Rotating Machinery Diagnosing in Non-Stationary Conditions with Empirical Mode Decomposition-Based Wavelet Leaders Multifractal Spectra
Abstract
1. Introduction
2. Materials and Methods
2.1. Multifractal Formalism
- multifractality level, representing the heterogeneity of the signal under study, , where and are the singularities corresponding to the largest and the smallest fluctuations in the time series (observed signal);
- span of dimensions of subsets of singularities ;
- the singularity with the greatest dimension, which is the most common singularity of the time series .
- Spectrum width
- Spectrum asymmetry
- The singularity exponent with the greatest fractal dimension
2.2. Empirical Mode Decomposition
- 1.
- Initialize parameters: Set iteration index i = 1, residual signal
- 2.
- Extract the i-th IMF:
- a.
- Let j = 0, and .
- b.
- Find the local minima and the local maxima of
- c.
- Interpolate the local minima and the local maxima with cubic spline to construct the lower and the upper envelopes of
- d.
- Compute the instantaneous mean of the lower and upper envelopes
- e.
- Let .
- f.
- If satisfies the stop criteria for IMF sifting, then set the i-th IMF . Otherwise, let j = j + 1, return to step 2b.
- 3.
- Let .
- 4.
- If satisfies the stop criteria for EMD, then set as the residue, and terminate the EMD process. Otherwise, let , return to Step 2.
2.3. EMD-WLMF Method
3. Application of the EMD-WLMF Algorithm in Diagnostics of Rotating Machines
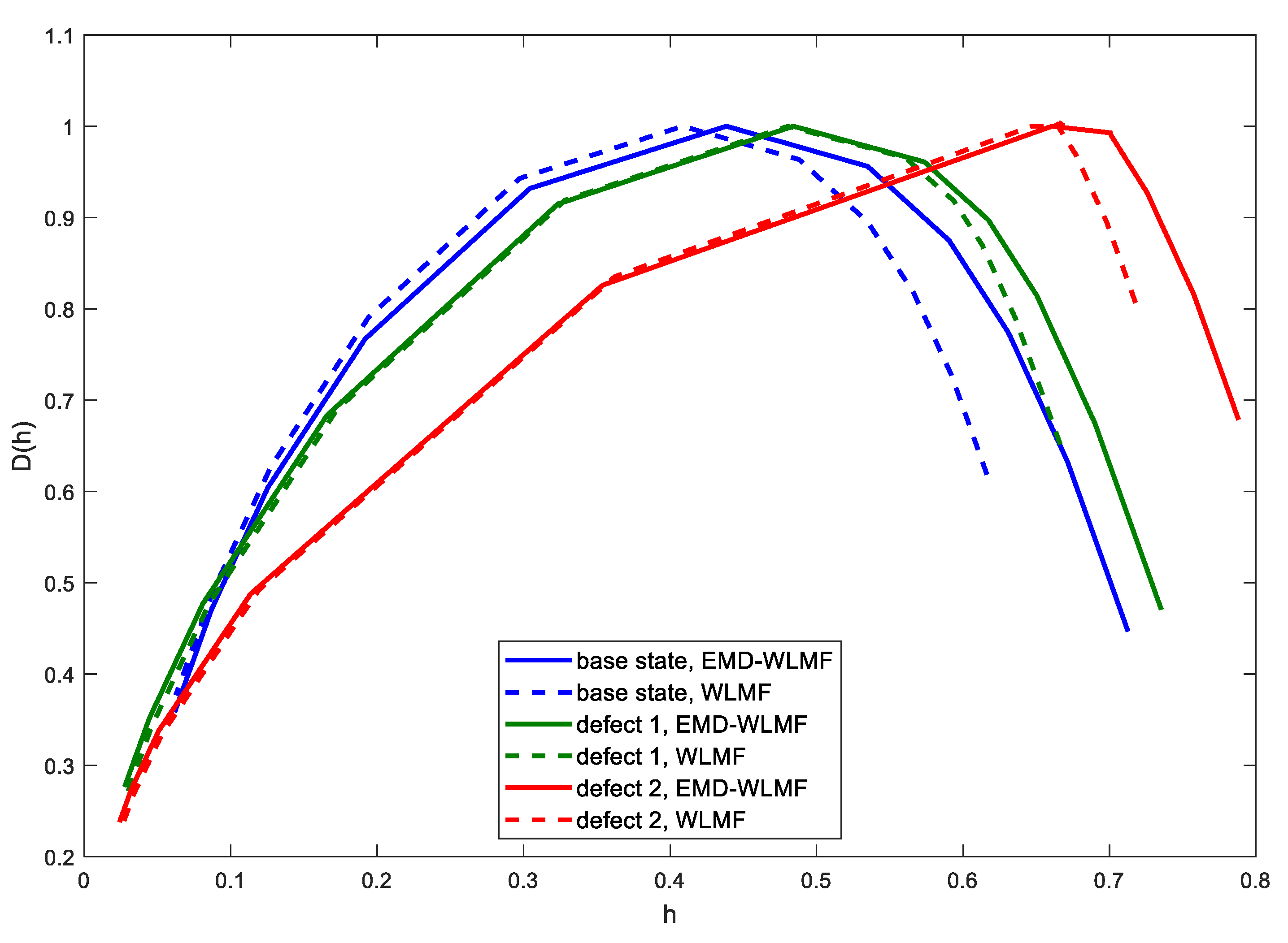
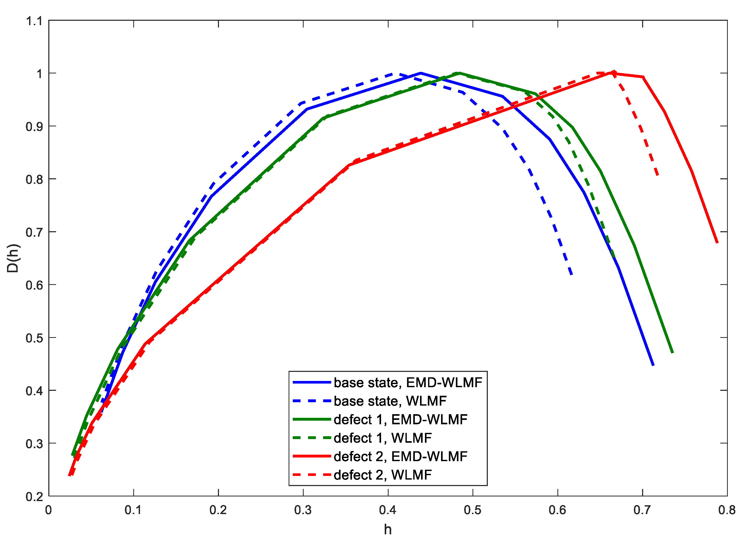
3.1. Gear Transmission Vibration Signal Analysis on a Laboratory Stand
- fault-free (new gears, the optimal backlash, parallel shaft location);
- new gears and misalignment by an angle up to 1/3° (two cases);
- new gears and increased backlash +0.1 mm up to +0.3 mm (three cases);
- worn teeth (three cases);
- worn teeth and increased backlash +0.3 mm (two cases).
3.2. Analysis of the Transmission Vibration Signal in a Car
- gearbox in good condition
- fifth gear drive gear teeth worn at about one-third of the circumference
- fifth gear drive gear teeth heavily worn at about one-third of the circumference (Figure 9b)
- gearbox after replacing worn wheels with new ones.
3.3. Analysis of the Vibration Signal of the Internal Combustion Engine Head
- acceleration of vibrations of the cylinder head at the first cylinder in the vertical and horizontal directions
- acceleration of vibrations of the cylinder head at the fourth cylinder in the vertical direction
- from the crankshaft position sensor
- ignition in the first cylinder
- throttle position.
4. Discussion
Author Contributions
Funding
Institutional Review Board Statement
Informed Consent Statement
Data Availability Statement
Conflicts of Interest
References
- Randall, R.B. Frequency Analysis; Bruel & Kjaer: Naerum, Denmark, 1987. [Google Scholar]
