An Efficient Photomixer Based Slot Fed Terahertz Dielectric Resonator Antenna †
Abstract
1. Introduction
2. Photomixer Design
2.1. Derivation of the Generated THz Power from the Photomixer
2.2. Photomixer Modeling
3. THz Dielectric Resonator Antenna Design
3.1. Antenna Configuration
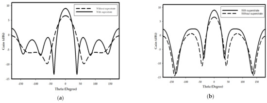
3.2. Results and Discussion
4. Conclusions
Author Contributions
Funding
Institutional Review Board Statement
Informed Consent Statement
Data Availability Statement
Acknowledgments
Conflicts of Interest
References
- Taday, P.F. Applications of terahertz spectroscopy to pharmaceutial sciences. Phil. Trans. R. Soc. 2004, 362, 351–364. [Google Scholar] [CrossRef] [PubMed]
- Wallace, V.P.; Taday, P.F.; Fitzgerald, A.J.; Woodward, R.M.; Cluff, J.; Pye, R.J.; Arnone, D.D. Terahertz pulsed imaging and spectroscopy for biomedical and pharmaceutical applications. Faraday Discuss. 2004, 126, 255–263. [Google Scholar] [CrossRef]
- Wang, S.; Ferguson, B.; Abbott, D.; Zhang, X.-C. T-ray imaging and tomography. J. Biol. Phys. 2003, 29, 247–256. [Google Scholar] [CrossRef] [PubMed]
- Hu, B.B.; Nuss, M.C. Imaging with terahertz waves. Opt. Lett. 1995, 20, 1716–1718. [Google Scholar] [CrossRef]
- Naftaly, M.; Foulds, A.P.; Miles, R.E.; Davies, A.G. Terahertz transmission spectroscopy of nonpolar materials and relationship with composition and properties. Int. J. Infrared Millim. Waves 2005, 26, 55–64. [Google Scholar] [CrossRef]
- Karpowicz, N.; Zhong, H.; Zhang, C.; Lin, K.-I.; Hwang, J.S.; Xu, J.; Zhang, X.-C. Compact continuous-wave subterahertz system for inspection applications. Appl. Phys. Lett. 2005, 86, 054105. [Google Scholar] [CrossRef]
- Choi, M.K.; Bettermann, A.; Van Der Weide, D.W. Potential for detection of explosive and biological hazards with electronic terahertz systems. Phil. Trans. R. Soc. 2004, 362, 337–349. [Google Scholar] [CrossRef]
- Siegel, P.H. Terahertz technology in biology and medicine. IEEE Trans. Microw. Theory Tech. 2004, 52, 2438–2447. [Google Scholar] [CrossRef]
- Crowe, T.W.; Globus, T.; Woolard, D.L.; Hestrer, J.L. Terahertz sources and detectors and their application to biological sensing. Phil. Trans. R. Soc. 2004, 362, 365–377. [Google Scholar] [CrossRef]
- Akyildiz, I.F.; Jomet, J.M.; Han, C. Terahertz band: Next frontier for wireless communications. Phys. Commun. AMST 2014, 12, 16–32. [Google Scholar] [CrossRef]
- Siegel, P.H. Terahertz technology. IEEE Trans. Microw. Theory Technol. 2002, 50, 910–928. [Google Scholar] [CrossRef]
- Karpowicz, N.; Zhong, H.; Zhang, C.; Xu, J.; Lin, K.-I.; Hwang, J.S.; Zhang, X.-C. Comparison between pulsed terahertz time-domain imaging and continuous wave terahertz imaging. Semicond. Sci. Technol. 2005, 20, S293–S299. [Google Scholar] [CrossRef]
- Belkin, M.A.; Wang, Q.J.; Pflügl, C.; Belyanin, A.; Khanna, S.P.; Davies, A.G.; Linfield, E.H.; Capasso, F. High-temperature operation of terahertz quantum cascade laser sources. IEEE J. Sel. Topics Quantum Electron. 2009, 15, 952–967. [Google Scholar] [CrossRef]
- Seeds, A.J.; Williams, K.J. Microwaves photonics. J. Lightw. Technol. 2006, 24, 4628–4641. [Google Scholar] [CrossRef]
