Ultra-Reliable Communication for Critical Machine Type Communication via CRAN-Enabled Multi-Connectivity Diversity Schemes †
Abstract
:1. Introduction
1.1. Relevant Works
1.2. Our Contributions
- We analyze UE’s performance when operating under full interference, silencing, TAS with silencing, and MRT in terms of the outage probability. We attain the accurate closed-form expressions of the outage probability for the distribution of the of each scheme.
- We calculate the expected value of and attain closed form solutions for each scheme. We show that MRT has higher compared with the other schemes, whereas silencing and TAS with silencing show similar with the same number of cooperating RRHs.
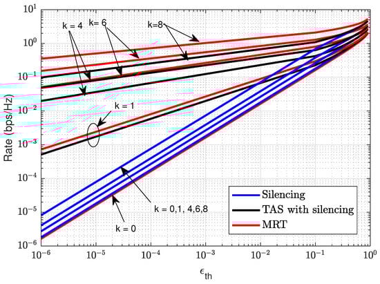
- We address the rate control problem constrained by target reliability constraints for the proposed schemes. We show that for all considered schemes, transmission rate increases with the increase in cooperating RRHs, while MRT offers a higher transmission rate among them for the same target reliability and for the same number of cooperating RRHs.
- We test energy efficiency (EE) for each scheme. We show that EE for all considered schemes increases with an increase in the cooperating RRHs, while MRT schemes have higher EE among considered schemes for the same target reliability and with the same number of cooperating RRHs.
- We analyze the minimum number of cooperating RRHs required to achieve a certain reliability level for all these considered schemes. We show that for the same number of cooperating RRHs, the MRT scheme achieves higher reliability levels. In contrast, this level is unattainable with other schemes.
- Finally, we analyze the trade-off between average system throughput and reliability to test CRAN network-level performance with considered transmission schemes through Monte Carlo simulations. We show that MRT attains a higher reliability level for the same number of cooperating RRHs with reduced throughput than the silencing and TAS.
2. System Model
2.1. Network Model and Operation
- not cooperating with the typical link through CRAN, i.e., no cooperation (full interference scenario as shown in Figure 1);
- cooperating with the typical link through the CRAN to serve the UE (BBU at CRAN enables coordinated multi-point transmission and cooperative solutions, similar to scenarios described in [12,14,25,29]). Under the cooperation, we proposed silencing, TAS with silencing and the MRT scheme as shown in Figure 1 which is explained in detail in the following Section 2.2.
2.2. Transmission Schemes
- Silencing: CRAN silences some of the interfering RRHs, thus mitigating interference to enhance the system performance of the typical link. At a silenced RRH, the transmission signals are completely turned off, which helps to boost the SIR in the victim cell, and it has been proposed for 5G [38].
- TAS with silencing: CRAN selects the best channel for transmission among the typical link and cooperating RRHs. After selecting the best channel, it forces all the cooperating RRHs to remain silent. This scheme presents some diversity gain and has optimal reception reliability at the UE.
- MRT: CRAN jointly transmits from the typical link and cooperating RRHs to serve the UE. This scheme provides high optimal reception reliability and significant diversity gain to cope with very stringent reliability constraints and fading channel impairments.
