A Portable Tunable Diode Laser Absorption Spectroscopy System for Dissolved CO2 Detection Using a High-Efficiency Headspace Equilibrator
Abstract
1. Introduction
2. Apparatus and Methods
3. Results and Discussion
3.1. System Calibration
3.2. System Precision and Accuracy
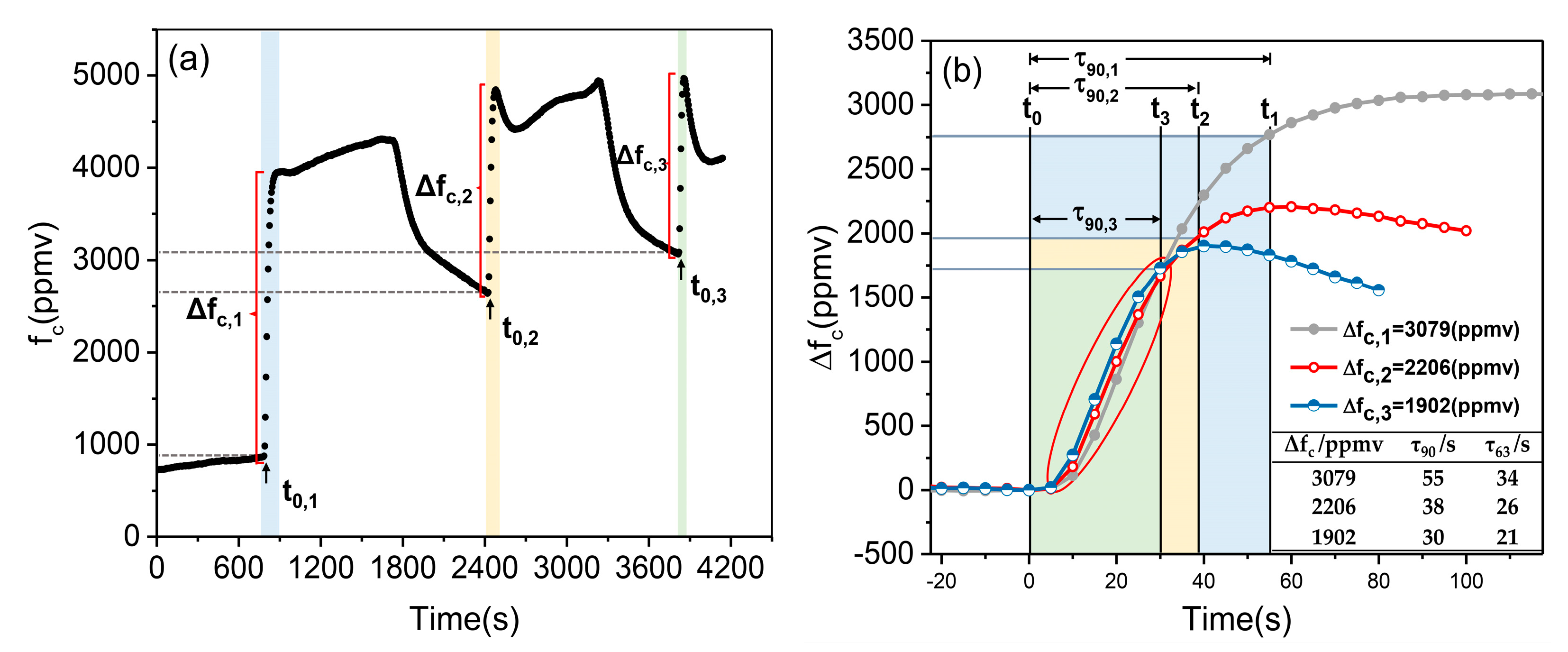
3.3. System Response Time
3.4. Atmosphere Monitoring in the Laboratory
3.5. Field Application
- Surface Runoff & Human Activities
- Geographic Position
4. Conclusions
Author Contributions
Funding
Institutional Review Board Statement
Informed Consent Statement
Data Availability Statement
Acknowledgments
Conflicts of Interest
References
- Doney, S.C.; Busch, D.S.; Cooley, S.R.; Kroeker, K.J. The impacts of ocean acidification on marine ecosystems and reliant human communities. Annu. Rev. Environ. Resour. 2020, 45, 83–112. [Google Scholar] [CrossRef]
- Gingerich, P.D. Temporal scaling of carbon emission and accumulation rates: Modern anthropogenic emissions compared to estimates of PETM onset accumulation. Paleoceanogr. Paleoclimatol. 2019, 34, 329–335. [Google Scholar] [CrossRef]
- DeVries, T. The oceanic anthropogenic CO2 sink: Storage, air-sea fluxes, and transports over the industrial era. Glob. Biogeochem. Cycles 2014, 28, 631–647. [Google Scholar] [CrossRef]
- IPCC. Climate Change 2013—The Physical Science Basis: Working Group I Contribution to the Fifth Assessment Report of the Intergovernmental Panel on Climate Change; Cambridge University Press: Cambridge, UK, 2014; pp. 465–570. [Google Scholar]
- Wang, S.; Moore, J.; Primeau, F.; Khatiwala, S. Simulation of anthropogenic CO2 uptake in the CCSM3. 1 ocean circulation-biogeochemical model: Comparison with data-based estimates. Biogeosciences 2012, 9, 1321–1336. [Google Scholar] [CrossRef]
- Perez, F.F.; Fontela, M.; Garcia-Ibanez, M.I.; Mercier, H.; Velo, A.; Lherminier, P.; Zunino, P.; de la Paz, M.; Alonso-Perez, F.; Guallart, E.F.; et al. Meridional overturning circulation conveys fast acidification to the deep Atlantic Ocean. Nature 2018, 554, 515–518. [Google Scholar] [CrossRef] [PubMed]
- Bindoff, N.L.; Cheung, W.W.L.; Kairo, J.G.; Arístegui, J.; Guinder, V.A.; Hallberg, R.; Hilmi, N.; Jiao, N.; Karim, M.S.; Levin, L.; et al. Changing Ocean, Marine Ecosystems, and Dependent Communities. In IPCC Special Report on the Ocean and Cryosphere in a Changing Climate; Intergovernmental Panel on Climate Change: Geneva, Switzerland, 2019. [Google Scholar]
- Clarke, J.S.; Achterberg, E.P.; Connelly, D.P.; Schuster, U.; Mowlem, M. Developments in marine pCO2 measurement technology; towards sustained in situ observations. TrAC Trends Anal. Chem. 2017, 88, 53–61. [Google Scholar] [CrossRef]
- Doney, S.C.; Fabry, V.J.; Feely, R.A.; Kleypas, J.A. Ocean acidification: The other CO2 problem. Annu. Rev. Mar. Sci. 2009, 1, 169–192. [Google Scholar] [CrossRef] [PubMed]