- Teich, M.C. Field-theoretical treatment of photomixing. Appl. Phys. Lett. 1969, 14, 201–203. [Google Scholar] [CrossRef]
- Brown, E.R.; McIntosh, K.A.; Nichols, K.B.; Dennis, C.L. Photomixing up to 3.8 THz in low-temperature-grown GaAs. Appl. Phys. Lett. 1995, 66, 285–287. [Google Scholar] [CrossRef]
- Gu, P.; Chang, F.; Tani, M.; Sakai, K.; Pan, C.-L. Generation of coherent cw-Terahertz radiation using a tunable dual-wavelength external cavity laser diode. Jpn. J. Appl. Phys. 1999, 38, L1246–L1248. [Google Scholar] [CrossRef]
- Brown, E.R. THz generation by photomixing in ultrafast photoconductors. Int. J. High Speed Electron. Syst. 2003, 13, 497–545. [Google Scholar] [CrossRef]
- Plinski, E.F. Terahertz photomixer. Bull. Pol. Acad. Sci. Technol. 2010, 58, 463–470. [Google Scholar] [CrossRef]
- Pačebutas, V.; Biciunas, A.; Balakauskas, S.; Krotkus, A.; Andriukaitis, G.; Lorenc, D.; Pugžlys, A.; Baltuška, A. THz time-domain-spectroscopy system based on femtosecond Yb: Fiber laser and GaBiAs photoconducting components. Appl. Phys. Lett. 2010, 97, 031111. [Google Scholar] [CrossRef]
- Smith, P.R.; Auston, D.H.; Nuss, M.C. Sub-picosecond photoconducting dipole antenns. IEEE J. Quantum Electron. 1988, 24, 255–260. [Google Scholar] [CrossRef]
- Eshagi, A.; Shahabadi, M. Plasmonic nanostructures for increasing the efficiency of terahertz large-area photomixing. In Proceedings of the Second Conferencce on Millimeter-Wave and Terahertz Technologies (MMWaTT), Tehran, Iran, 24–26 December 2012. [Google Scholar]
- Bashirpour, M.; Forouzmehr, M.; Hosseininejad, S.E.; Kolahdouz, M.; Neshat, M. Improvement of terahertz photoconductive antenna using optical antenna array of ZnO nanorods. Sci Rep. 2019, 9, 1414. [Google Scholar] [CrossRef] [PubMed]
- Gric, T.; Gorodetsky, A.; Trofimov, A. Tunable plasmonic properties and absorption enhancement in terahertz photoconductive antenna based on optimized plasmonic nanostructures. J. Infrared Milli. Terahz. Waves 2018, 39, 1028–1038. [Google Scholar] [CrossRef]
- Sajak, A.A.B.; Shen, Y.C.; Huang, Y. Analysis of a photoconductive antenna using COMSOL. In Proceedings of the 10th UK-Europe-China Workshop on Millimetre Wave and Terahertz Technilogies (UCMMT), Liverpool, UK, 11–13 September 2017. [Google Scholar]
- Yang, S.-H.; Hashemi, M.; Berry, C.; Jarrahi, M. 7.5% optical-to-terahertz conversion efficiency offered by photoconductive emitters with three dimensional plasmonic contact electrodes. IEEE T. Terahertz Sci. Technol. 2014, 4, 575–581. [Google Scholar] [CrossRef]
- Yachmenev, A.; Lavrukhin, D.; Glinskiy, I.; Zenchenko, N.; Goncharov, Y.; Spektor, I.; Khabibullin, R.; Otsuji, T.; Ponomarev, D. Metallic and dielectric metasurfaces in photoconductive terahertz devices: A review. Opt. Eng. 2019, 59, 061608. [Google Scholar] [CrossRef]
- Berry, C.W.; Jarrahi, M. Terahertz generation using plasmonic photoconductive grating. New J. Phys. 2012, 14, 105029. [Google Scholar] [CrossRef]
- Ryu, H.C.; Kim, S.I.; Kwak, M.H.; Kang, K.Y.; Park, S.O. A folded dipole antenna having extremely high input impedance for continuous-wave terahertz power enhancement. In Proceedings of the 33rd International Conference on Infrared, Millimeter and Terahertz Waves, Pasadena, CA, USA, 15–19 September 2008. [Google Scholar]