2.3. Communication Model
3. Diversity and Reliability
3.1. Outage Probability Analysis
3.1.1. Silencing
3.1.2. Transmit Antenna Selection with Silencing
3.1.3. Maximum Ratio Transmission
3.2. Rate Control under Reliability Constraints
3.3. Energy Efficiency (EE) under Reliability Constraints
3.4. Throughput-Reliability Trade off
4. Numerical Analysis
5. Conclusions
Author Contributions
Funding
Institutional Review Board Statement
Informed Consent Statement
Data Availability Statement
Conflicts of Interest
Appendix A. Proof of Theorem 1
Appendix B. Proof of Theorem 2
Appendix C. Proof of Theorem 3
References
- Andrews, J.G.; Buzzi, S.; Choi, W.; Hanly, S.V.; Lozano, A.; Soong, A.C.K.; Zhang, J.C. What Will 5G Be? IEEE J. Sel. Areas Commun. 2014, 32, 1065–1082. [Google Scholar] [CrossRef]
- Zhang, S.; Wang, Y.; Zhou, W. Towards secure 5G networks: A Survey. Comput. Netw. 2019, 162, 106871. [Google Scholar]
- Tullberg, H.; Popovski, P.; Li, Z.; Uusitalo, M.A.; Hoglund, A.; Bulakci, O.; Fallgren, M.; Monserrat, J.F. The METIS 5G System Concept: Meeting the 5G Requirements. IEEE Commun. Mag. 2016, 54, 132–139. [Google Scholar] [CrossRef]
- Holfeld, B.; Wieruch, D.; Wirth, T.; Thiele, L.; Ashraf, S.A.; Huschke, J.; Aktas, I.; Ansari, J. Wireless Communication for Factory Automation: An opportunity for LTE and 5G systems. IEEE Commun. Mag. 2016, 54, 36–43. [Google Scholar] [CrossRef]
- Gharba, M.; Cao, H.; Gangakhedkar, S.; Eichinger, J.; Ali, A.R.; Ganesan, K.; Jain, V.; Lapoehn, S.; Frankiewicz, T.; Hesse, T.; et al. 5G enabled cooperative collision avoidance: System design and field test. In Proceedings of the IEEE 18th International Symposium on a World of Wireless, Mobile and Multimedia Networks (WoWMoM), Macao, China, 12–15 June 2017; pp. 1–6. [Google Scholar] [CrossRef]
- Schulz, P.; Matthe, M.; Klessig, H.; Simsek, M.; Fettweis, G.; Ansari, J.; Ashraf, S.A.; Almeroth, B.; Voigt, J.; Riedel, I.; et al. Latency Critical IoT Applications in 5G: Perspective on the Design of Radio Interface and Network Architecture. IEEE Commun. Mag. 2017, 55, 70–78. [Google Scholar] [CrossRef]
- Popovski, P.; Stefanović, C.; Nielsen, J.J.; de Carvalho, E.; Angjelichinoski, M.; Trillingsgaard, K.F.; Bana, A. Wireless Access in Ultra-Reliable Low-Latency Communication (URLLC). IEEE Trans. Commun. 2019, 67, 5783–5801. [Google Scholar] [CrossRef] [Green Version]
- Popovski, P. Ultra-reliable communication in 5G wireless systems. In Proceedings of the 1st International Conference on 5G for Ubiquitous Connectivity, Levi, Finland, 26–27 November 2014; pp. 146–151. [Google Scholar] [CrossRef] [Green Version]
- Saad, W.; Bennis, M.; Chen, M. A Vision of 6G Wireless Systems: Applications, Trends, Technologies, and Open Research Problems. IEEE Netw. 2020, 34, 134–142. [Google Scholar] [CrossRef] [Green Version]
- Pocovi, G.; Shariatmadari, H.; Berardinelli, G.; Pedersen, K.; Steiner, J.; Li, Z. Achieving Ultra-Reliable Low-Latency Communications: Challenges and Envisioned System Enhancements. IEEE Netw. 2018, 32, 8–15. [Google Scholar] [CrossRef]
- Mahdi, A.H.; Hößler, T.; Franchi, N.; Fettweis, G. Multi-Connectivity for Reliable Wireless Industrial Communications: Gains and Limitations. In Proceedings of the IEEE Wireless Communications and Networking Conference (WCNC), Seoul, Korea, 25–28 May 2020; pp. 1–7. [Google Scholar] [CrossRef]
- Ji, H.; Park, S.; Yeo, J.; Kim, Y.; Lee, J.; Shim, B. Ultra-Reliable and Low-Latency Communications in 5G Downlink: Physical Layer Aspects. IEEE Wirel. Commun. 2018, 25, 124–130. [Google Scholar] [CrossRef] [Green Version]
- Sutton, G.J.; Zeng, J.; Liu, R.P.; Ni, W.; Nguyen, D.N.; Jayawickrama, B.A.; Huang, X.; Abolhasan, M.; Zhang, Z.; Dutkiewicz, E.; et al. Enabling Technologies for Ultra-Reliable and Low Latency Communications: From PHY and MAC Layer Perspectives. IEEE Commun. Surv. Tutor. 2019, 21, 2488–2524. [Google Scholar] [CrossRef]
- Ren, H.; Liu, N.; Pan, C.; Elkashlan, M.; Nallanathan, A.; You, X.; Hanzo, L. Low-Latency C-RAN: A Next-Generation Wireless Approach. IEEE Trans. Veh. Technol. 2018, 13, 48–56. [Google Scholar] [CrossRef] [Green Version]
- Zhang, H.; Qiu, Y.; Chu, X.; Long, K.; Leung, V.C.M. Fog Radio Access Networks: Mobility Management, Interference Mitigation, and Resource Optimization. IEEE Wirel. Commun. 2017, 24, 120–127. [Google Scholar] [CrossRef] [Green Version]
- Alliance, N. Further Study on Critical C-RAN Technologies. Available online: https://www.ngmn.org/wp-content/uploads/NGMN_RANEV_D2_Further_Study_on_Critical_C-RAN_Technologes_v1.0.pdf (accessed on 29 November 2021).