- Arruda, R.; Atamanchuk, D.; Cronin, M.; Steinhoff, T.; Wallace, D.W.R. At-sea intercomparison of three underway pCO2 systems: Intercomparison of pCO2 systems. Limnol. Oceanogr. Methods 2019, 18, 63–76. [Google Scholar] [CrossRef]
- Takahashi, T.; Sutherland, S.; Sweeney, C.; Poisson, A.; Metzl, N.; Tilbrook, B.; Bates, N.; Wanninkhof, R.; Feely, R.; Chris, S.; et al. Global sea-air CO2 flux based on climatological surface ocean pCO2, and seasonal biological and temperature effects. Deep Sea Res. Part II Top. Stud. Oceanogr. 2002, 49, 1601–1622. [Google Scholar] [CrossRef]
- Friedrich, T.; Oschlies, A. Neural network-based estimates of North Atlantic surface pCO2 from satellite data: A methodological study. J. Geophys. Res. Ocean. 2009, 114, 3020. [Google Scholar] [CrossRef]
- Liu, Z.; Zheng, C.; Zhang, T.; Li, Y.; Ren, Q.; Chen, C.; Ye, W.; Zhang, Y.; Wang, Y.; Tittel, F.K. Midinfrared Sensor System Based on Tunable Laser Absorption Spectroscopy for Dissolved Carbon Dioxide Analysis in the South China Sea: System-Level Integration and Deployment. Anal. Chem. 2020, 92, 8178–8185. [Google Scholar] [CrossRef]
- Sepulveda-Jauregui, A.; Martinez-Cruz, K.; Strohm, A.; Walter Anthony, K.M.; Thalasso, F. A new method for field measurement of dissolved methane in water using infrared tunable diode laser absorption spectroscopy. Limnol. Oceanogr. Methods 2012, 10, 560–567. [Google Scholar] [CrossRef]
- You, O.-R.; Son, S.K.; Baker, E.T.; Son, J.; Kim, M.J.; Barcelona, M.J.; Kim, M. Bathymetric influence on dissolved methane in hydrothermal plumes revealed by concentration and stable carbon isotope measurements at newly discovered venting sites on the Central Indian Ridge (11–13°S). Deep Sea Res. Part I Oceanogr. Res. Pap. 2014, 91, 17–26. [Google Scholar] [CrossRef]
- Dickson, A.G.; Sabine, C.L.; Christian, J.R. Guide to Best Practices for Ocean CO2 Measurements; North Pacific Marine Science Organization: Sidney, BC, USA, 2007. [Google Scholar]
- Grilli, R.; Triest, J.; Chappellaz, J.; Calzas, M.; Desbois, T.; Jansson, P.; Guillerm, C.; Ferré, B.; Lechevallier, L.; Ledoux, V.; et al. Sub-Ocean: Subsea Dissolved Methane Measurements Using an Embedded Laser Spectrometer Technology. Environ. Sci. Technol. 2018, 52, 10543–10551. [Google Scholar] [CrossRef]
- Takahashi, T.; Olafsson, J.; Goddard, J.G.; Chipman, D.W.; Sutherland, S.C. Seasonal variation of CO2 and nutrients in the high-latitude surface oceans: A comparative study. Glob. Biogeochem. Cycles 1993, 7, 843–878. [Google Scholar] [CrossRef]
- Liu, Y.; Sharma, K.R.; Fluggen, M.; O’Halloran, K.; Murthy, S.; Yuan, Z. Online dissolved methane and total dissolved sulfide measurement in sewers. Water Res. 2015, 68, 109–118. [Google Scholar] [CrossRef]
- Vautier, C.; Abhervé, R.; Labasque, T.; Laverman, A.M.; Guillou, A.; Chatton, E.; Dupont, P.; Aquilina, L.; de Dreuzy, J.-R. Mapping gas exchanges in headwater streams with membrane inlet mass spectrometry. J. Hydrol. 2020, 581, 124398. [Google Scholar] [CrossRef]