- Feng, Z.; Liang, M.; Chu, F. Recent advances in time–frequency analysis methods for machinery fault diagnosis: A review with application examples. Mech. Syst. Signal Process. 2013, 38, 165–205. [Google Scholar] [CrossRef]
- Manhertz, G.; Bereczky, A. STFT spectrogram based hybrid evaluation method for rotating machine transient vibration analysis. Mech. Syst. Signal Process. 2021, 154, 107583. [Google Scholar] [CrossRef]
- Baydar, N.; Ball, A.A. Comparative Study of Acoustic and Vibration Signals in Detection of Gear Failures Using Winger–Ville Distribution. Mech. Syst. Signal Process. 2001, 15, 1091–1107. [Google Scholar] [CrossRef]
- Wilk, A.B.; Madej, H.M.; Łazarz, B.E. Vibration Processing Techniques for Fault Detection in Gearboxes. In Proceedings of the ASME 2003 International Design Engineering Technical Conferences and Computers and Information in Engineering Conference, Chicago, IL, USA, 2–6 September 2003; pp. 657–664. [Google Scholar] [CrossRef]
- Yan, R.; Gao, R.X.; Chen, X. Wavelets for fault diagnosis of rotary machines: A review with applications. Signal Process. 2014, 96, 1–15. [Google Scholar] [CrossRef]
- He, S.; Chen, J.; Zhou, Z.; Zi, Y.; Wang, Y.; Wang, X. Multifractal entropy based adaptive multiwavelet construction and its application for mechanical compound-fault diagnosis. Mech. Syst. Signal Process. 2016, 76–77, 742–758. [Google Scholar] [CrossRef]
- Endo, H.; Randall, R.B. Enhancement of autoregressive model based gear tooth fault detection technique by the use of minimum entropy deconvolution filter. Mech. Syst. Signal Process. 2007, 21, 906–919. [Google Scholar] [CrossRef]
- Wang, W.; Wong, A.K. Autoregressive Model-Based Gear Fault Diagnosis. ASME J. Vib. Acoust. 2002, 124, 172–179. [Google Scholar] [CrossRef]
- Komorska, I. A Vibroacoustic Diagnostic System as an Element Improving Road Transport Safety. Int. J. Occup. Saf. Ergon. 2013, 19, 371–385. [Google Scholar] [CrossRef] [PubMed]
- Wu, J.-D.; Bai, M.R.; Su, F.-C.; Huang, C.-W. An expert system for the diagnosis of faults in rotating machinery using adaptive order-tracking algorithm. Expert Syst. Appl. 2009, 36, 5424–5431. [Google Scholar] [CrossRef]
- Pawlik, P. The Use of the Acoustic Signal to Diagnose Machines Operated Under Variable Load. Arch. Acoust. 2020, 45, 263–270. [Google Scholar] [CrossRef]
- Wodecki, J.; Kruczek, P.; Bartkowiak, A.; Zimroz, R.; Wyłomańska, A. Novel method of informative frequency band selection for vibration signal using Nonnegative Matrix Factorization of spectrogram matrix. Mech. Syst. Signal Process. 2019, 130, 585–596. [Google Scholar] [CrossRef]
- Huang, N.E.; Shen, Z.; Long, S.R.; Wu, M.C.; Shih, H.H.; Zheng, Q.; Yen, N.; Tung, C.C.; Liu, H.H. The empirical mode decomposition and the Hilbert spectrum for nonlinear and non-stationary time series analysis. Proc. R. Soc. London. Ser. A Math. Phys. Eng. Sci. 1998, 454, 903–995. [Google Scholar] [CrossRef]
- Sharpley, R.; Vatchev, V. Analysis of the Intrinsic Mode Functions. Constr. Approx. 2006, 24, 17–47. [Google Scholar] [CrossRef]
