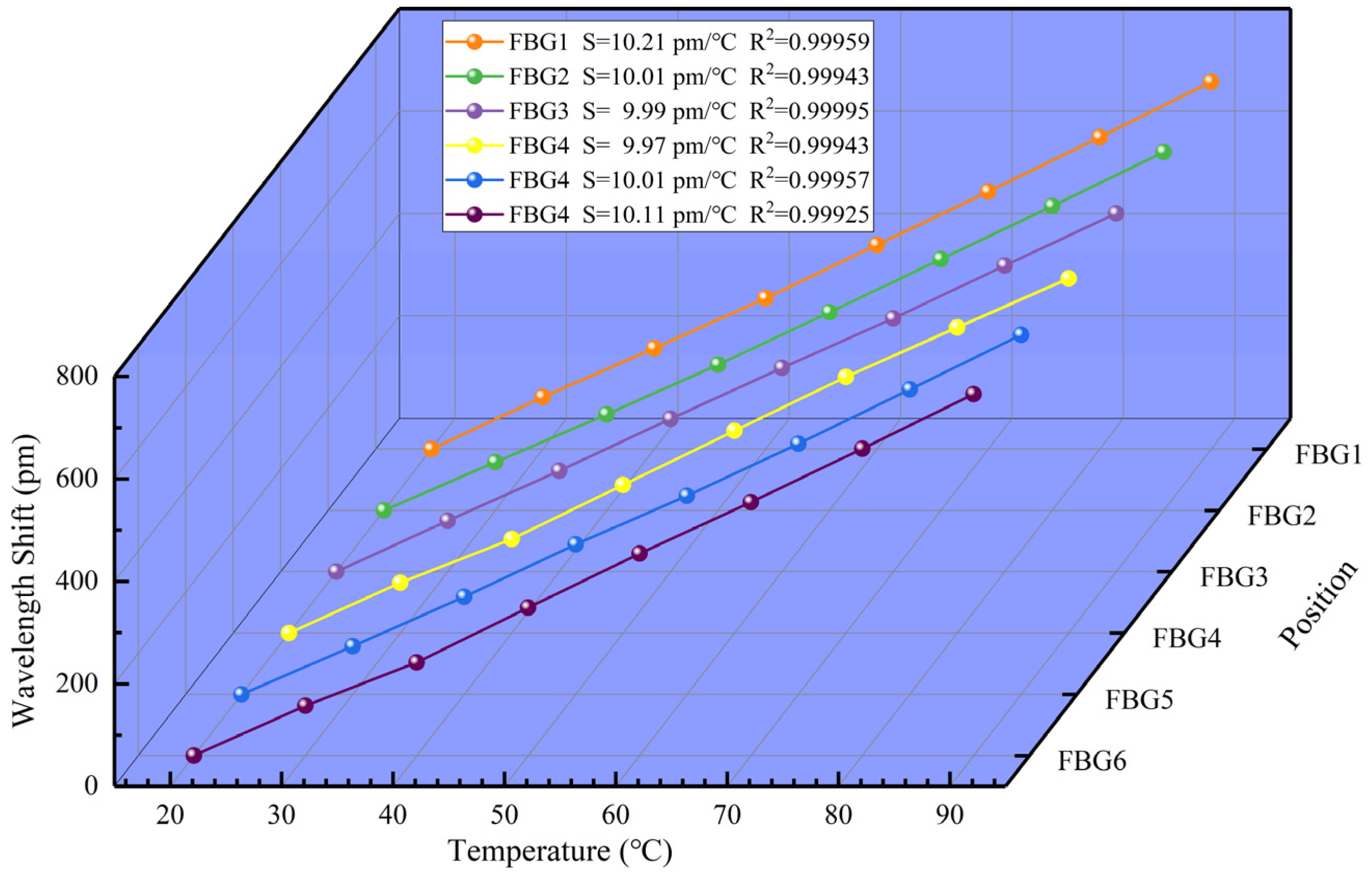
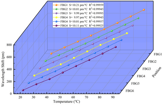
3.3. Temperature Compensation Experiment of Sensing System
3.4. Multi-Point Strain Experiment for Sensing System
3.5. Wavelength Stability of Strain Measurement System
4. Conclusions
Author Contributions
Funding
Conflicts of Interest
References
- Liu, Y.; Qi, B.; Winder, D.E. Faraday Michelson Interferometers for Signal Demodulation of Fiber-Optic Sensors. J. Lightwave Technol. 2021, 39, 2552–2558. [Google Scholar] [CrossRef]
- Zhao, X.; Zhang, Y.; Zhang, W.; Li, Z.; Yue, Y.; Yan, T. Ultrasensitive Fabry–Perot Strain Sensor Based on Vernier Effect and Tapered FBG-in-Hollow Silica Tube. IEEE Sens. J. 2021, 21, 3035–3041. [Google Scholar] [CrossRef]
- Wang, Z.; Liu, H.; Ma, Z.; Chen, Z.; Wang, T.; Pang, F. High temperature strain sensing with alumina ceramic derived fiber based Fabry-Perot interferometer. Opt. Express 2019, 27, 27691–27701. [Google Scholar] [CrossRef]
- Abbas, L.G.; Ai, Z.; Mumtaz, F.; Muhammad, A.; Dai, Y.; Parveen, R. Temperature and Strain Sensing with Hybrid Interferometer. IEEE Sens. J. 2021, 21, 26785–26792. [Google Scholar] [CrossRef]
- Tang, Z.; Lou, S.; Wang, X.; Zhang, W.; Yan, S.; Xing, Z. High-Performance Bending Vector and Strain Sensor Using a Dual-Tapered Photonic Crystal Fiber Mach–Zehnder Interferometer. IEEE Sens. J. 2019, 19, 4062–4068. [Google Scholar] [CrossRef]
- Ghasemi, P.; Yam, S.S.H. Tension and Torsion Sensing with a Double-Taper Mach-Zehnder Interferometer. J. Lightwave Technol. 2022, 40, 1224–1230. [Google Scholar] [CrossRef]
- Wang, J.B.; Wang, A.Z.; Chen, X.D.; Liu, S.J.; Xu, X.; Sun, C.T.; Yan, Y.X.; Yan, Q.; Wang, S.J.; Geng, T.; et al. An All Fiber Mach-Zehnder Interferometer Based on Tapering Core-Offset Joint for Strain Sensing. IEEE Photonics Technol. Lett. 2022, 34, 11–14. [Google Scholar] [CrossRef]
- Kinet, D.; Mégret, P.; Goossen, K.W.; Qiu, L.; Heider, D.; Caucheteur, C. Fiber Bragg Grating Sensors toward Structural Health Monitoring in Composite Materials: Challenges and Solutions. Sensors 2014, 14, 7394–7419. [Google Scholar] [CrossRef]
- Li, R.; Chen, Y.; Tan, Y.; Zhou, Z.; Li, T.; Mao, J. Sensitivity Enhancement of FBG-Based Strain Sensor. Sensors 2018, 18, 1607. [Google Scholar] [CrossRef] [Green Version]
