Autoencoder-Based Extrasystole Detection and Modification of RRI Data for Precise Heart Rate Variability Analysis
Abstract
1. Introduction
2. Methods
2.1. Extrasystole
2.1.1. Premature Ventricular Contraction (PVC)
2.1.2. Premature Atrial Contraction (PAC)
2.2. Extrasystole Detection and Modification
2.2.1. Autoencoder (AE) and Denoising Autoencoder (DAE)
2.2.2. AE-Based Extrasystole Detection (AED)
2.2.3. DAE-Based Extrasystole Modification (DAEM)
| Algorithm 1 DAEM |
| 1: while do |
| 2: Measure the tth RRI . |
| 3: Apply AED to . |
| 4: if is normal. then |
| 5: and return to step 2. |
| 6: else if is other types of arrhythmia. then |
| 7: Display “other types of arrhythmia.” |
| 8: and return to step 2. |
| 9: else if is R wave detection error. then |
| 10: Display “R wave detection error.” |
| 11: and return to step 2. |
| 12: else |
| 13: Wait measurement of the and RRI and . |
| 14: Configure the input RRIs: . |
| 15: where is the mean of x. |
| 16: Load either of DAE models: or according to the discriminated type of extrasystole by AED. |
| 17: Input to the loaded DAE model and get the output . |
| 18: . |
| 19: . |
| 20: . |
| 21: Output as the modified RRI. |
| 22: and return to step 2. |
| 23: end if |
| 24: end while |
2.3. Data Description
- Subject A: training data for AED.
- Subject B: training data for DAEM.
- Subjects C and D: parameter tuning data for AED.
- Subjects E and F: parameter tuning data for DAEM.
- Subjects G–L: test data without any ectopic RRIs.
- Subjects M–R: test data with ectopic RRIs.
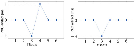
- PVC: PVC alters both the pre-PVC RRI and the post-PVC RRI but usually does not affect other RRIs; the former RRI becomes short, and the latter RRI becomes long to compensate the heartbeat timing. To simulate a compensatory pause of PVC, artificial noise was added at random points, as shown in Figure 6 (left). The peak height of H was randomly set as 100 ms ms so that the QT interval did not become shorter than the healthy QT interval [53]. In this research, we assumed that PVC on a T wave and successive PVCs did not occur because the target was a healthy person who rarely had successive extrasystoles.
- PAC: In PAC occurrence, only the former RRI becomes short, and heartbeat timing is not compensated. To simulate these characteristics, artificial noise was added at random points, which is shown in Figure 6 (right). The peak height of the artifact was randomly set between as 100 ms ms so that the QT interval did not become shorter than the healthy QT interval [53]. We assumed that successive PACs did not occur because the target was a healthy person who rarely had successive extrasystoles.
3. Results
3.1. Performance Evaluation
3.2. Extrasystole Detection
3.3. PVC Modification
3.4. PAC Modification
4. Discussion
5. Conclusions
Author Contributions
Funding
Institutional Review Board Statement
Informed Consent Statement
Data Availability Statement
Conflicts of Interest
Appendix A. Heart Rate Variability Analysis
- meanNN: Mean of RRI.
- SDNN: Standard deviation of RRI.
- Total Power (TP): Variance of RRI.
- RMSSD: Root means square of the difference of adjacent RRI.
- NN50: Number of pairs of adjacent RRI, whose difference is more than 50 ms.
- LF: Power of the low-frequency band (0.04–0.15Hz) in PSD. LF reflects the activity of both the sympathetic and parasympathetic nervous systems.
- HF: Power of the high-frequency band (0.15–0.4Hz) in PSD. HF reflects the parasympathetic nervous system activity.
- LF/HF: Ratio of LF to HF. LF/HF expresses the balance between the sympathetic nervous system activity and the parasympathetic nervous system activity.