- Moore, K.J.; Kurt, M.; Eriten, M.; McFarland, D.M.; Bergman, L.A.; Vakakis, A.F. Wavelet-bounded empirical mode decomposition for measured time series analysis. Mech. Syst. Signal Process. 2018, 99, 14–29. [Google Scholar] [CrossRef]
- Ge, H.; Chen, G.; Yu, H.; Chen, H.; An, F. Theoretical Analysis of Empirical Mode Decomposition. Symmetry 2018, 10, 623. [Google Scholar] [CrossRef]
- Sharma, V.; Anand, P. Extraction of weak fault transients using variational mode decomposition for fault diagnosis of gearbox under varying speed. Eng. Fail. Anal. 2020, 107, 104204. [Google Scholar] [CrossRef]
- Sánchez, R.; Lucero, P.; Macancela, J.; Cerrada, M.; Vásquez, R.E.; Pacheco, F. Multi-fault Diagnosis of Rotating Machinery by Using Feature Ranking Methods and SVM-based Classifiers. In Proceedings of the International Conference on Sensing, Diagnostics, Prognostics, and Control (SDPC), Shanghai, China, 16–18 August 2017; pp. 105–110. [Google Scholar] [CrossRef]
- Wang, Y.; Zhou, G. The Novel Successive Variational Mode Decomposition and Weighted Regularized Extreme Learning Machine for Fault Diagnosis of Automobile Gearbox. Shock. Vib. 2021, 2021, 5544031. [Google Scholar] [CrossRef]
- Kozłowski, E.; Mazurkiewicz, D.; Żabiński, T.; Prucnal, S.; Sęp, J. Machining sensor data management for operation-level predictive model. Expert Syst. Appl. 2020, 159, 113600. [Google Scholar] [CrossRef]
- Fu, Y.; Gao, Z.; Liu, Y.; Zhang, A.; Yin, X. Actuator and Sensor Fault Classification for Wind Turbine Systems Based on Fast Fourier Transform and Uncorrelated Multi-Linear Principal Component Analysis Techniques. Processes 2020, 8, 1066. [Google Scholar] [CrossRef]
- Zhao, R.; Yan, R.; Chen, Z.; Mao, K.; Wang, P.; Gao, R.X. Deep learning and its applications to machine health monitoring. Mech. Syst. Signal Process. 2019, 115, 213–237. [Google Scholar] [CrossRef]
- Qiu, G.; Gu, Y.; Cai, Q. A deep convolutional neural networks model for intelligent fault diagnosis of a gearbox under different operational conditions. Measurement 2019, 145, 94–107. [Google Scholar] [CrossRef]
- Zhang, S.; Zhang, S.; Wang, B.; Habetler, T.G. Deep Learning Algorithms for Bearing Fault Diagnostics—A Comprehensive Review. IEEE Access 2020, 8, 29857–29881. [Google Scholar] [CrossRef]
- Verstraete, D.; Ferrada, A.; Droguett, E.L.; Meruane, V.; Modarres, M. Deep Learning Enabled Fault Diagnosis Using Time-Frequency Image Analysis of Rolling Element Bearings. Shock. Vib. 2017, 2017, 5067651. [Google Scholar] [CrossRef]
- Barcelos, A.S.; Cardoso, A.J.M. Current-Based Bearing Fault Diagnosis Using Deep Learning Algorithms. Energies 2021, 14, 2509. [Google Scholar] [CrossRef]
- Hu, B.; Yang, J.; Li, J.; Li, S.; Bai, H. Intelligent Control Strategy for Transient Response of a Variable Geometry Turbocharger System Based on Deep Reinforcement Learning. Processes 2019, 7, 601. [Google Scholar] [CrossRef]
- Ren, L.; Sun, Y.; Cui, J.; Zhang, L. Bearing remaining useful life prediction based on deep autoencoder and deep neural networks. J. Manuf. Syst. 2018, 48, 71–77. [Google Scholar] [CrossRef]