- Douchi, D.; Liang, F.; Cano, M.; Xiong, W.; Wang, B.; Maness, P.C.; Lindblad, P.; Yu, J. Membrane-Inlet Mass Spectrometry Enables a Quantitative Understanding of Inorganic Carbon Uptake Flux and Carbon Concentrating Mechanisms in Metabolically Engineered Cyanobacteria. Front. Microbiol. 2019, 10, 1356. [Google Scholar] [CrossRef] [PubMed]
- Prytherch, J.; Yelland, M.J.; Pascal, R.W.; Moat, B.I.; Skjelvan, I.; Neill, C.C. Direct measurements of the CO2 flux over the ocean: Development of a novel method. Geophys. Res. Lett. 2010, 37. [Google Scholar] [CrossRef]
- Sutton, A.J.; Sabine, C.L.; Maenner-Jones, S.; Lawrence-Slavas, N.; Meinig, C.; Feely, R.; Mathis, J.; Musielewicz, S.; Bott, R.; McLain, P. A high-frequency atmospheric and seawater pCO2 data set from 14 open-ocean sites using a moored autonomous system. Earth Syst. Sci. Data 2014, 6, 353–366. [Google Scholar] [CrossRef]
- Guo, J.; Ye, W.; Liu, Q.; Qi, F.; Cheng, K.; Yang, D.; Zheng, R. Development of a compact deep-sea Raman spectroscopy system and direct bicarbonate detection in sea trials. Appl. Opt. 2019, 58, 2630–2634. [Google Scholar] [CrossRef]
- Humborg, C.; Geibel, M.; Sun, X.; McCrackin, M.; Mörth, C.-M.; Stranne, C.; Jakobsson, M.; Gustafsson, B.; Sokolov, A.; Norkko, A.; et al. High Emissions of Carbon Dioxide and Methane From the Coastal Baltic Sea at the End of a Summer Heat Wave. Front. Mar. Sci. 2019, 6, 493. [Google Scholar] [CrossRef]
- Grefe, I.; Kaiser, J. Equilibrator-based measurements of dissolved nitrous oxide in the surface ocean using an integrated cavity output laser absorption spectrometer. Ocean Sci. 2014, 10, 501. [Google Scholar] [CrossRef]
- Xia, J.; Zhu, F.; Zhang, S.; Kolomenskii, A.; Schuessler, H. A ppb level sensitive sensor for atmospheric methane detection. Infrared Phys. Technol. 2017, 86, 194. [Google Scholar] [CrossRef]
- Ren, Q.; Chen, C.; Wang, Y.; Li, C.; Wang, Y. A prototype of ppbv-level mid-infrared CO2 sensor for potential application in deep-sea natural-gas-hydrate exploration. IEEE Trans. Instrum. Meas. 2020, 69, 7200–7208. [Google Scholar] [CrossRef]
- Gordon, I.E.; Rothman, L.S.; Hill, C.; Kochanov, R.V.; Tan, Y.; Bernath, P.F.; Birk, M.; Boudon, V.; Campargue, A.; Chance, K.V.; et al. The HITRAN2016 molecular spectroscopic database. J. Quant. Spectrosc. Radiat. Transf. 2017, 203, 3–69. [Google Scholar] [CrossRef]
- Šimečková, M.; Jacquemart, D.; Rothman, L.S.; Gamache, R.R.; Goldman, A. Einstein A-coefficients and statistical weights for molecular absorption transitions in the HITRAN database. J. Quant. Spectrosc. Radiat. Transf. 2006, 98, 130–155. [Google Scholar] [CrossRef]
- Webb, J.R.; Maher, D.T.; Santos, I.R.J.L.; Methods, O. Automated, in situ measurements of dissolved CO2, CH4, and δ13C values using cavity enhanced laser absorption spectrometry: Comparing response times of air-water equilibrators. Limnol. Oceanogr. Methods 2016, 14, 323–337. [Google Scholar] [CrossRef]