- Han, K.; Park, Y.; Kim, S.; Han, H.; Park, I.; Lim, H. A terahertz Yagi-Uda antenna for high input impedance. In Proceedings of the 33rd International Conference on Infrared, Millimeter and Terahertz Waves, Pasadena, CA, USA, 15–19 September 2008. [Google Scholar]
- Yin, W.; Kennedy, K.; Sarma, J.; Hogg, R.A.; Khamas, S. A photomixer driven terahertz dipole antenna with high input resistance and gain. Prog. Electromagn. Res. 2015, 44, 13–20. [Google Scholar] [CrossRef]
- Yang, Y.; Mandehgar, M.; Grischkowsky, D. THz-TDS characterization of the digital communication channels of the atmosphere and the enabled applications. J. Infrared Millim. Technol. 2014, 36, 97–129. [Google Scholar] [CrossRef]
- Hussain, N.; Park, I. Optimization of a small lens for a leaky-wave slit dipole antenna at the terahertz band. In Proceedings of the International Symposium on Antennas and Propagation (ISAP), Okinawa, Japan, 24–28 October 2016. [Google Scholar]
- Jha, K.R.; Singh, G. Ring resonator-intergrated hemi-elliptical lens antenna at terahertz frequency. In Proceedings of the International Conference on Communication Systems and Network Technologies, Katra, India, 3–5 June 2011. [Google Scholar]
- Petosa, A.; Thirakoune, S. Rectangular dielectric resonator antennas with enhanced gain. IEEE Trans. Antennas Propag. 2011, 59, 1385–1389. [Google Scholar] [CrossRef]
- Brown, E.R.; Smith, F.W.; McIntosh, K.A. Coherent milimeter-wave generation by heterodyne conversion in low-temperature-grown GaAs photoconductors. J. Appl. Phys. 1993, 73, 1480–1484. [Google Scholar] [CrossRef]
- Zangeneh-Nejad, F.; Barani, N.; Safian, R. Temperature dependance of electromagnetic radiation from terahertz photoconductive antennas. Microw. Opt. Technol. Lett. 2015, 57, 2475–2479. [Google Scholar] [CrossRef]
- Thim, H.W. Computer study of bulky GaAs Devices with random one-dimensional doping fluctuations. J. Appl. Phys. 1968, 39, 3897–3904. [Google Scholar] [CrossRef]
- De Murcia, M.; Gasquet, D.; Elamri, A.; Nougier, J.P.; Vanbremeersch, J. Diffusion and noise in GaAs material and devices. IEEE Trans. Electron Devices 1991, 38, 2534–2539. [Google Scholar] [CrossRef]
- Zamdmer, N.; Hu, Q.; McIntosh, K.A.; Verghese, S. Increase in response time of low-temperature-grown GaAs photoconductive switches at high voltage bias. Appl. Phys. Lett. 1999, 7, 2313–2315. [Google Scholar] [CrossRef]
- McCall, S.L.; Platzman, P.M.; Dalichaouch, R.; Smith, D.; Schultz, S. Microwave propagation in two-dimensional dielectric lattices. Phys. Rev. Lett. 1991, 67, 2017–2020. [Google Scholar] [CrossRef] [PubMed]
- Li, X.; Khamas, S.K. Enhance the optical intensity of a photomixer based THz antenna using a two dimensional photonic crystal. In Proceedings of the International Symposium on Antenna and Propagation (ISAP), Xi’an, China, 27–30 October 2019. [Google Scholar]
- Li, X.; Khamas, S.K. Enhance the optical intensity of a THz photomixer using a plasmonic material filled two dimensional photonic crystal. In Proceedings of the IET’s Antennas and Propagation Conference, Birmingham, UK, 11–12 November 2019. [Google Scholar]
