Survey and Synthesis of State of the Art in Driver Monitoring
Abstract
1. Introduction
2. Driving Automation and Driver Monitoring
3. Survey of Literature on Driver Monitoring
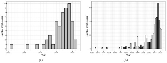
3.1. Strategy for Building Initial Set of References, and Number of These
3.2. Conclusions from Preliminary Analysis of 56 Initial References
- To characterize the (global) state of a driver, one should consider the five main substates of drowsiness, mental workload, distraction, emotions, and under the influence.
- A wide variety of parameters, which we call “indicators”, are used to characterize each of these substates, and some indicators are applicable to more than one substate.
- Ideally, a DMS should monitor not only the driver, but also the (driven) vehicle and the (driving) environment.
- A value for each indicator is obtained by processing data (mainly signals and images) obtained from sensors “observing” the driver, the vehicle, and the environment.
- A DMS generally involves one or more types and/or instances of each of the following: substate, indicator, and sensor.
These conclusions guided the structuring and writing of the bulk of the paper
3.3. Design of Structure of Table Organizing Initial References
3.4. Description of Content of Table of References
3.4.1. States
3.4.2. Indicators
3.4.3. Sensors
3.5. Trends Observable in Table
3.6. Other Trends Observable in References
4. Driver-State Characterization via Triad of States, Indicators, and Sensors
4.1. States
4.2. Indicators
- it has a precise definition based on science (e.g., physics, mechanics, chemistry, biology, physiology);
- it can be measured, or characterized in some way, with real-time constraint when necessary, based upon data obtained from relevant sensors available in the application of interest;
- it must take values (such as numbers or labels) within a pre-specified domain, and these values must preferably correspond to physical units (such as seconds or Hertz);
- it is not a unique and full descriptor of the state;
- it is recognized, in the literature, as being linked, in some meaningful way, to the state or trend thereof;
- it is possibly useful with respect to one or more related, or unrelated, states;
- it is reproducible, meaning that its value is always the same for fixed data.
4.3. System View of Characterization of a (Sub)State
5. Synthesis of Driver-State Characterization via Two Interlocked Tables
5.1. Preview of Two Key Tables
5.2. Further Subdivision of Rows and Columns
5.3. Categories of Indicators and Sensors
5.3.1. Indicators
5.3.2. Sensors
5.4. Preview of Next Five Sections
6. State 1: Drowsiness
6.1. Description
6.2. Indicators
6.3. Sensors
7. State 2: Mental Workload
7.1. Description
7.2. Indicators
7.3. Sensors
8. State 3: Distraction
8.1. State 3.1: Manual Distraction
8.1.1. Description
8.1.2. Indicators
8.1.3. Sensors
8.2. State 3.2: Visual Distraction
8.2.1. Description
8.2.2. Indicators
8.2.3. Sensors
8.3. State 3.3: Auditory Distraction
8.3.1. Description
8.3.2. Indicators
8.3.3. Sensors
8.4. State 3.4: Cognitive Distraction
8.4.1. Description
8.4.2. Indicators
8.4.3. Sensors
9. State 4: Emotions
9.1. Description
9.2. Indicators
9.3. Sensors
10. State 5: Under the Influence
10.1. Description
10.2. Indicators
10.3. Sensors
| States | |||||||||||
|---|---|---|---|---|---|---|---|---|---|---|---|
| Drowsiness | Mental Workload | Distraction | Emotions | Under the Influence | |||||||
| Manual | Visual | Auditory | Cognitive | ||||||||
| Indicators | Driver | Physiological | Heart Activity | [75,76,102] | [132,133,134,135] | [61] | [193,194,195,196,199] | [219,227] | |||
| Breathing Activity | [77,102] | [193,194,199] | [227] | ||||||||
| Brain Activity | [90] | [136] | [176,177] | [185] | [199] | ||||||
| Electrodermal Activity | [78] | [131] | [61] | [194,195,197,199] | |||||||
| Body Temperature | [219,228] | ||||||||||
| Pupil Diameter | [79,80,81] | [33,132,137,138,139] | [152,174] | [198] | [228] | ||||||
| Behavioral | Gaze Parameters | [123] | [33,140,141,142,145] | [148,164,166,167] | [181,182,183,184] | [227] | |||||
| Blink Dynamics | [83,87,88,89,102,123] | [33] | [152,175] | [198] | |||||||
| PERCLOS | [84,85,86,102,123] | [33] | |||||||||
| Facial Expressions | [123] | [191,192] | |||||||||
| Body Posture | [102,123] | [165,166] | |||||||||
| Hands Parameters | [157] | ||||||||||