- Hytönen, V.; Li, Z.; Soret, B.; Nurmela, V. Coordinated multi-cell resource allocation for 5G ultra-reliable low latency communications. In Proceedings of the 2017 European Conference on Networks and Communications (EuCNC), Oulu, Finland, 12–15 June 2017; pp. 1–5. [Google Scholar] [CrossRef]
- Varga, P.; Peto, J.; Franko, A.; Balla, D.; Haja, D.; Janky, F.; Soos, G.; Ficzere, D.; Maliosz, M.; Toka, L. 5G support for Industrial IoT Applications-Challenges, Solutions, and Research gaps. Sensors 2020, 20, 828. [Google Scholar] [CrossRef] [Green Version]
- Sun, Y.; Peng, M.; Zhou, Y.; Huang, Y.; Mao, S. Application of Machine Learning in Wireless Networks: Key Techniques and Open Issues. IEEE Commun. Surv. Tutor. 2019, 21, 3072–3108. [Google Scholar] [CrossRef] [Green Version]
- Bennis, M.; Debbah, M.; Poor, H.V. Ultra-reliable and Low-Latency Wireless Communication: Tail, Risk, and Scale. Proc. IEEE 2018, 106, 1834–1853. [Google Scholar] [CrossRef] [Green Version]
- Popovski, P.; Nielsen, J.J.; Stefanovic, C.; Carvalho, E.; Strom, E.; Trillingsgaard, K.F.; Bana, A.S.; Kim, D.M.; Kotaba, R.; Park, J.; et al. Wireless Access for Ultra-Reliable Low-Latency Communication: Principles and Building Blocks. IEEE Netw. 2018, 32, 16–23. [Google Scholar] [CrossRef] [Green Version]
- Johansson, N.A.; Wang, Y.P.E.; Eriksson, E.; Hessler, M. Radio access for ultra-reliable and low-latency 5G communications. In Proceedings of the IEEE International Conference on Communication Workshops. (ICCW), London, UK, 8–12 June 2015; pp. 1184–1189. [Google Scholar] [CrossRef]
- Khosravirad, S.R.; Viswanathan, H.; Yu, W. Exploiting Diversity for Ultra-Reliable and Low-Latency Wireless Control. IEEE Trans. Wirel. Commun. 2021, 20, 316–331. [Google Scholar] [CrossRef]
- Akyildiz, I.F.; Nie, S.; Lin, S.C.; Chandrasekaran, M. 5G roadmap: 10 Key enabling technologies. Comput. Netw. 2016, 106, 17–48. [Google Scholar] [CrossRef]
- Wolf, A.; Schulz, P.; Dörpinghaus, M.; Santos Filho, J.C.S.; Fettweis, G. How Reliable and Capable is Multi-Connectivity? IEEE Trans. Commun. 2019, 67, 1506–1520. [Google Scholar] [CrossRef] [Green Version]
- Nielsen, J.J.; Liu, R.; Popovski, P. Ultra-Reliable Low Latency Communication Using Interface Diversity. IEEE Trans. Commun. 2018, 66, 1322–1334. [Google Scholar] [CrossRef]
- López, O.L.A.; Souza, R.D.; Alves, H.; Fernández, E.M.G. Ultra reliable short message relaying with wireless power transfer. In Proceedings of the IEEE International Conference on Communication (ICC), Paris, France, 21–25 May 2017; pp. 1–6. [Google Scholar] [CrossRef] [Green Version]
- Nouri, P.; Alves, H.; Uusitalo, M.A.; López, O.A.; Latva-aho, M. Machine-type Wireless Communications Enablers for Beyond 5G: Enabling URLLC via diversity under hard deadlines. Comput. Netw. 2020, 174, 107227. [Google Scholar] [CrossRef]
- Mahmood, N.H.; Lopez, M.; Laselva, D.; Pedersen, K.; Berardinelli, G. Reliability Oriented Dual Connectivity for URLLC services in 5G New Radio. In Proceedings of the 2018 15th International Symposium on Wireless Communication Systems (ISWCS), Lisbon, Portugal, 28–31 August 2018; pp. 1–6. [Google Scholar] [CrossRef] [Green Version]
- Antonioli, R.P.; Rodrigues, E.B.; Sousa, D.A.; Guerreiro, I.M.; Silva, C.F.; Cavalcanti, F.R. Adaptive bearer split control for 5G multi-RAT scenarios with dual connectivity. Comput. Netw. 2019, 161, 183–196. [Google Scholar] [CrossRef]
