Prediction of Fruity Aroma Intensity and Defect Presence in Virgin Olive Oil Using an Electronic Nose
Abstract
1. Introduction
2. Related Works
3. Materials and Methods
3.1. Olive Oil Samples
3.2. Chemical and Sensory Analysis of Oil
3.3. Volatile Emission by Electronic-Nose
3.4. Data Analysis
- Peak value of the curve (SxM),
- Final value of the curve (SxF).
3.5. Prediction of Fruity Aroma
Prediction of Defect
4. Results and Discussion
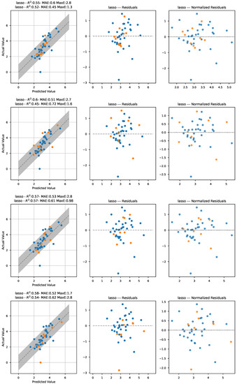
4.1. Prediction of Fruity Aroma
4.2. Detection of Defects
5. Conclusions
Author Contributions
Funding
Institutional Review Board Statement
Informed Consent Statement
Data Availability Statement
Conflicts of Interest
References
- Boskou, D. Olive and Olive Oil Bioactive Constituents; Elsevier Inc.: Amsterdam, The Netherlands, 2015; pp. 1–397. [Google Scholar] [CrossRef]
- Hernaez, R.; Kramer, J.R.; Liu, Y.; Tansel, A.; Natarajan, Y.; Hussain, K.B.; Ginès, P.; Solà, E.; Moreau, R.; Gerbes, A.; et al. Prevalence and short-term mortality of acute-on-chronic liver failure: A national cohort study from the USA. J. Hepatol. 2019, 70, 639–647. [Google Scholar] [CrossRef]
- Battino, M.; Forbes-Hernández, T.Y.; Gasparrini, M.; Afrin, S.; Cianciosi, D.; Zhang, J.; Manna, P.P.; Reboredo-Rodríguez, P.; Varela Lopez, A.; Quiles, J.L.; et al. Relevance of functional foods in the Mediterranean diet: The role of olive oil, berries and honey in the prevention of cancer and cardiovascular diseases. Crit. Rev. Food Sci. Nutr. 2019, 59, 893–920. [Google Scholar] [CrossRef]
- Conte, L.; Bendini, A.; Valli, E.; Lucci, P.; Moret, S.; Maquet, A.; Lacoste, F.; Brereton, P.; García-González, D.L.; Moreda, W.; et al. Olive oil quality and authenticity: A review of current EU legislation, standards, relevant methods of analyses, their drawbacks and recommendations for the future. Trends Food Sci. Technol. 2019. [Google Scholar] [CrossRef]
- Sanmartin, C.; Venturi, F.; Sgherri, C.; Nari, A.; Macaluso, M.; Flamini, G.; Quartacci, M.F.; Taglieri, I.; Andrich, G.; Zinnai, A. The effects of packaging and storage temperature on the shelf-life of extra virgin olive oil. Heliyon 2018, 4, e00888. [Google Scholar] [CrossRef]
- Sanmartin, C.; Venturi, F.; Macaluso, M.; Nari, A.; Quartacci, M.F.; Sgherri, C.; Flamini, G.; Taglieri, I.; Ascrizzi, R.; Andrich, G.; et al. Preliminary Results About the Use of Argon and Carbon Dioxide in the Extra Virgin Olive Oil (EVOO) Storage to Extend Oil Shelf Life: Chemical and Sensorial Point of View. Eur. J. Lipid Sci. Technol. 2018, 120, 1800156. [Google Scholar] [CrossRef]
- Kiritsakis, A.K. Flavor components of olive oil—A review. J. Am. Oil Chem. Soc. 1998, 75, 673–681. [Google Scholar] [CrossRef]
- Campestre, C.; Angelini, G.; Gasbarri, C.; Angerosa, F. The Compounds Responsible for the Sensory Profile in Monovarietal Virgin Olive Oils. Molecules 2017, 22, 1833. [Google Scholar] [CrossRef]
- Angerosa, F.; Mostallino, R.; Basti, C.; Vito, R.; Serraiocco, A. Virgin olive oil differentiation in relation to extraction methodologies. J. Sci. Food Agric. 2000, 80, 2190–2195. [Google Scholar] [CrossRef]
- Bendini, A.; Valli, E.; Barbieri, S.; Gallina, T. Sensory Analysis of Virgin Olive Oil. In Olive Oil—Constituents, Quality, Health Properties and Bioconversions; InTech: London, UK, 2012. [Google Scholar] [CrossRef]