References
- Wehrwein, E.A.; Orer, H.S.; Barman, S.M. Overview of the Anatomy, Physiology, and Pharmacology of the Autonomic Nervous System. Compr. Physiol. 2016, 6, 1239–1278. [Google Scholar] [PubMed]
- Task Force of The European Society of Cardiology and The North American Society of Pacing and Electrophysiology. Guidelines heart rate variability—Standards of measurement, physiological interpretation, and clinical use. Eur. Heart J. 1996, 115, 354–381. [Google Scholar]
- Kleiger, R.E.; Miller, J.P.; Bigger, J.T.; Moss, A.J. Decreased heart rate variability and its association with increased mortality after acute myocardial infarction. Am. J. Cardiol. 1987, 59, 256–262. [Google Scholar] [CrossRef]
- Malliani, A.; Pagani, M.; Lombardi, F.; Cerutti, S. Cardiovascular neural regulation explored in the frequency domain. Circulation 1991, 84, 482–492. [Google Scholar] [CrossRef] [PubMed]
- Tarvainen, M.P.; Niskanen, J.P.; Lipponen, J.A.; Ranta-aho, P.O.; Karjalainen, P.A. Kubios HRV–Heart rate variability analysis software. Comput. Methods Programs Biomed. 2014, 113, 210–220. [Google Scholar] [CrossRef]
- Vest, A.N.; Da Poian, G.; Li, Q.; Liu, C.; Nemati, S.; Shah, A.J.; Clifford, G.D. An open source benchmarked toolbox for cardiovascular waveform and interval analysis. Physiol. Meas. 2018, 39, 105004. [Google Scholar] [CrossRef] [PubMed]
- Versace, F.; Mozzato, M.; De Min Tona, G.; Cavallero, C.; Stegagno, L. Heart rate variability during sleep as a function of the sleep cycle. Biol. Psychol. 2003, 63, 146–162. [Google Scholar] [CrossRef]
- Vicente, J.; Laguna, P.; Bartra, A.; Bailon, R. Drowsiness detection using heart rate variability. Med. Biol. Eng. Comput. 2016, 54, 927–937. [Google Scholar] [CrossRef]
- Abe, E.; Fujiwara, K.; Hiraoka, T.; Yamakawa, T.; Kano, M. Development of Drowsiness Detection Method by Integrating Heart Rate Variability Analysis and Multivariate Statistical Process Control. SICE JCMSI 2016, 9, 10–17. [Google Scholar] [CrossRef]
- Fujiwara, K.; Abe, E.; Kamata, K.; Nakayama, C.; Suzuki, Y.; Yamakawa, T.; Hiraoka, T.; Kano, M.; Sumi, Y.; Masuda, F.; et al. Heart Rate Variability-based Driver Drowsiness Detection and its Validation with EEG. IEEE Trans. Biomed. Eng. 2019, 66, 1769–1778. [Google Scholar] [CrossRef]
- Ibe, T.; Fujiwara, K.; Hiraoka, T.; Abe, E.; Yamakawa, T. Development of Game-like System using Active Behavior Input for Wakefulness Keeping Support in Driving. IEEE Trans. Intell. Veh. 2020. [Google Scholar] [CrossRef]
- Somers, V.K. Sympathetic neural mechanisms in obstructive sleep apnea. J. Clin. Investig. 1995, 96, 1897–1909. [Google Scholar] [CrossRef]
- Dingli, K. Spectral oscillations of RR intervals in sleep apnoea/hypopnoea syndrome patients. Eur. Respir. J. 2003, 22, 943–950. [Google Scholar] [CrossRef]
- Nakayama, C.; Fujiwara, K.; Sumi, Y.; Matsuo, M.; Kano, M.; Kadotani, H. Application of Artificial Intelligence to Obstructive Sleep Apnea Screening using Heart Rate Variability Analysis. Physiol. Meas. 2019, 40, 5001. [Google Scholar] [CrossRef]
- Iwasaki, A.; Nakayama, C.; Fujiwara, K.; Sumi, Y.; Matsuo, M.; Kano, M.; Kadotani, H. Screening of sleep apnea based on heart rate variability and long short-term memory. Sleep Breath. 2021. [Google Scholar] [CrossRef]
- Jeppesen, J.; Beniczky, S.; Johansen, P.; Sidenius, P.; Fuglsang-Frederiksen, A. Detection of epileptic seizures with a modified heart rate variability algorithm based on Lorenz plot. Seizure 2015, 24, 1–7. [Google Scholar] [CrossRef]