- Tesema, F.B.; Awada, A.; Viering, I.; Simsek, M.; Fettweis, G.P. Mobility Modeling and Performance Evaluation of Multi-Connectivity in 5G Intra-Frequency Networks. In Proceedings of the IEEE Globecom Workshops, San Diego, CA, USA, 6–10 December 2015; pp. 1–6. [Google Scholar] [CrossRef]
- Mountaser, G.; Condoluci, M.; Mahmoodi, T.; Dohler, M.; Mings, I. Cloud-RAN in Support of URLLC. In Proceedings of the IEEE Globecom Workshops, Singapore, 4–8 December 2017; pp. 1–6. [Google Scholar] [CrossRef]
- Maier, M.; Ghazisaidi, N.; Reisslein, M. The Audacity of Fiber-Wireless (FiWi) Networks; AccessNets; Wang, C., Ed.; Springer: Berlin/Heidelberg, Germany, 2009; pp. 16–35. [Google Scholar]
- López, O.L.A.; Alves, H.; Latva-Aho, M. Rate Control under Finite Blocklength for Downlink Cellular Networks with Reliability Constraints. In Proceedings of the 15th International Symposium on Wireless Communication System (ISWCS), Lisbon, Portugal, 28–31 August 2018; pp. 1–6. [Google Scholar] [CrossRef] [Green Version]
- Kharel, B.; Alcaraz López, O.L.; Alves, H.; Latva-aho, M. Achieving Ultra-Reliable Communication via CRAN-Enabled Diversity Schemes. In Proceedings of the European Conference on Networks and Communication (EuCNC), Valencia, Spain, 18–21 June 2019; pp. 320–324. [Google Scholar] [CrossRef] [Green Version]
- 3GPP. Technical Specification Group Services and System Aspects: Study on Enhancement of Ultra-Reliable Low-Latency Communication (URLLC) Support in the 5G Core Network (5GC). Available online: https://portal.3gpp.org/desktopmodules/Specifications/SpecificationDetails.aspx?specificationId=3453 (accessed on 29 November 2021).
- Elsevier Huber, T.; Maitre, D. HypExp, a Mathematica package for expanding hypergeometric functions around integer-valued parameters. Comp. Phy. Comm. 2006, 175, 122–144. [Google Scholar] [CrossRef] [Green Version]
- Soret, B.; Pedersen, K.I. On-Demand Power Boost and Cell Muting for High Reliability and Low Latency in 5G. In Proceedings of the IEEE 85th Vehicular Technology Conference (VTC Spring), Sydney, Australia, 4–7 June 2017; pp. 1–5. [Google Scholar] [CrossRef]
- Checko, A.; Christiansen, H.L.; Yan, Y.; Scolari, L.; Kardaras, G.; Berger, M.S.; Dittmann, L. Cloud RAN for Mobile Networks—A Technology Overview. IEEE Commun. Surv. Tutor. 2015, 17, 405–426. [Google Scholar] [CrossRef] [Green Version]
- Kassab, R.; Simeone, O.; Popovski, P.; Islam, T. Non-Orthogonal Multiplexing of Ultra-Reliable and Broadband Services in Fog-Radio Architectures. IEEE Access 2019, 7, 13035–13049. [Google Scholar] [CrossRef]
- Lo, T. Maximum ratio transmission. IEEE Trans. Commun. 1999, 47, 1458–1461. [Google Scholar] [CrossRef]
- Wu, Y.; Louie, R.H.Y.; McKay, M.R.; Collings, I.B. Benefits of Transmit Antenna Selection in Ad Hoc Networks. In Proceedings of the 2010 IEEE Global Telecommunications Conference (GLOBECOM 2010), Miami, FL, USA, 6–10 December 2010; pp. 1–5. [Google Scholar] [CrossRef]
- Shida, Z.; Feng, H.; Zhang, P.; Xu, J.; Huang, L.; Yuan, T.; Huo, Y. User Oriented Transmit Antenna Selection in Massive Multi-User MIMO SDR Systems. Sensors 2020, 20, 4867. [Google Scholar] [CrossRef]
- Zhang, X.; Andrews, J.G. Downlink Cellular Network Analysis With Multi-Slope Path Loss Models. IEEE Trans. Commun. 2015, 63, 1881–1894. [Google Scholar] [CrossRef] [Green Version]
- 3GPP. Service Requirements for the 5G System. Available online: https://portal.3gpp.org/desktopmodules/Specifications/SpecificationDetails.aspx?specificationId=3107 (accessed on 29 November 2021).