- Aparicio, R.; Morales, M.T.; García-González, D.L. Towards new analyses of aroma and volatiles to understand sensory perception of olive oil. Eur. J. Lipid Sci. Technol. 2012, 114, 1114–1125. [Google Scholar] [CrossRef]
- Auvray, M.; Spence, C. The multisensory perception of flavor. Conscious. Cognit. 2008. [Google Scholar] [CrossRef] [PubMed]
- Gerhardt, N.; Schwolow, S.; Rohn, S.; Pérez-Cacho, P.R.; Galán-Soldevilla, H.; Arce, L.; Weller, P. Quality assessment of olive oils based on temperature-ramped HS-GC-IMS and sensory evaluation: Comparison of different processing approaches by LDA, kNN, and SVM. Food Chem. 2019, 278, 720–728. [Google Scholar] [CrossRef] [PubMed]
- Kemp, S.E.; Hort, J.; Hollowood, T. Descriptive Analysis in Sensory Evaluation; John Wiley & Sons, Ltd.: Chichester, UK, 2018; pp. 1–724. [Google Scholar] [CrossRef]
- Romero, I.; García-González, D.L.; Aparicio-Ruiz, R.; Morales, M.T. Validation of SPME-GCMS method for the analysis of virgin olive oil volatiles responsible for sensory defects. Talanta 2015, 134, 394–401. [Google Scholar] [CrossRef]
- Di Natale, C.; Paolesse, R.; D’Amico, A. Food and Beverage Quality Assurance. In Handbook of Machine Olfaction; Wiley-VCH Verlag GmbH & Co. KGaA: Weinheim, Germany, 2004; pp. 505–524. [Google Scholar] [CrossRef]
- Oliver-Pozo, C.; Aparicio-Ruiz, R.; Romero, I.; García-González, D.L. Analysis of Volatile Markers for Virgin Olive Oil Aroma Defects by SPME-GC/FID: Possible Sources of Incorrect Data. J. Agric. Food Chem. 2015, 63, 10477–10483. [Google Scholar] [CrossRef] [PubMed]
- Rusinek, R.; Siger, A.; Gawrysiak-witulska, M.; Rokosik, E.; Malaga-toboła, U. Original article Application of an electronic nose for determination of pre- pressing treatment of rapeseed based on the analysis of volatile compounds contained in pressed oil. Int. J. Food Sci. Technol. 2020, 55, 2161–2170. [Google Scholar] [CrossRef]
- Rusinek, R.; Kmiecik, D.; Gawrysiak-Witulska, M.; Malaga-Tobola, U.; Tabor, S.; Findura, P.; Siger, A.; Gancarz, M. Identification of the olfactory profile of rapeseed oil as a function of heating time and ratio of volume and surface area of contact with oxygen using an electronic nose. Sensors 2021, 21, 303. [Google Scholar] [CrossRef]
- Teixeira, G.G.; Dias, L.G.; Rodrigues, N.; Marx, I.M.G.; Ana, C.; Veloso, A.; Pereira, A. Application of a lab-made electronic nose for extra virgin olive oils commercial classification according to the perceived fruitiness intensity. Talanta 2021, 226. [Google Scholar] [CrossRef]
- Zhang, X.; Cheng, J.; Wu, L.; Mei, Y.; Jaffrezic-Renault, N.; Guo, Z. An overview of an artificial nose system. Talanta 2018. [Google Scholar] [CrossRef]
- Rayappan, J.B.B.; Kulandaisamy, A.J.; Ezhilan, M.; Srinivasan, P.; Mani, G.K. Developments in Electronic Noses for Quality and Safety Control. In Advances in Food Diagnostics; John Wiley & Sons, Ltd.: Chichester, UK, 2017; pp. 63–96. [Google Scholar] [CrossRef]
- Majchrzak, T.; Wojnowski, W.; Dymerski, T.; Gȩbicki, J.; Namieśnik, J. Electronic noses in classification and quality control of edible oils: A review. Food Chem. 2018. [Google Scholar] [CrossRef]
- Gliszczyńska-Świgło, A.; Chmielewski, J. Electronic Nose as a Tool for Monitoring the Authenticity of Food. A Review. Food Anal. Method. 2017. [Google Scholar] [CrossRef]
- Sanaeifar, A.; ZakiDizaji, H.; Jafari, A.; de la Guardia, M. Early detection of contamination and defect in foodstuffs by electronic nose: A review. TrAC Trends Anal. Chem. 2017. [Google Scholar] [CrossRef]