- Yang, J.; Hou, P.; Yang, C.; Yang, N. Study of a Long-Gauge FBG Strain Sensor with Enhanced Sensitivity and Its Application in Structural Monitoring. Sensors 2021, 21, 3492. [Google Scholar] [CrossRef]
- Song, Q.G.; Dai, Y.Z.; Ye, B.L.; Xiao, X.P.; Huang, C.J.; Mou, C.B.; Sun, Q.Z.; Zhang, L.; Yan, Z.J. Silver-Coated 45° Radiated Tilted Fiber Grating Based Interferometer and Its Sensing Applications. J. Lightwave Technol. 2022, 40, 1202–1208. [Google Scholar] [CrossRef]
- Ahmad, H.; Alias, M.A.; Ismail, M.F.; Ismail, N.N.; Zaini, M.K.A.; Lim, K.S.; Brambilla, G.; Grattan, K.T.V.; Rahman, B.M. Strain Sensor Based on Embedded Fiber Bragg Grating in Thermoplastic Polyurethane Using the 3D Printing Technology for Improved Sensitivity. Photonic Sens. 2022, 12, 220302. [Google Scholar] [CrossRef]
- Wei, Y.; Li, L.L.; Liu, C.L.; Wang, R.; Zhao, X.L.; Ran, Z.; Ren, Z.; Jiang, T.C. High sensitivity fiber cladding SPR strain sensor based on V-groove structure. Opt. Express 2022, 30, 7412–7425. [Google Scholar] [CrossRef]
- Ying, Y.; Wang, J.K.; Xu, K.; Si, G.Y. High sensitivity D-shaped optical fiber strain sensor based on surface plasmon resonance. Opt. Commun. 2020, 460, 125147. [Google Scholar] [CrossRef]
- Han, B.; Zhang, Y.N.; E, S.Y.; Wang, X.; Yang, D.; Wang, T.B.; Lu, K.; Wang, F. Simultaneous measurement of temperature and strain based on dual SPR effect in PCF. Opt. Laser Technol. 2019, 113, 46–51. [Google Scholar] [CrossRef]
- Han, B.; Zhang, Y.N.; Wang, X.; Yang, D.; Liu, Y.; Sun, J.C.; Wang, Y. High-Sensitive Fiber Anemometer Based on Surface Plasmon Resonance Effect in Photonic Crystal Fiber. IEEE Sens. J. 2019, 19, 3391–3398. [Google Scholar] [CrossRef]
- Eickhoff, W.; Ulrich, R. Optical frequency domain reflectometry in single-mode fiber. Appl. Phys. Lett. 1981, 39, 693–695. [Google Scholar] [CrossRef]
- Liang, C.; Bai, Q.; Yan, M.; Wang, Y.; Zhang, H.; Jin, B. A Comprehensive Study of Optical Frequency Domain Reflectometry. IEEE Access 2021, 9, 41647–41668. [Google Scholar] [CrossRef]
