High Update Rate Attitude Measurement Method of Star Sensors Based on Star Point Correction of Rolling Shutter Exposure
Abstract
:1. Introduction
2. Star Sensor Working Principle
2.1. Imaging Model
2.2. Rolling Shutter Exposure Mode
3. High-Update-Rate Attitude Measurement Methods


| Algorithm 1. High-Update-Rate Attitude Measurement of Star Sensors. |
| Input: The initial attitude, ; the initial time, ; the initial feature matrix, ; the initial angular velocity, ; the centroid coordinates of the star point at the time of the current frame , ; the speed of the star point at the current frame time, and ; attitude update times, M. |
| 1: begin |
| 2: for j = 1:M − 1 do |
| 3: |
| 4: |
| 5: |
| 6: Function Star point centroid correction |
| 7: |
| 8: Calculate , , , values using all , during |
| 9: |
| 10: end |
| 11: |
| 12: Calculate to obtain |
| 13: end |
| 14: End |
4. Experiment and Analysis
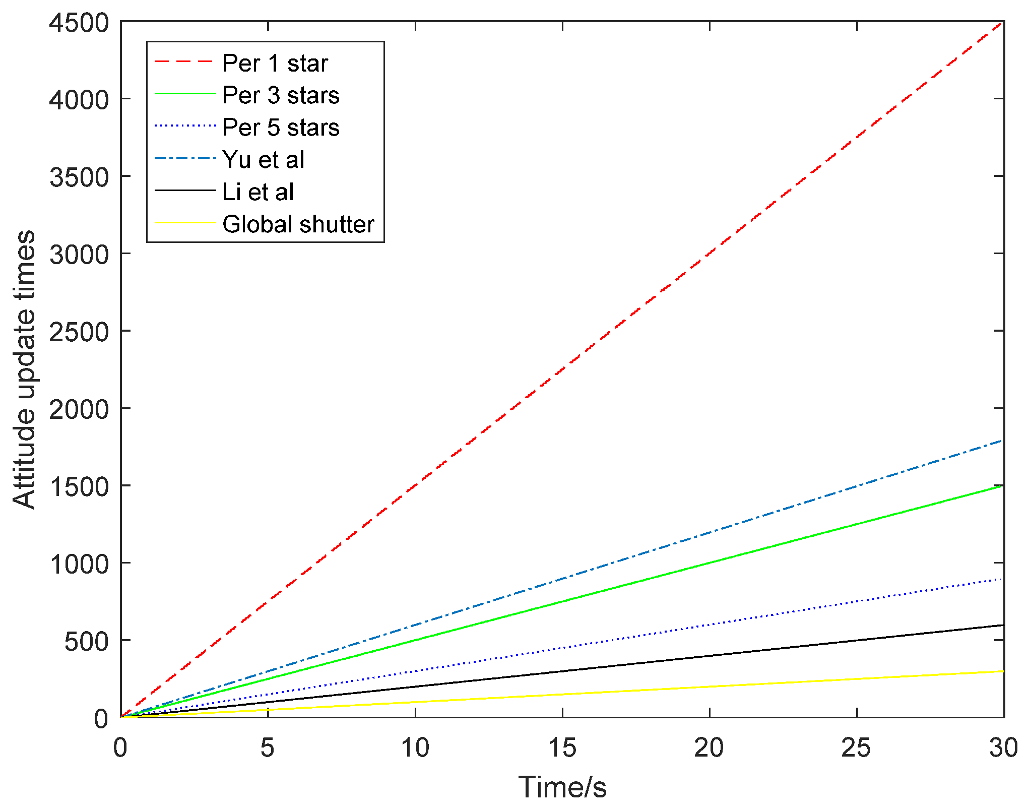
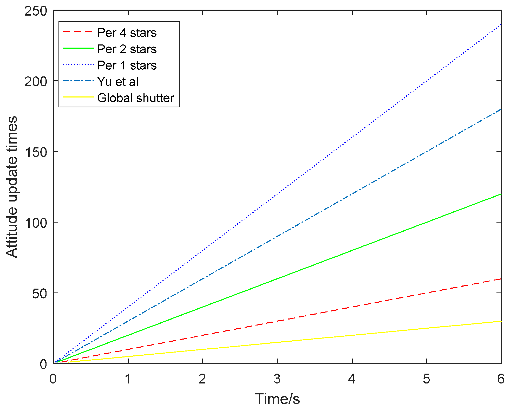
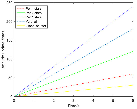
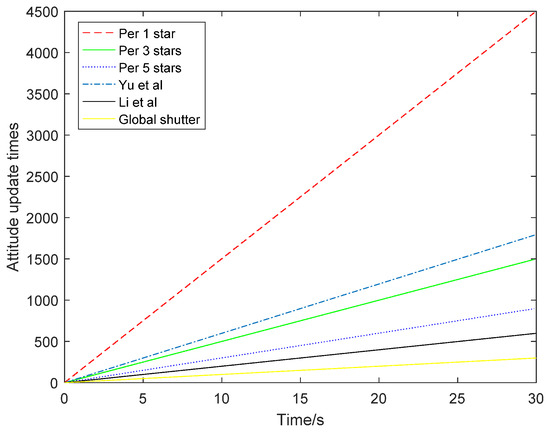
4.1. Simulation Experiment Analysis
4.2. Experiment
5. Conclusions
Author Contributions
Funding
Institutional Review Board Statement
Informed Consent Statement
Conflicts of Interest
References
- Wang, X. Research on Technology of High-Precision Star Sensor with Large Field of View; Graduate University of Chinese Academy of Sciences, Changchun Institute of Optics, Fine Mechanics and Physics: Changchun, China, 2003. [Google Scholar]
- Jin, W.; Zhou, Z.; Gao, B.; Li, R.; Cheng, Y.; Fourati, H. Fast Linear Quaternion Attitude Estimator Using Vector Observations. IEEE Trans. Autom. Sci. Eng. 2018, 15, 307. [Google Scholar]
- Cao, L.; Chen, X.; Sheng, T. An algorithm for high precision attitude determination when using low precision sensors. Sci. CHINA-Inf. Sci. 2012, 55, 626–637. [Google Scholar] [CrossRef] [Green Version]
- Song, K.; Jia, X.; Li, J.; Zhang, H. Curtain CMOS global exposure imaging technology (English). Acta Photonica Sin. 2019, 48, 202–210. [Google Scholar]
- Jung-Bum, C.; Hunjoon, J.; Chong-Min, K. Suppressing rolling-shutter distortion of CMOS image sensors by motion vector detection. IEEE Trans. Consum. Electron. 2008, 54, 1479–1487. [Google Scholar]
- Yu, W.; Jiang, J.; Zhang, G. Multiexposure imaging and parameter optimization for intensified star trackers. Appl. Opt. 2016, 55, 10187–10197. [Google Scholar] [CrossRef] [PubMed]
- Li, X.; Ren, P.; Gaoyuan, Y.X. Multi-probe star sensor distributed field of view fusion method. Flight Control. Detect. 2018, 1, 71–76. [Google Scholar]
- Zhong, H.; Yang, M.; Lu, X. Pipeline parallel processing to improve the data update rate of the star sensor. Opt. Precis. Eng. 2009, 17, 2230–2235. [Google Scholar]
- Zhang, S.; Xing, F.; Sun, T.; You, Z.; Wei, M. Novel Approach to Improve the Attitude Update Rate of a Star Tracker. Opt. Express 2018, 26, 5164–5181. Available online: http://www.opticsexpress.org/abstract.cfm?URI=oe-26-5-5164 (accessed on 23 August 2020). [CrossRef]