- Berna, A. Metal oxide sensors for electronic noses and their application to food analysis. Sensors 2010, 10, 3882–3910. [Google Scholar] [CrossRef]
- Schweizer-Berberich, P.M.; Vaihinger, S.; Göpel, W. Characterisation of food freshness with sensor arrays. Sens. Actuators B Chem. 1994, 18, 282–290. [Google Scholar] [CrossRef]
- Ying, X.; Zinnai, A.; Venturi, F.; Sanmartin, C.; Deng, S. Freshness evaluation of grass carp (Ctenopharyngodon idellus) by electronic nose. J. Food Measur. Character. 2017, 11, 1026–1034. [Google Scholar] [CrossRef]
- Jia, W.; Liang, G.; Wang, Y.; Wang, J. Electronic Noses as a Powerful Tool for Assessing Meat Quality: A Mini Review. Food Anal. Method. 2017. [Google Scholar] [CrossRef]
- Gobbi, E.; Falasconi, M.; Zambotti, G.; Sberveglieri, V.; Pulvirenti, A.; Sberveglieri, G. Rapid diagnosis of Enterobacteriaceae in vegetable soups by a metal oxide sensor based electronic nose. Sens. Actuators B Chem. 2015, 207, 1104–1113. [Google Scholar] [CrossRef]
- Concina, I.; Falasconi, M.; Gobbi, E.; Bianchi, F.; Musci, M.; Mattarozzi, M.; Pardo, M.; Mangia, A.; Careri, M.; Sberveglieri, G. Early detection of microbial contamination in processed tomatoes by electronic nose. Food Control 2009, 20, 873–880. [Google Scholar] [CrossRef]
- Panagou, E.Z.; Sahgal, N.; Magan, N.; Nychas, G.J. Table olives volatile fingerprints: Potential of an electronic nose for quality discrimination. Sens. Actuators B Chem. 2008, 134, 902–907. [Google Scholar] [CrossRef]
- Cosio, M.S.; Romano, A.; Scampicchio, M. Olive Oil and Electronic Nose. In Electronic Noses and Tongues in Food Science; Elsevier Inc.: Amsterdam, The Netherlands, 2016; pp. 83–92. [Google Scholar] [CrossRef]
- Ordukaya, E.; Karlik, B. Quality Control of Olive Oils Using Machine Learning and Electronic Nose. J. Food Qual. 2017, 2017, 1–7. [Google Scholar] [CrossRef]
- Zhou, Q.; Liu, S.; Liu, Y.; Song, H. Comparison of flavour fingerprint, electronic nose and multivariate analysis for discrimination of extra virgin olive oils. R. Soc. Open Sci. 2019, 6, 190002. [Google Scholar] [CrossRef]
- Oates, M.J.; Fox, P.; Sanchez-Rodriguez, L.; Carbonell-Barrachina, Á.A.; Ruiz-Canales, A. DFT based classification of olive oil type using a sinusoidally heated, low cost electronic nose. Comput. Electron. Agric. 2018, 155, 348–358. [Google Scholar] [CrossRef]
- Buratti, S.; Malegori, C.; Benedetti, S.; Oliveri, P.; Giovanelli, G. E-nose, e-tongue and e-eye for edible olive oil characterization and shelf life assessment: A powerful data fusion approach. Talanta 2018, 182, 131–141. [Google Scholar] [CrossRef] [PubMed]
- Jolayemi, O.S.; Tokatli, F.; Buratti, S.; Alamprese, C. Discriminative capacities of infrared spectroscopy and e-nose on Turkish olive oils. Eur. Food Res. Technol. 2017, 243, 2035–2042. [Google Scholar] [CrossRef]
- Navarro Soto, J.P.; Martínez Gila, D.M.; Artero Vázquez, E.; Gómez Ortega, J.; Gámez García, J. Sistema basado en nariz electrónica aplicada sobre aceituna para la determinación de la calidad del aceite de oliva producido. In Proceedings of the XIX Simposio Científico-Técnico de EXPOLIVA 2019, Jaen, Spain, 15–19 May 2019. [Google Scholar]
- International Olive Oil Council. Sensory Analysis of Olive Oil. Method for the Organoleptic Assessment of Virgin Olive Oil; Technical Report; 2011. [Google Scholar]