- Zhang, S.; He, Y.; Zhang, J.M.; Zhao, Y. Multi-Fractal Based Fault Diagnosis Method of Rotating Machinery. Appl. Mech. Mater. 2012, 130–134, 571–574. [Google Scholar] [CrossRef]
- Liu, H.; Wang, X.; Lu, C. Rolling bearing fault diagnosis based on LCD–TEO and multifractal detrended fluctuation analysis. Mech. Syst. Signal Process. 2015, 60–61, 273–288. [Google Scholar] [CrossRef]
- Du, W.; Guo, Z.; Gong, X. Multifractal characterization of mechanical vibration signals through improved empirical mode decomposition-based detrended fluctuation analysis. Proc. Inst. Mech. Eng. Part C J. Mech. Eng. Sci. 2017, 231, 4139–4149. [Google Scholar] [CrossRef]
- Wang, H.; Guo, Z.; Du, W. Diagnosis of rolling element bearing based on multifractal detrended fluctuation analyses and continuous hidden markov model. J. Mech. Sci. Technol. 2021, 35, 3313–3322. [Google Scholar] [CrossRef]
- Feng, Y.; Lu, B.; Zhang, D. Multifractal manifold for rotating machinery fault diagnosis based on detrended fluctuation analysis. J. Vibroeng. 2016, 18, 5153–5173. [Google Scholar] [CrossRef][Green Version]
- Liu, H.; Zhang, J.; Cheng, Y.; Lu, C. Fault diagnosis of gearbox using empirical mode decomposition and multifractal detrended cross-correlation analysis. J. Sound Vib. 2016, 385, 350–371. [Google Scholar] [CrossRef]
- Moura, E.P.; Vieira, A.P.; Irmao, M.A.S.; Silva, A.A. Applications of detrended-fluctuation analysis to gearbox fault diagnosis. Mech. Syst. Signal Process. 2009, 23, 682–689. [Google Scholar] [CrossRef]
- Li, J.; Wei, H.; Fan, L. Multifractal Detrended Fluctuation Analysis of Frictional Vibration Signals in the Running-in Wear Process. Tribol Lett. 2017, 65, 50. [Google Scholar] [CrossRef]
- Du, W.; Kang, M.; Pecht, M. Fault Diagnosis Using Adaptive Multifractal Detrended Fluctuation Analysis. IEEE Trans. Ind. Electron. 2020, 67, 2272–2282. [Google Scholar] [CrossRef]
- Wendt, H.; Roux, S.G.; Jaffard, S.; Abry, P. Wavelet leaders and bootstrap for multifractal analysis of images. Signal Process. 2009, 89, 1100–1114. [Google Scholar] [CrossRef]
- Du, W.; Tao, J.; Li, Y.; Liu, C. Wavelet leaders multifractal features based fault diagnosis of rotating mechanism. Mech. Syst. Signal Process. 2014, 43, 57–75. [Google Scholar] [CrossRef]
- Kantelhardt, I.W. Fractal and Multifractal Time Series, Mathematics of Complexity and Dynamical Systems; Springer: New York, NY, USA, 2011; pp. 463–487. [Google Scholar]
- Loutridis, S.J. An algorithm for the characterization of time-series based on local regularity. Physica A 2007, 381, 383–398. [Google Scholar] [CrossRef]
- Jaffard, S. Multifractal formalism for functions part I: Results valid for all functions. Society for industrial and applied mathematics. SIAM J. Math. Anal. 1997, 28, 944–970. [Google Scholar] [CrossRef]
- Chen, A.J.; Li, Z.; Pan, J.; Chen, G.; Zi, Y.; Yuan, J.; Chen, B.; He, Z. Wavelet transform based on inner product in fault diagnosis of rotating machinery. Mech. Syst. Signal Process. 2016, 135, 70–71. [Google Scholar] [CrossRef]