- Hyosang, Y. Single-Frame Rolling Shutter Corrector for Star Trackers. Spacecr. Rocket. 2019, 56, 292–297. [Google Scholar]
- Zhang, L. Research on Spacecraft Attitude Determination Method Based on Multi-Field Star Sensor; National University of Defense Technology: Guizhou, China, 2011. [Google Scholar]
- Zhang, Y. Design and Implementation of Miniature CMOS Star Sensor System; National University of Defense Technology: Guizhou, China, 2015. [Google Scholar]
- Wei, X.; Zhang, G.; Jiang, J. Subdivided locating method of star image for star sensor. J. Beijing Univ. Aeronaut. Astronaut. 2003, 9, 812–815. [Google Scholar]
- Liang, B.; Zhu, H.; Zhang, T.; Tong, Y. The research status and development trend of star sensor technology. Chin. Opt. 2016, 9, 16–29. [Google Scholar] [CrossRef]
- Wang, J. Research on the Key Technology of High Dynamic Star Sensor; University of Chinese Academy of Sciences, Changchun Institute of Optics, Fine Mechanics and Physics, Chinese Academy of Sciences: Beijing, China, 2019. [Google Scholar]
- Wu, Y. Research on Some Key Technologies of High-Precision Star Sensor; Graduate University of Chinese Academy of Sciences: Changchun, China, 2015. [Google Scholar]
- Schiattarella, V.; Spiller, D.; Curti, F. Star identification robust to angular rates and false objects with rolling shutter compensation-ScienceDirect. Acta Astronaut. 2020, 166, 243–259. [Google Scholar] [CrossRef]
- Shuster, M.D.; Oh, S.D. Three-axis attitude determination from vector observations. J. Guid. Control. Dynam 1981, 4, 70–77. [Google Scholar] [CrossRef]
- Xing, F.; You, Z. Principle and Realization Method of APS CMOS Star Sensor System; National Defense Industry Press: Beijing, Chain, 2017. [Google Scholar]
- He, Z.; Ping, W. New method for 2D velocity measurement based on electronic rolling shutter. In Proceedings of the International Symposium on Photoelectronic Detection and Imaging 2007: Related Technologies and Applications. International Society for Optics and Photonics, Washington, DC, USA, 19 February 2008; Volume 6625. [Google Scholar]
- Wan, L. Research on key technologies of rolling shutter CMOS detectors for aviation applications; Graduate University of Chinese Academy of Sciences, Changchun Institute of Optics, Fine Mechanics and Physics: Changchun, China, 2016. [Google Scholar]
- He, L.; Zhao, R.; Ma, Y.; Hou, Y.; Zhu, Z.; Zeng, S. Stellar point correction method of rolling shutter exposure star sensor based on time domain constraints. Acta Photonica Sin. 2021, 50, 136–147. [Google Scholar]
- Shuster, M.D. Kalman filtering of spacecraft attitude and the QUEST model. J. Astronaut. Sci. 1990, 38, 377–393. [Google Scholar]
- Bar-Itzhack, I.Y. REQUEST-A recursive QUEST algorithm for sequential attitude determination. J. Guid. Control. Dyn. 1996, 19, 1034–1038. [Google Scholar] [CrossRef] [Green Version]
- Zhang, R. Satellite Orbit Attitude Dynamics and Control; Beijing University of Aeronautics and Astronautics Press: Beijing, China, 1998. [Google Scholar]
- Wahba, G. A Least Square Estimate of Spacecraft Attitude. Siam Rev. 1965, 8, 409. [Google Scholar] [CrossRef]