- Björnson, E.; Larsson, E.G. How Energy-Efficient Can a Wireless Communication System Become? In Proceedings of the 2018 52nd Asilomar Conference on Signals, Systems, and Computers, Grove, CA, USA, 28–31 October 2018; pp. 1252–1256. [Google Scholar] [CrossRef] [Green Version]
- Auer, G.; Giannini, V.; Desset, C.; Godor, I.; Skillermark, P.; Olsson, M.; Imran, M.A.; Sabella, D.; Gonzalez, M.J.; Blume, O.; et al. How much energy is needed to run a wireless network? IEEE Wirel. Commun. 2011, 18, 40–49. [Google Scholar] [CrossRef]
- Wassie, D.A.; Rodriguez, I.; Berardinelli, G.; Tavares, F.M.L.; Sorensen, T.B.; Mogensen, P. Radio Propagation Analysis of Industrial Scenarios within the Context of Ultra-Reliable Communication. In Proceedings of the 2018 IEEE 87th Vehicular Technology Conference (VTC Spring), Porto, Portugal, 3–6 June 2018; pp. 1–6. [Google Scholar] [CrossRef] [Green Version]
- Oguntunde, P.; Odetunmibi, O.; Adejumo, A. On the Sum of exponentially distributed random variables: A convolution approach. Eur. J. Stat. Probab. 2014, 2, 1–8. [Google Scholar]
- Win, M.Z.; Mallik, R.K.; Chrisikos, G. Higher order statistics of antenna subset diversity. IEEE Trans. Wirel. Commun. 2003, 2, 871–875. [Google Scholar] [CrossRef]










Publisher’s Note: MDPI stays neutral with regard to jurisdictional claims in published maps and institutional affiliations. |
© 2021 by the authors. Licensee MDPI, Basel, Switzerland. This article is an open access article distributed under the terms and conditions of the Creative Commons Attribution (CC BY) license (https://creativecommons.org/licenses/by/4.0/).
Share and Cite
Kharel, B.; López, O.L.A.; Alves, H.; Latva-aho, M. Ultra-Reliable Communication for Critical Machine Type Communication via CRAN-Enabled Multi-Connectivity Diversity Schemes. Sensors 2021, 21, 8064. https://doi.org/10.3390/s21238064
Kharel B, López OLA, Alves H, Latva-aho M. Ultra-Reliable Communication for Critical Machine Type Communication via CRAN-Enabled Multi-Connectivity Diversity Schemes. Sensors. 2021; 21(23):8064. https://doi.org/10.3390/s21238064
Chicago/Turabian StyleKharel, Binod, Onel Luis Alcaraz López, Hirley Alves, and Matti Latva-aho. 2021. "Ultra-Reliable Communication for Critical Machine Type Communication via CRAN-Enabled Multi-Connectivity Diversity Schemes" Sensors 21, no. 23: 8064. https://doi.org/10.3390/s21238064
APA StyleKharel, B., López, O. L. A., Alves, H., & Latva-aho, M. (2021). Ultra-Reliable Communication for Critical Machine Type Communication via CRAN-Enabled Multi-Connectivity Diversity Schemes. Sensors, 21(23), 8064. https://doi.org/10.3390/s21238064

