Low-Power Sensor Interface with a Switched Inductor Frequency Selective Envelope Detector
Abstract
1. Introduction
2. Related Circuits and Principles of Operation
2.1. Switched Inductor Filter
2.2. Switched Harvester on Inductor
3. Proposed Sensor Interface Characteristics and Design Parameters
4. Proposed Sensor Interface Simulation Study
4.1. Simulation Model
4.2. Simulation Results
4.2.1. Switch Control Signal Parameters—Duty Cycle and Frequency
4.2.2. Passive Component Selection—Capacitor and Inductor
5. Proposed Sensor Interface Experimental Characterization
5.1. Measurement Setup
5.2. Measurement Procedure and Results
5.2.1. Frequency Selectivity
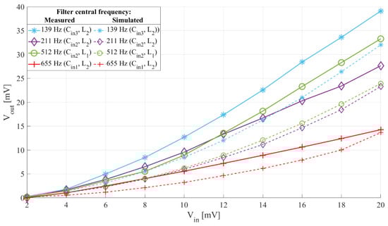
5.2.2. Sensitivity
5.2.3. Power Consumption
6. Design Recommendations
- Determining the wanted frequency characteristic of the interface, by choosing its resonant frequency, fres, (and angular frequency ωres = 2π fres) and Q factor. This choice is made considering the frequency characteristic of the input signal of interest.
- Setting the desired sensitivity at the resonant frequency.
- 4.
- Setting the switch control signal duty cycle to 50%, as this provides a suitable sensitivity, frequency selectivity and power consumption. Small increases of the duty cycle can be considered for slight central frequency tuning, despite of increasing the design complexity, but not over 60%, due to increased power consumption.
- 5.
- Setting the switch control signal frequency, fswitch, to around 2% to 5% higher than double of the frequency of the input signal of interest.
7. Functional Test and Comparison
7.1. Measurement Setup
7.2. Measurement Procedure
7.3. Results
8. Conclusions
Author Contributions
Funding
Institutional Review Board Statement
Informed Consent Statement
Data Availability Statement
Acknowledgments
Conflicts of Interest
References
- Kalsoom, T.; Ramzan, N.; Ahmed, S.; Ur-Rehman, M. Advances in Sensor Technologies in the Era of Smart Factory and Industry 4.0. Sensors 2020, 20, 6783. [Google Scholar] [CrossRef] [PubMed]
- Zikria, Y.B.; Ali, R.; Afzal, M.K.; Kim, S.W. Next-Generation Internet of Things (IoT): Opportunities, Challenges, and Solutions. Sensors 2021, 21, 1174. [Google Scholar] [CrossRef] [PubMed]
- Alioto, M. (Ed.) Enabling the Internet of Things; Springer International Publishing: Cham, Switzerland, 2017; pp. 1–45. ISBN 978-3-319-51480-2. [Google Scholar]
- Goux, N.; Badets, F. Review on Event-Driven Wake-Up Sensors for Ultra-Low Power Time-Domain Design. Midwest Symp. Circuits Syst. 2019, 554–557. [Google Scholar] [CrossRef]
- Olsson, R.H.; Bogoslovov, R.B.; Gordon, C. Event Driven Persistent Sensing: Overcoming the Energy and Lifetime Limitations in Unattended Wireless Sensors. Proc. IEEE Sens. 2016, 1–3. [Google Scholar] [CrossRef]
- Bhattacharyya, S.; Andryzcik, S.; Graham, D.W. An Acoustic Vehicle Detector and Classifier Using a Reconfigurable Analog/Mixed-Signal Platform. J. Low Power Electron. Appl. 2020, 10, 6. [Google Scholar] [CrossRef]
- Mayer, P.; Magno, M.; Benini, L. A2Event: A Micro-Watt Programmable Frequency-Time Detector for Always-On Energy-Neutral Sensing. Sustain. Comput. Inform. Syst. 2019, 25, 100368. [Google Scholar] [CrossRef]
- Jeong, S.; Chen, Y.; Jang, T.; Tsai, J.M.L.; Blaauw, D.; Kim, H.S.; Sylvester, D. Always-On 12-nW Acoustic Sensing and Object Recognition Microsystem for Unattended Ground Sensor Nodes. IEEE J. Solid-State Circuits 2018, 53, 261–274. [Google Scholar] [CrossRef]
- Oletic, D.; Gazivoda, M.; Bilas, V. A Programmable 3-Channel Acoustic Wake-Up Interface Enabling Always-On Detection of Underwater Events Within 20 µA. In Proceedings of the Eurosensors 2018 Conference, Graz, Austria, 9–12 September 2018; pp. 1–7. [Google Scholar]