- Keat, J. Analysis of Least Square Attitude Determination Routine DOAOP; CSC/TM-77/6034; Computer Sciences Corp.: Silver Spring, MD, USA, 1977. [Google Scholar]
- Chang, L.; Qin, F.; Zha, F. Pseudo Open-Loop Unscented Quaternion Estimator for Attitude Estimation. IEEE Sens. J. 2016, 16, 4460–4469. [Google Scholar] [CrossRef]
- Liao, Y. Research on Related Technology of Star Map Preprocessing under Complex Working Conditions; Graduate University of Chinese Academy of Sciences, Institute of Optoelectronic Technology: Beijing, China, 2016. [Google Scholar]
- Zhang, G. Star Map Recognition; National Defense Industry Press: Beijing, China, 2011. [Google Scholar]

















| Parameter | Value |
|---|---|
| Focal length | 24.09 mm |
| Field of view | 10° × 10° |
| Image size | 1024 × 1024 |
| Pixel size | 5.5 um |
| Exposure time | 50 ms |
| Delay time between rows | 49 us |
| Star | Coordinates (um) | Star | Coordinates (um) |
|---|---|---|---|
| 1 | (1006.90, 126.67) | 9 | (247.78, 654.28) |
| 2 | (745.58, 183.83) | 10 | (183.59, 674.60) |
| 3 | (666.62, 306.83) | 11 | (721.39, 768.83) |
| 4 | (944.63, 316.96) | 12 | (880.11, 780.64) |
| 5 | (658.98, 332.85) | 13 | (513.59, 802.82) |
| 6 | (114.30, 562.38) | 14 | (449.36, 936.26) |
| 7 | (881.07, 591.60) | 15 | (112.47, 991.47) |
| 8 | (554.01, 620.24) |
| X-axis (RMSE) | Y-axis (RMSE) | Z-axis (RMSE) | |
|---|---|---|---|
| Per 1 star | 4.1096 | 6.1013 | 44.1262 |
| Per 3 stars | 2.5250 | 3.2098 | 28.5692 |
| Per 5 stars | 2.0503 | 2.2750 | 23.2379 |
| Parameter | Value |
|---|---|
| Focal length | 43.279 mm |
| Field of view | 20° × 20° |
| Image size | 1024 × 1024 |
| Pixel size | 15 μm |
| Exposure time | 100 ms |
| Delay time between rows | 97.7 μs |
Publisher’s Note: MDPI stays neutral with regard to jurisdictional claims in published maps and institutional affiliations. |
© 2021 by the authors. Licensee MDPI, Basel, Switzerland. This article is an open access article distributed under the terms and conditions of the Creative Commons Attribution (CC BY) license (https://creativecommons.org/licenses/by/4.0/).
Share and Cite
He, L.; Ma, Y.; Zhao, R.; Hou, Y.; Zhu, Z. High Update Rate Attitude Measurement Method of Star Sensors Based on Star Point Correction of Rolling Shutter Exposure. Sensors 2021, 21, 5724. https://doi.org/10.3390/s21175724
He L, Ma Y, Zhao R, Hou Y, Zhu Z. High Update Rate Attitude Measurement Method of Star Sensors Based on Star Point Correction of Rolling Shutter Exposure. Sensors. 2021; 21(17):5724. https://doi.org/10.3390/s21175724
Chicago/Turabian StyleHe, Longdong, Yuebo Ma, Rujin Zhao, Yaxian Hou, and Zifa Zhu. 2021. "High Update Rate Attitude Measurement Method of Star Sensors Based on Star Point Correction of Rolling Shutter Exposure" Sensors 21, no. 17: 5724. https://doi.org/10.3390/s21175724
APA StyleHe, L., Ma, Y., Zhao, R., Hou, Y., & Zhu, Z. (2021). High Update Rate Attitude Measurement Method of Star Sensors Based on Star Point Correction of Rolling Shutter Exposure. Sensors, 21(17), 5724. https://doi.org/10.3390/s21175724