- Ding, Z.Y.; Sun, K.L.; Liu, K.; Jiang, J.F.; Yang, D.; Yu, Z.; Li, J.; Liu, T.G. Distributed refractive index sensing based on tapered fibers in optical frequency domain reflectometry. Opt. Express 2018, 26, 13042–13054. [Google Scholar] [CrossRef]
- Zhu, Z.D.; Ba, D.X.; Liu, L.; Qiu, L.Q.; Yang, S.H.; Dong, Y.K. Temperature-compensated multi-point refractive index sensing based on a cascaded Fabry-Perot cavity and FMCW interferometry. Opt. Express 2021, 29, 19034–19048. [Google Scholar] [CrossRef]
- Zhu, Z.D.; Ba, D.X.; Liu, L.; Qiu, L.Q.; Dong, Y.K. Temperature-compensated distributed refractive index sensor based on an etched multi-core fiber in optical frequency domain reflectometry. Opt. Lett. 2021, 46, 4308–4311. [Google Scholar] [CrossRef] [PubMed]
- Duncan, R.G.; Childers, B.A.; Gifford, D.K.; Pettit, D.E.; Hickson, A.W.; Brown, T.L. Distributed Sensing Technique for Test Article Damage Detection and Monitoring. In Proceedings of the Smart Structures and Materials 2003: Smart Sensor Technology and Measurement Systems, San Diego, CA, USA, 2–6 March 2003. [Google Scholar]
- Bremer, K.; Alwis, L.S.M.; Weigand, F.; Kuhne, M.; Zheng, Y.; Krüger, M.; Helbig, R.; Roth, B. Evaluating the Performance of Functionalized Carbon Structures with Integrated Optical Fiber Sensors under Practical Conditions. Sensors 2018, 18, 3923. [Google Scholar] [CrossRef] [PubMed] [Green Version]
- Zhu, M.S.; Murayama, H.; Wada, D.; Kageyama, K. Dependence of measurement accuracy on the birefringence of PANDA fiber Bragg gratings in distributed simultaneous strain and temperature sensing. Opt. Express 2017, 25, 4000–4017. [Google Scholar] [CrossRef] [PubMed]
- Gui, X.; Li, Z.Y.; Wang, F.; Wang, Y.M.; Wang, C.J.; Zeng, S.Y.; Yu, H.H. Distributed sensing technology of high-spatial resolution based on dense ultra-short FBG array with large multiplexing capacity. Opt. Express 2017, 25, 28112–28122. [Google Scholar]
- Zeng, S.; Peng, S.; Li, Z.; Tong, Y. Distributed Measurement Based on Tapered FBG with OFDR. In Proceedings of the 10th International Conference on Measuring Technology and Mechatronics Automation (ICMTMA), Changsha, China, 10–11 February 2018. [Google Scholar]
- Ma, G.M.; Zhou, H.Y.; Li, Y.B.; Zhang, H.C.; Qin, W.Y.; Li, C.R.; Yan, C. High-Resolution Temperature Distribution Measurement of GIL Spacer Based on OFDR and Ultraweak FBGs. IEEE Trans. Instrum. Meas. 2020, 69, 3866–3873. [Google Scholar] [CrossRef]