- Mayer, P.; Magno, M.; Benini, L. Self-Sustaining Acoustic Sensor with Programmable Pattern Recognition for Underwater Monitoring. IEEE Trans. Instrum. Meas. 2019, 68, 2346–2355. [Google Scholar] [CrossRef]
- Galante-Sempere, D.; Ramos-Valido, D.; Lalchand, K.S.; del Pino, J. Low-Power RFED Wake-Up Receiver Design for Low-Cost Wireless Sensor Network Applications. Sensors 2020, 20, 6406. [Google Scholar] [CrossRef] [PubMed]
- Lu, S.; Boussaid, F. A Highly Efficient P-SSHI Rectifier for Piezoelectric Energy Harvesting. IEEE Trans. Power Electron. 2015, 30, 5364–5369. [Google Scholar] [CrossRef]
- Wu, L.; Zhu, P.; Xie, M. A Self-Powered Hybrid SSHI Circuit with a Wide Operation Range for Piezoelectric Energy Harvesting. Sensors 2021, 21, 615. [Google Scholar] [CrossRef] [PubMed]
- Alex-Amor, A.; Moreno-Núñez, J.; Fernández-González, J.M.; Padilla, P.; Esteban, J. Parasitics Impact on the Performance of Rectifier Circuits in Sensing RF Energy Harvesting. Sensors 2019, 19, 4939. [Google Scholar] [CrossRef] [PubMed]
- Gak, J.; Miguez, M.; Alvarez, E.; Arnaud, A. Integrated Ultra-Low Power Precision Rectifiers for Implantable Medical Devices. In Proceedings of the 2019 Argentine Conference on Electronics (CAE), Mar del Plata, Argentina, 14–15 March 2019; pp. 27–30. [Google Scholar] [CrossRef]
- Trigona, C.; Giuffrida, S.; Andò, B.; Baglio, S.; Elettrica, I.; Doria, V.A. Micromachined “Random Mechanical Harvester on Inductor ” to Recovery Energy from Very Low-Amplitude Vibrations with Zero-Voltage Threshold. In Proceedings of the 2016 IEEE SENSORS, Orlando, FL, USA, 30 October–3 November 2016; pp. 2–4. [Google Scholar] [CrossRef]
- Gazivoda, M.; Oletic, D.; Bilas, V. Characterization and Comparison of Envelope Detectors for Wake-up Sensor Interfaces at Audio Frequencies. In Proceedings of the 2020 IEEE International Instrumentation and Measurement Technology Conference (I2MTC), Dubrovnik, Croatia, 25–28 May 2020; pp. 1–6. [Google Scholar] [CrossRef]
- Gazivoda, M.; Oletić, D.; Trigona, C.; Bilas, V. Passive Extraction of Signal Feature Using a Rectifier with a Mechanically Switched Inductor for Low Power Acoustic Event Detection. Sensors 2020, 20, 5445. [Google Scholar] [CrossRef] [PubMed]
- Argyrou, M.C.; Marouchos, C.C.; Darwish, M.; Iosif, E.; Paterakis, F. Investigation of the Switched Inductor Circuit for Harmonics Compensation. In Proceedings of the 2017 52nd International Universities Power Engineering Conference, UPEC 2017, Heraklion, Greece, 28–31 August 2017; Volume 2017, pp. 1–5. [Google Scholar] [CrossRef]
- Marouchos, C.C. The Switching Function: Analysis of Power Electronic Circuits; The Institution of Engineering and Technology: London, UK, 2006; ISBN 0896038890. [Google Scholar]
- Ott, H.W. Noise Reduction Techniques in Electronic Systems; Wiley-Interscience: Livingston, NJ, USA, 1988; ISBN 0-471-85068-3. [Google Scholar]
- Ming, Y.; Ziping, C.; Jun, L. Characterization the Influences of Diodes to Piezoelectric Energy Harvester. Int. J. Smart Nano Mater. 2018, 9, 151–166. [Google Scholar] [CrossRef]
- Thoen, B.; Ottoy, G.; Rosas, F.; Lauwereins, S.; Rajendran, S.; De Strycker, L.; Pollin, S.; Verhelst, M. Saving Energy in WSNs for Acoustic Surveillance Applications while Maintaining QoS. In Proceedings of the 2017 IEEE Sensors Applications Symposium (SAS), Glassboro, NJ, USA, 13–15 March 2017; pp. 1–6. [Google Scholar] [CrossRef]
- Underwater Video of Twin Engine Boat Props High Speed. Available online: https://www.youtube.com/watch?v=6uQ7IDqbmAE (accessed on 7 June 2018).