- Behbahani, S.; Dabanloo, N.J.; Nasrabadi, A.M.; Teixeira, C.A.; Dourado, A. Pre-ictal heart rate variability assessment of epileptic seizures by means of linear and non-linear analyses. Anadolu Kardiyol Derg. 2013, 13, 797–803. [Google Scholar] [CrossRef]
- Calandra-Buonaura, G.; Toschi, N.; Provini, F.; Corazza, I.; Bisulli, F.; Barletta, G.; Vandi, S.; Montagna, P.; Guerrisi, M.; Tinuper, P.; et al. Physiologic autonomic arousal heralds motor manifestations of seizures in nocturnal frontal lobe epilepsy: Implications for pathophysiology. Sleep Med. 2012, 13, 252–262. [Google Scholar] [CrossRef]
- Fujiwara, K.; Miyajima, M.; Yamakawa, T.; Abe, E.; Suzuki, Y.; Sawada, Y.; Kano, M.; Maehara, T.; Ohta, K.; Sasai-Sakuma, T.; et al. Epileptic seizure prediction based on multivariate statistical process control of heart rate variability features. IEEE Trans. Biomed. Eng. 2016, 63, 1321–1332. [Google Scholar]
- Messineo, F.C. Ventricular ectopic activity: Prevalence and risk. Am. J. Cardiol. 1989, 64, 53J–56J. [Google Scholar] [CrossRef]
- Marcus, G.M. Evaluation and Management of Premature Ventricular Complexes. Circulation 2020, 141, 1404–1418. [Google Scholar] [CrossRef]
- Wolpert, D.H.; Macready, W.G. No free lunch theorems for optimization. IEEE Trans. Evol. Comput. 1997, 1, 67–82. [Google Scholar] [CrossRef]
- Perez-Silva, A.; Merino, J.L. Frequent ventricular extrasystoles: Significance, prognosis and treatment. Eur. Soc. Cardiol. 2011, 9, 17. [Google Scholar]
- Gambarotta, N.; Aletti, F.; Baselli, G.; Ferrario, M. A review of methods for the signal quality assessment to improve reliability of heart rate and blood pressures derived parameters. Med. Biol. Eng. Comput. 2016, 54, 1025–1035. [Google Scholar] [CrossRef] [PubMed]
- Kalkstein, N.; Kinar, Y.; Na’aman, M.; Neumark, N.; Akiva, P. Using machine learning to detect problems in ECG data collection. In Proceedings of the 2011 Computing in Cardiology, Hangzhou, China, 18–21 September 2011; pp. 437–440. [Google Scholar]
- Jung, Y.; Kim, H. Detection of PVC by using a wavelet-based statistical ECG monitoring procedure. Biomed. Signal Process. Control 2017, 36, 176–182. [Google Scholar] [CrossRef]
- Andreao, R.V.; Dorizzi, B.; Boudy, J. ECG signal analysis through hidden Markov models. IEEE Trans. Biomed. Eng. 2006, 53, 1541–1549. [Google Scholar] [CrossRef] [PubMed]
- Lim, J.S. Finding Features for Real-Time Premature Ventricular Contraction Detection Using a Fuzzy Neural Network System. IEEE Trans. Neural Netw. 2009, 20, 522–527. [Google Scholar] [CrossRef]
- Kamaleswaran, R.; Mahajan, R.; Akbilgic, O. A robust deep convolutional neural network for the classification of abnormal cardiac rhythm using single lead electrocardiograms of variable length. Physiol. Meas. 2018, 39, 035006. [Google Scholar] [CrossRef]
- Yamakawa, T.; Miyajima, M.; Fujiwara, K.; Kano, M.; Suzuki, Y.; Watanabe, Y.; Watanabe, S.; Hoshida, T.; Inaji, M.; Maehara, T. Wearable Epileptic Seizure Prediction System with Machine-Learning-Based Anomaly Detection of Heart Rate Variability. Sensors 2020, 20, 3987. [Google Scholar] [CrossRef]
- Lippman, N.; Stein, K.M.; Lerman, B.B. Comparison of methods for removal of ectopy in measurement of heart rate variability. Am. J. Physiol. 1994, 267, H411–H418. [Google Scholar] [CrossRef]
- Clifford, G.D.; Tarassenko, L. Quantifying errors in spectral estimates of HRV due to beat replacement and resampling. IEEE Trans. Biomed. Eng. 2005, 52, 630–638. [Google Scholar] [CrossRef]
- Mateo, J.; Laguna, P. Analysis of Heart Rate Variability in the Presence of Ectopic Beats Using the Heart Timing Signal. IEEE Trans. Biomed. Eng. 2003, 50, 334–343. [Google Scholar] [CrossRef]