- Lin, J.; Chen, Q. Fault diagnosis of rolling bearings based on multifractal detrended fluctuation analysis and Mahalanobis distance criterion. Mech. Syst. Signal Process. 2013, 38, 515–533. [Google Scholar] [CrossRef]
- Puchalski, A.; Komorska, I. A generalised entropy in multifractal time signals analysis of mechanical vibration. J. Vibroeng. 2018, 20, 1667–1675. [Google Scholar] [CrossRef]
- Puchalski, A.; Komorska, I. Stable Distributions and Fractal Diagnostic Models of Vibration Signals of Rotating Systems. In Advances in Condition Monitoring of Machinery in Non-Stationary Operations; CMMNO 2016; Timofiejczuk, A., Chaari, F., Zimroz, R., Bartelmus, W., Haddar, M., Eds.; Springer: Cham, Switzerland, 2018; Volume 9. [Google Scholar] [CrossRef]
- Puchalski, A.; Komorska, I. Data-driven monitoring of the gearbox using multifractal analysis and machine learning methods. In Proceedings of the MATEC Web of Conferences 3rd International Conference of Computational Methods in Engineering Science—CMES’18, Kazimierz Dolny, Poland, 22–24 November 2018; EDP Sciences: Paris, France, 2019; Volume 252, p. 06006. [Google Scholar] [CrossRef]
- Dąbrowski, Z.; Dziurdź, J.; Górnicka, D. Utilisation of the Coherence Analysis in Acoustic Diagnostics of Internal Combustion Engines. Arch. Acoust. 2017, 42, 475–481. [Google Scholar] [CrossRef][Green Version]
- Zawisza, M. Diagnosing mechanical damages not detected by the OBD system of diesel engines. J. Vibroeng. 2017, 19, 1833–1844. [Google Scholar] [CrossRef]

















Publisher’s Note: MDPI stays neutral with regard to jurisdictional claims in published maps and institutional affiliations. |
© 2021 by the authors. Licensee MDPI, Basel, Switzerland. This article is an open access article distributed under the terms and conditions of the Creative Commons Attribution (CC BY) license (https://creativecommons.org/licenses/by/4.0/).
Share and Cite
Komorska, I.; Puchalski, A. Rotating Machinery Diagnosing in Non-Stationary Conditions with Empirical Mode Decomposition-Based Wavelet Leaders Multifractal Spectra. Sensors 2021, 21, 7677. https://doi.org/10.3390/s21227677
Komorska I, Puchalski A. Rotating Machinery Diagnosing in Non-Stationary Conditions with Empirical Mode Decomposition-Based Wavelet Leaders Multifractal Spectra. Sensors. 2021; 21(22):7677. https://doi.org/10.3390/s21227677
Chicago/Turabian StyleKomorska, Iwona, and Andrzej Puchalski. 2021. "Rotating Machinery Diagnosing in Non-Stationary Conditions with Empirical Mode Decomposition-Based Wavelet Leaders Multifractal Spectra" Sensors 21, no. 22: 7677. https://doi.org/10.3390/s21227677
APA StyleKomorska, I., & Puchalski, A. (2021). Rotating Machinery Diagnosing in Non-Stationary Conditions with Empirical Mode Decomposition-Based Wavelet Leaders Multifractal Spectra. Sensors, 21(22), 7677. https://doi.org/10.3390/s21227677