- Martínez Gila, D.M.; Gámez García, J.; Bellincontro, A.; Mencarelli, F.; Gómez Ortega, J. Fast tool based on electronic nose to predict olive fruit quality after harvest. Postharv. Biol. Technol. 2020, 160, 111058. [Google Scholar] [CrossRef]
- Carmel, L.; Levy, S.; Lancet, D.; Harel, D. A feature extraction method for chemical sensors in electronic noses. Sens. Actuators B Chemical. 2003, 93, 67–76. [Google Scholar] [CrossRef]
- Varoquaux, G.; Buitinck, L.; Louppe, G.; Grisel, O.; Pedregosa, F.; Mueller, A. Scikit-learn. GetMobile Mob. Comput. Commun. 2015, 19, 29–33. [Google Scholar] [CrossRef]
- Hastie, T.; Tibshirani, R.; Friedman, J.H.J.H. The Elements of Statistical Learning: Data Mining, Inference, and Prediction, 2nd ed.; Springer: Berlin/Heidelberg, Germany, 2009; p. 482. [Google Scholar] [CrossRef]










| Number of Samples | AI (g Oleic Acid/100 g Oil) | PV (meq O2/kg Oil) | K232 | K270 | K | EE (mg/kg) | Fruity | Defect | Quality Grade |
|---|---|---|---|---|---|---|---|---|---|
| 21 | 0.16 (0.03) | 4.4 (0.6) | 1.50 (0.10) | 0.15 (0.01) | <0.01 | 7 (5) | 4.1 (0.8) | 0 (0) | EVOO |
| 19 | 0.24 (0.05) | 5.1 (0.8) | 1.50 (0.10) | 0.14 (0.01) | <0.01 | 8 (3) | 2.4 (0.4) | 2.6 (0.3) | VOO |
| 2 | 0.25 (0.01) | 4.3 (0.4) | 1.57 (0.01) | 0.17 (0.01) | <0.01 | 7 (1) | 1.3 (1.7) | 3.6 (0) | LOO |
| Model | Mean Average Error (Training) | Mean Average Error (Testing) | Mean Max Error (Training) | Mean Max Error (Testing) |
|---|---|---|---|---|
| Ridge | 1.09 | 1.06 | 5.12 | 3.4 |
| ElasticNet | 0.54 | 0.59 | 2.31 | 1.58 |
| Lasso | 0.56 | 0.59 | 2.49 | 1.57 |
| Lasso (S2F, S10M) | 0.55 | 0.55 | 2.55 | 1.49 |
| Lasso (S2F, S10M) (VOO, EVO) | 0.49 | 0.51 | 1.52 | 1.18 |
| Model | Training Accuracy (%) | Test Accuracy (%) |
|---|---|---|
| SVM PCA | 85.76 | 80.83 |
| Logistic Regression PCA | 87.54 | 80.83 |
| Logistic Regression | 89.32 | 85.56 |
| Logistic Regression (S2, S6, S9, S10) | 88.11 | 85.56 |
| Logistic Regression (S2, S10) | 85.72 | 88.06 |
| SVM (S2, S10) | 86.36 | 83.06 |
Publisher’s Note: MDPI stays neutral with regard to jurisdictional claims in published maps and institutional affiliations. |
© 2021 by the authors. Licensee MDPI, Basel, Switzerland. This article is an open access article distributed under the terms and conditions of the Creative Commons Attribution (CC BY) license (http://creativecommons.org/licenses/by/4.0/).
Share and Cite
Cano Marchal, P.; Sanmartin, C.; Satorres Martínez, S.; Gómez Ortega, J.; Mencarelli, F.; Gámez García, J. Prediction of Fruity Aroma Intensity and Defect Presence in Virgin Olive Oil Using an Electronic Nose. Sensors 2021, 21, 2298. https://doi.org/10.3390/s21072298
Cano Marchal P, Sanmartin C, Satorres Martínez S, Gómez Ortega J, Mencarelli F, Gámez García J. Prediction of Fruity Aroma Intensity and Defect Presence in Virgin Olive Oil Using an Electronic Nose. Sensors. 2021; 21(7):2298. https://doi.org/10.3390/s21072298
Chicago/Turabian StyleCano Marchal, Pablo, Chiara Sanmartin, Silvia Satorres Martínez, Juan Gómez Ortega, Fabio Mencarelli, and Javier Gámez García. 2021. "Prediction of Fruity Aroma Intensity and Defect Presence in Virgin Olive Oil Using an Electronic Nose" Sensors 21, no. 7: 2298. https://doi.org/10.3390/s21072298
APA StyleCano Marchal, P., Sanmartin, C., Satorres Martínez, S., Gómez Ortega, J., Mencarelli, F., & Gámez García, J. (2021). Prediction of Fruity Aroma Intensity and Defect Presence in Virgin Olive Oil Using an Electronic Nose. Sensors, 21(7), 2298. https://doi.org/10.3390/s21072298