- Mateo, J.; Laguna, P. Improved heart rate variability signal analysis from the beat occurrence times according to the IPFM model. IEEE Trans. Biomed. Eng. 2000, 47, 985–996. [Google Scholar] [CrossRef]
- Kamata, K.; Kinoshita, K.; Fujiwara, K.; Kano, M. Missing RRI Interpolation Algorithm based on Locally Weighted Partial Least Squares for Precise Heart Rate Variability Analysis. Sensors 2018, 18, 3870. [Google Scholar] [CrossRef]
- Hinton, G.E.; Salakhutdinov, R.R. Reducing the Dimensionality of Data with Neural Networks. Science 2006, 313, 504–507. [Google Scholar] [CrossRef]
- Vincent, P.; Larochelle, H.; Lajoie, I.; Bengio, Y.; Manzagol, P. Stacked Denoising Autoencoders: Learning Useful Representations in a Deep Network with a Local Denoising Criterion. J. Mach. Learn. Res. 2010, 11, 3371–3408. [Google Scholar]
- Miyatani, S.; Fujiwara, K.; Kano, M. Deniosing Autoencoder-based Modification of RRI data with Premature Ventricular Contraction for Precise Heart Rate Variability Analysis. Conf. Proc. IEEE Eng. Med. Biol. Soc. 2018, 2018, 5018–5021. [Google Scholar]
- Brodsky, M.; Wu, D.; Denes, P.; Kanakis, C.; Rosen, K.M. Arrhythmias documented by 24 hour continuous electrocardiographic monitoring in 50 male medical students without apparent heart disease. Am. J. Cardiol. 1977, 39, 390–395. [Google Scholar] [CrossRef]
- Kostis, J.B.; McCrone, K.; Moreyra, A.E.; Gotzoyannis, S.; Aglitz, N.M.; Natarajan, N.; Kuo, P.T. Premature ventricular complexes in the absence of identifiable heart disease. Circulation 1981, 63, 1351–1356. [Google Scholar] [CrossRef]
- Lee, G.K.; Klarich, K.W.; Grogan, M.; Cha, Y.M. Premature ventricular contraction-induced cardiomyopathy: A treatable condition. Circ. Arrhythm Electrophysiol. 2012, 5, 229–236. [Google Scholar]
- Jensen, T.J.; Haarbo, J.; Pehrson, S.M.; Thomsen, B. Impact of premature atrial contractions in atrial fibrillation. Pacing Clin. Electrophysiol. 2004, 27, 447–452. [Google Scholar] [CrossRef] [PubMed]
- Conen, D.; Adam, M.; Roche, F.; Barthelemy, J.C.; Felber Dietrich, D.; Imboden, M.; Kunzli, N.; von Eckardstein, A.; Regenass, S.; Hornemann, T.; et al. Premature atrial contractions in the general population: Frequency and risk factors. Circulation 2012, 126, 2302–2308. [Google Scholar] [CrossRef] [PubMed]
- Kramer, M.A. Nonlinear principal component analysis using autoassociative neural networks. AIChE J. 1991, 37, 233–243. [Google Scholar] [CrossRef]
- Sakurada, M.; Yairi, T. Anomaly Detection Using Autoencoders with Nonlinear Dimensionality Reduction. In Proceedings of the MLSDA 2014 2Nd Workshop on Machine Learning for Sensory Data Analysis, Gold Coast, Australia, 2 December 2014; pp. 4:4–4:11. [Google Scholar]
- Zhou, C.; Paffenroth, R.C. Anomaly Detection with Robust Deep Autoencoders. In Proceedings of the 23rd ACM SIGKDD International Conference on Knowledge Discovery and Data Mining, Halifax, NS, Canada, 13–17 August 2017; pp. 665–674. [Google Scholar] [CrossRef]
- Vincent, P.; Larochelle, H.; Bengio, Y.; Manzagol, P.A. Extracting and Composing Robust Features with Denoising Autoencoders. In Proceedings of the 25th International Conference on Machine Learning, Helsinki, Finland, 5–9 July 2008; pp. 1096–1103. [Google Scholar]
- MacGregor, J.F.; Kourti, T. Statistical process control of multivariate processes. Control Eng. Pract. 1995, 3, 403–414. [Google Scholar] [CrossRef]
- Kano, M. A New Multivariate Statistical Process Monitoring Method using Principal Component Analysis. Comput. Chem. Eng. 2001, 25, 1103–1113. [Google Scholar] [CrossRef]
- MIT-BIH Normal Sinus Rhythm Database. Available online: https://www.physionet.org/content/nsrdb/1.0.0/ (accessed on 1 March 2021).