- Frankignoulle, M.; Borges, A.; Biondo, R. A new design of equilibrator to monitor carbon dioxide in highly dynamic and turbid environments. Water Res. 2001, 35, 1344–1347. [Google Scholar] [CrossRef]
- Liss, P.S.; Slater, P.G. Flux of Gases across the Air-Sea Interface. Nature 1974, 247, 181–184. [Google Scholar] [CrossRef]
- Takahashi, T.; Sutherland, S.C.; Wanninkhof, R.; Sweeney, C.; Feely, R.A.; Chipman, D.W.; Hales, B.; Friederich, G.; Chavez, F.; Sabine, C.; et al. Climatological mean and decadal change in surface ocean pCO2, and net sea–air CO2 flux over the global oceans. Deep Sea Res. Part II Top. Stud. Oceanogr. 2009, 56, 554–577. [Google Scholar] [CrossRef]
- Weiss, R.F.; Price, B.A. Nitrous oxide solubility in water and seawater. Mar. Chem. 1980, 8, 347–359. [Google Scholar] [CrossRef]
- Wu, Y.; Dai, M.; Guo, X.; Chen, J.; Xu, Y.; Xu, D.; Dai, J.; Zhang, Z. High-frequency time-series autonomous observations of sea surface pCO2 and pH. Limnol. Oceanogr. 2020. [Google Scholar] [CrossRef]
- Li, J.; Luo, G.; Du, Z.; Ma, Y. Hollow waveguide enhanced dimethyl sulfide sensor based on a 3.3μm interband cascade laser. Sens. Actuators B Chem. 2018, 255, 3550–3557. [Google Scholar] [CrossRef]










| No. | 1 | 2 | 3 | 4 | 5 | 6 | 7 | 8 | 9 | 10 | Mean |
| Value | 804.2 | 806.3 | 805.9 | 805.1 | 807.0 | 808.9 | 807.4 | 806.4 | 807.0 | 806.9 | 806.5 |
| Tidal Time (hh:mm) | 08:00 | 09:00 | 10:00 | 11:00 | 12:00 | 13:00 | 13:30 | 14:00 | 15:00 | 16:00 | 17:00 |
| Tidal height (cm) | 364 | 304 | 257 | 208 | 146 | 98 | 90 | 98 | 150 | 236 | 330 |
Publisher’s Note: MDPI stays neutral with regard to jurisdictional claims in published maps and institutional affiliations. |
© 2021 by the authors. Licensee MDPI, Basel, Switzerland. This article is an open access article distributed under the terms and conditions of the Creative Commons Attribution (CC BY) license (http://creativecommons.org/licenses/by/4.0/).
Share and Cite
Zhang, Z.; Li, M.; Guo, J.; Du, B.; Zheng, R. A Portable Tunable Diode Laser Absorption Spectroscopy System for Dissolved CO2 Detection Using a High-Efficiency Headspace Equilibrator. Sensors 2021, 21, 1723. https://doi.org/10.3390/s21051723
Zhang Z, Li M, Guo J, Du B, Zheng R. A Portable Tunable Diode Laser Absorption Spectroscopy System for Dissolved CO2 Detection Using a High-Efficiency Headspace Equilibrator. Sensors. 2021; 21(5):1723. https://doi.org/10.3390/s21051723
Chicago/Turabian StyleZhang, Zhihao, Meng Li, Jinjia Guo, Baolu Du, and Ronger Zheng. 2021. "A Portable Tunable Diode Laser Absorption Spectroscopy System for Dissolved CO2 Detection Using a High-Efficiency Headspace Equilibrator" Sensors 21, no. 5: 1723. https://doi.org/10.3390/s21051723
APA StyleZhang, Z., Li, M., Guo, J., Du, B., & Zheng, R. (2021). A Portable Tunable Diode Laser Absorption Spectroscopy System for Dissolved CO2 Detection Using a High-Efficiency Headspace Equilibrator. Sensors, 21(5), 1723. https://doi.org/10.3390/s21051723