- Sutton, F.; Da Forno, R.; Gschwend, D.; Gsell, T.; Lim, R.; Beutel, J.; Thiele, L. The Design of a Responsive and Energy-efficient Event-triggered Wireless Sensing System. In Proceedings of the 2017 International Conference on Embedded Wireless Systems and Networks, Uppsala, Sweden, 20–22 February 2017; pp. 144–155, ISBN 978-0-9949886-1-4. [Google Scholar]
- Badami, K.M.H.; Lauwereins, S.; Meert, W.; Verhelst, M. A 90 nm CMOS, 6 μW Power-Proportional Acoustic Sensing Frontend for Voice Activity Detection. IEEE J. Solid-State Circuits 2016, 51, 291–302. [Google Scholar] [CrossRef]
- Rumberg, B.; Graham, D.W.; Kulathumani, V. A Low-Power, Programmable Analog Event Detector for Resource-Constrained Sensing Systems. In Proceedings of the 2012 IEEE 55th International Midwest Symposium on Circuits and Systems (MWSCAS), Boise, ID, USA, 5–8 August 2012; pp. 338–341. [Google Scholar] [CrossRef]
















| Integrated Components | ||||
|---|---|---|---|---|
| Component | Manufacturer | Supply Voltage | Supply Current (Typical) | Transition Times (Typical) |
| switch TMUX1101 | Texas Instruments | 1.8 V | 3 nA | 12 ns |
| oscillator SiT1569 | SiTime | 1.8 V | 1.7 µA–3.3 µA | 200 ns |
| Discrete Semiconductor Components | ||||
| Component | Manufacturer | Reverse Current (at 1V) | Saturation Current | Forward Voltage (Maximal) |
| diodes HSMS-282x | Agilent | 100 nA | 22 nA | 0.34 V |
| Discreet Passive Components | ||||
| Component | Value | Type | ||
| Output capacitors | Cout1 = Cout2 = 1 µF | Multilayer ceramic | ||
| Input capacitors | Cin1 = 100 nF, Cin2 = 1 µF, Cin3 = 2.2 µF | Multilayer ceramic | ||
| Inductors | L1 = 100 mH, RL1 = 66.6 Ω | Air-core | ||
| L2 = 590 mH, RL2 = 7.1 Ω | Ferrite-core | |||
| Reference | Technology | Functionality | Power Consumption (µW) |
|---|---|---|---|
| This work | Embedded design, COTSC | frequency decomposition and envelope detection | 3.31 |
| [10] | Embedded design, COTSC | frequency decomposition, envelope detection, 1-bit quantization (adjustable) | 22.59 |
| [9] | Embedded design, COTSC | frequency decomposition, envelope detection, 1-bit quantization (adjustable) | 11.52 |
| [25] | Embedded design, COTSC | frequency decomposition, amplification, template matching (adjustable) | 9.32 |
| [6] | Custom FPAA | frequency decomposition, amplification, peak detection, quantization, pattern recognition (programmable) | 5.38 |
| [26] | ASIC | energy threshold detection, 16 feature extraction based on amplification, filtering and absolute value detection, and classification | 6 |
| [27] | ASIC | frequency decomposition, magnitude detection, quantization, template matching | 2.92 |
Publisher’s Note: MDPI stays neutral with regard to jurisdictional claims in published maps and institutional affiliations. |
© 2021 by the authors. Licensee MDPI, Basel, Switzerland. This article is an open access article distributed under the terms and conditions of the Creative Commons Attribution (CC BY) license (http://creativecommons.org/licenses/by/4.0/).
Share and Cite
Gazivoda, M.; Bilas, V. Low-Power Sensor Interface with a Switched Inductor Frequency Selective Envelope Detector. Sensors 2021, 21, 2124. https://doi.org/10.3390/s21062124
Gazivoda M, Bilas V. Low-Power Sensor Interface with a Switched Inductor Frequency Selective Envelope Detector. Sensors. 2021; 21(6):2124. https://doi.org/10.3390/s21062124
Chicago/Turabian StyleGazivoda, Marko, and Vedran Bilas. 2021. "Low-Power Sensor Interface with a Switched Inductor Frequency Selective Envelope Detector" Sensors 21, no. 6: 2124. https://doi.org/10.3390/s21062124
APA StyleGazivoda, M., & Bilas, V. (2021). Low-Power Sensor Interface with a Switched Inductor Frequency Selective Envelope Detector. Sensors, 21(6), 2124. https://doi.org/10.3390/s21062124