- Khamas, S.K.; Starke, P.L.; Cook, G.G. Design of a printed spiral antenna with a dielectric superstrate using an efficient curved segment moment method with optimisation using marginal distribution. IEE Proc. Microw. Antenn. Propagat. 2004, 151, 315–320. [Google Scholar] [CrossRef]
- Frydrych, J.; Petrzela, J.; Pitra, K. Dual slot-superstrate terahertz antenna without Si-lens. In Proceedings of the Conference on Microwave Techniques (COMITE), Brno, Czech Republic, 20–21 April 2017. [Google Scholar]
- Sun, M.; Chen, N.; Teng, J.H.; Tanoto, H. A membrane supported photomixer driven antenna with increased continuous-wave Terahertz output power. In Proceedings of the 2011 International Topical Meeting on Microwave Photonics Jointly held wiht the 2011 Asia-Pacific Microwave Photonics Conference, Singapore, 18–21 October 2011. [Google Scholar]
- Hou, D.; Xiong, Y.-Z.; Goh, W.-L.; Hu, S.; Hong, W.; Madihian, M. 130-GHz on-chip meander slot antennas with stacked dielectric resonators in standard CMOS technology. IEEE Tans. Antenn. Propag. 2012, 60, 4102–4109. [Google Scholar] [CrossRef]
- Li, C.; Chiu, T. 340-GHz low-cost and high-gain on-chip higher order mode dielectric resonator antenna for THz applications. IEEE Trans. THz Sci. Technol. 2017, 7, 284–294. [Google Scholar] [CrossRef]











| Reference | [34] | [46] | [47] | [48] | This Work |
|---|---|---|---|---|---|
| Antenna Type | Small lens with Leaky-wave Slit Dipole Antenna | Dipole Antenna with Horn Cavity | Slot Fed stacked DRA | Patch Fed Higher Order Mode DRA | Slot Fed GaAs Substrate Truncated DRA |
| Frequency (THz) | 0.2 | 1 | 0.13 | 0.34 | 0.7 |
| Antenna Gain | 10.3 | 9.07 | 4.7 | 7.9 | 9 |
| DR Material/εr | - | - | Alumina/10 | Silicon/11.9 | GaAs/12.9 |
| DR type | - | - | Rectangular | Rectangular | Rectangular |
| Antenna Aperture (λ2) | 1.44 | 4.55 | 0.72 | 0.2 | 0.87 |
| Antenna Height (λ) | 1.2 | 1.16 | 1.28 | 0.5 | 0.35 |
Publisher’s Note: MDPI stays neutral with regard to jurisdictional claims in published maps and institutional affiliations. |
© 2021 by the authors. Licensee MDPI, Basel, Switzerland. This article is an open access article distributed under the terms and conditions of the Creative Commons Attribution (CC BY) license (http://creativecommons.org/licenses/by/4.0/).
Share and Cite
Li, X.; Yin, W.; Khamas, S. An Efficient Photomixer Based Slot Fed Terahertz Dielectric Resonator Antenna. Sensors 2021, 21, 876. https://doi.org/10.3390/s21030876
Li X, Yin W, Khamas S. An Efficient Photomixer Based Slot Fed Terahertz Dielectric Resonator Antenna. Sensors. 2021; 21(3):876. https://doi.org/10.3390/s21030876
Chicago/Turabian StyleLi, Xiaohang, Wenfei Yin, and Salam Khamas. 2021. "An Efficient Photomixer Based Slot Fed Terahertz Dielectric Resonator Antenna" Sensors 21, no. 3: 876. https://doi.org/10.3390/s21030876
APA StyleLi, X., Yin, W., & Khamas, S. (2021). An Efficient Photomixer Based Slot Fed Terahertz Dielectric Resonator Antenna. Sensors, 21(3), 876. https://doi.org/10.3390/s21030876