- Li, T.; Guo, J.; Tan, Y.; Zhou, Z. Recent Advances and Tendency in Fiber Bragg Grating-Based Vibration Sensor: A Review. IEEE Sens. J. 2020, 20, 12074–12087. [Google Scholar] [CrossRef]
- Yuksel, K.; Moeyaert, V.; Megret, P.; Wuilpart, M. Complete Analysis of Multireflection and Spectral-Shadowing Crosstalks in a Quasi-Distributed Fiber Sensor Interrogated by OFDR. IEEE Sens. J. 2012, 12, 988–995. [Google Scholar] [CrossRef] [Green Version]








| Serial | Wavelength (nm) | Position (m) | 3 dB Width 1 (cm) | |
|---|---|---|---|---|
| Group 1 | FBG1 | 1535 | 5.2112 | 5.15 |
| FBG2 | 1555 | 5.7221 | 13.07 | |
| Group 2 | FBG3 | 1535 | 10.0136 | 18.90 |
| FBG4 | 1555 | 10.5245 | 18.08 | |
| Group 3 | FBG5 | 1535 | 12.3638 | 16.60 |
| FBG6 | 1555 | 13.0752 | 17.89 | |
Publisher’s Note: MDPI stays neutral with regard to jurisdictional claims in published maps and institutional affiliations. |
© 2022 by the authors. Licensee MDPI, Basel, Switzerland. This article is an open access article distributed under the terms and conditions of the Creative Commons Attribution (CC BY) license (https://creativecommons.org/licenses/by/4.0/).
Share and Cite
Feng, Z.; Cheng, Y.; Chen, M.; Yuan, L.; Hong, D.; Li, L. Temperature-Compensated Multi-Point Strain Sensing Based on Cascaded FBG and Optical FMCW Interferometry. Sensors 2022, 22, 3970. https://doi.org/10.3390/s22113970
Feng Z, Cheng Y, Chen M, Yuan L, Hong D, Li L. Temperature-Compensated Multi-Point Strain Sensing Based on Cascaded FBG and Optical FMCW Interferometry. Sensors. 2022; 22(11):3970. https://doi.org/10.3390/s22113970
Chicago/Turabian StyleFeng, Zhiyu, Yu Cheng, Ming Chen, Libo Yuan, Deng Hong, and Litong Li. 2022. "Temperature-Compensated Multi-Point Strain Sensing Based on Cascaded FBG and Optical FMCW Interferometry" Sensors 22, no. 11: 3970. https://doi.org/10.3390/s22113970
APA StyleFeng, Z., Cheng, Y., Chen, M., Yuan, L., Hong, D., & Li, L. (2022). Temperature-Compensated Multi-Point Strain Sensing Based on Cascaded FBG and Optical FMCW Interferometry. Sensors, 22(11), 3970. https://doi.org/10.3390/s22113970