- Goldberger, A.L.; Amaral, L.A.; Glass, L.; Hausdorff, J.M.; Ivanov, P.C.; Mark, R.G.; Mietus, J.E.; Moody, G.B.; Peng, C.K. PhysioBank, PhysioToolkit, and PhysioNet: Components of a new research resource for complex physiologic signals. Circulation 2000, 101, E215–E220. [Google Scholar] [CrossRef]
- Moody, G.B.; Mark, R.G. The impact of the MIT-BIH arrhythmia database. IEEE Eng. Med. Biol. Mag. 2001, 20, 45–50. [Google Scholar] [CrossRef]
- Lilly, L.S. (Ed.) Pathophysiology of Heart Disease: A Collaborative Project of Medical Students and Faculty, 6th ed.; Lippincott Williams & Wilkins: Philadelphia, PA, USA, 2016. [Google Scholar]
- Ide, T.; Tsuda, K. Change-Point Detection using Krylov Subspace Learning. In Proceedings of the 2007 SIAM International Conference on Data Mining, Minneapolis, MI, USA, 26–28 April 2007; pp. 515–520. [Google Scholar] [CrossRef]
- Fujiwara, K.; Kano, M.; Hasebe, S. Soft-Sensor Development using Correlation-Based Just-In-Time modeling. AIChE J. 2009, 55, 1754–1765. [Google Scholar] [CrossRef]
- Kim, S.; Okajima, R.; Kano, M.; Hasebe, S. Development of soft-sensor using locally weighted PLS with adaptive similarity measure. Chemometr. Intell. Lab. Syst. 2013, 124, 43–49. [Google Scholar] [CrossRef]
- Kano, M.; Fujiwara, K. Virtual Sensing Technology in Process Industries: Trends and Challenges Revealed by Recent Industrial Applications. J. Chem. Eng. Jpn. 2013, 46, 1–17. [Google Scholar] [CrossRef]
- Zoni-Berisso, M.; Lercari, F.; Carazza, T.; Domenicucci, S. Epidemiology of atrial fibrillation: European perspective. Clin. Epidemiol. 2014, 6, 213–220. [Google Scholar] [CrossRef]
- Lin, C.; Chang, K.; Lin, C.; Chiang, C.; Lu, S.; Chang, S.; Lin, B.; Liang, H.; Chen, R.; Lee, Y.; et al. An Intelligent Telecardiology System Using a Wearable and Wireless ECG to Detect Atrial Fibrillation. IEEE Trans. Inf. Technol. Biomed. 2010, 14, 726–733. [Google Scholar]
- Zhou, X.; Ding, H.; Wu, W.; Zhang, Y. A Real-Time Atrial Fibrillation Detection Algorithm Based on the Instantaneous State of Heart Rate. PLoS ONE 2015, 10, e0136544. [Google Scholar] [CrossRef]
- Pan, J.; Tompkins, W.J. A Real-Time QRS Detection Algorithm. IEEE Trans. Biomed. Eng. 1985, 32, 230–236. [Google Scholar] [CrossRef]















| PVC | PAC | |
|---|---|---|
| RRI | 31 | 73 |
| meanNN | 45 | 90 |
| SDNN | 12 | 45 |
| Total Power | 13 | 77 |
| RMSSD | 4 | 29 |
| NN50 | 20 | 66 |
| LF | 31 | 77 |
| HF | 26 | 72 |
| LF/HF | 27 | 70 |
Publisher’s Note: MDPI stays neutral with regard to jurisdictional claims in published maps and institutional affiliations. |
© 2021 by the authors. Licensee MDPI, Basel, Switzerland. This article is an open access article distributed under the terms and conditions of the Creative Commons Attribution (CC BY) license (https://creativecommons.org/licenses/by/4.0/).
Share and Cite
Fujiwara, K.; Miyatani, S.; Goda, A.; Miyajima, M.; Sasano, T.; Kano, M. Autoencoder-Based Extrasystole Detection and Modification of RRI Data for Precise Heart Rate Variability Analysis. Sensors 2021, 21, 3235. https://doi.org/10.3390/s21093235
Fujiwara K, Miyatani S, Goda A, Miyajima M, Sasano T, Kano M. Autoencoder-Based Extrasystole Detection and Modification of RRI Data for Precise Heart Rate Variability Analysis. Sensors. 2021; 21(9):3235. https://doi.org/10.3390/s21093235
Chicago/Turabian StyleFujiwara, Koichi, Shota Miyatani, Asuka Goda, Miho Miyajima, Tetsuo Sasano, and Manabu Kano. 2021. "Autoencoder-Based Extrasystole Detection and Modification of RRI Data for Precise Heart Rate Variability Analysis" Sensors 21, no. 9: 3235. https://doi.org/10.3390/s21093235
APA StyleFujiwara, K., Miyatani, S., Goda, A., Miyajima, M., Sasano, T., & Kano, M. (2021). Autoencoder-Based Extrasystole Detection and Modification of RRI Data for Precise Heart Rate Variability Analysis. Sensors, 21(9), 3235. https://doi.org/10.3390/s21093235