| Speech | [190,211] | [227,229] | |||||||||
| Subjective | [90,91,92] | [125] | [125] | [200] | |||||||
| Vehicle | Wheel Steering | [97,101,102] | [130] | [158] | [158] | [169] | [211] | ||||
| Lane Discipline | [96,97,99,102,123] | [130] | [61,169] | [169,179,180] | [226,231,232,233] | ||||||
| Braking Behavior | [177] | [181] | |||||||||
| Speed | [100,102] | [61,168] | [179] | [211] | [231,233] | ||||||
| Environment | Road Geometry | [143] | |||||||||
| Traffic Signs | |||||||||||
| Road Work | |||||||||||
| Traffic Density | [143,146] | ||||||||||
| Obstacles | [143] | ||||||||||
| Weather | |||||||||||
| Sensors | ||||||||||||
|---|---|---|---|---|---|---|---|---|---|---|---|---|
| Driver | Vehicle | Environment | ||||||||||
| Seat | Steering Wheel | Safety Belt | Internal Camera | Internal Microphone | Wearable | CAN Bus | External Camera | Radar | ||||
| Indicators | Driver | Physiological | Heart Activity | [106,107,238,239] | [105] | [109] | [108] | [208,209,210,240,241] | ||||
| Breathing Activity | [77,206] | |||||||||||
| Brain Activity | ||||||||||||
| Electrodermal Activity | [208,209,210] | |||||||||||
| Body Temperature | [242,243,244] | |||||||||||
| Pupil Diameter | [139,228] | |||||||||||
| Behavioral | Gaze Parameters | [116,123,140,144,145,166,167,170,171] | ||||||||||
| Blink Dynamics | [104,112,114,116,117,118,123] | |||||||||||
| PERCLOS | [113,116,123] | |||||||||||
| Facial Expressions | [123,203,204,205] | |||||||||||
| Body Posture | [115] | [114,116,117,118,123] | ||||||||||
| Hands Parameters | [159,160,161,162,163] | |||||||||||
| Speech | [190,211,212,213] | |||||||||||
| Subjective | ||||||||||||
| Vehicle | Wheel Steering | [119,120,245,247,248,249,250] | ||||||||||
| Lane Discipline | [245,247,248,250] | [122,123] | ||||||||||
| Braking Behavior | [119,120,245] | |||||||||||
| Speed | [119,120,245,247,248] | |||||||||||
| Environment | Road Geometry | [143] | ||||||||||
| Traffic Signs | ||||||||||||
| Road Work | ||||||||||||
| Traffic Density | ||||||||||||
| Obstacles | [252] | |||||||||||
| Weather | ||||||||||||
11. Summary and Conclusions
- Each state can be inferred from several indicators (which are often far from perfect), thereby encouraging multimodal fusion.
- The internal camera (possibly with several instances) appears to be the most-commonly-used sensor.
- Wearable sensors (e.g., smartwatches) are increasingly used to obtain driver-based, physiological indicators and vehicle-based indicators.
- Environment-based indicators are often ignored, even though there is an agreement that they should be used.
- Driver-based, subjective indicators, although sometimes alluded to, cannot be used in real driving but are essential for the validation of some indicators of some states.
- Brain activity is a recognized indicator of several states, but cannot be accessed today in a non-invasive, reliable, and inexpensive way in real driving.
- Several methods for characterizing each of the five states use, without surprise, techniques of machine learning (ML) and, especially, of deep learning.
- The term “predict(ion)” often refers to a present state rather than to a future state, and few papers describe techniques “to tell beforehand”, for example, the future values of indicators and levels of states.
Author Contributions
Funding
Conflicts of Interest
Appendix A. Printable Version of Table of 56 Initial References
| References | States | Sensors | Tests | ||||||
|---|---|---|---|---|---|---|---|---|---|
| Drowsiness | Mental Workload | Distraction | >Emotions | Under the Influence | Driver | Vehicle | Environment | ||
| Ahir and Gohokar [8] | V | cam *, mic * | ext cam | real, sim | |||||
| Alluhaibi et al. [9] | V | V | ang | cam *, mic * | V * | ||||
| Arun et al. [10] | vis, cog | cam, wea d, eye t | V | sim | |||||
| Balandong et al. [11] | V | elec | sim | ||||||
| Begum [12] | V | V | stress | seat, ste w, saf b, wea d | real, sim | ||||
| Chacon-Murguia and Prieto-Resendiz [13] | V | ste w, cam | radar | real | |||||
| Chan et al. [14] | V | cam *, mic * | real | ||||||
| Chhabra et al. [15] | V | V | alc | seat, cam *, mic * | V * | real, sim | |||
| Chowdhury et al. [16] | V | sim | |||||||
| Chung et al. [17] | stress | cam, wea d | V | real, sim | |||||
| Coetzer and Hancke [18] | V | cam | V | real, sim | |||||
| Dababneh and El-Gindy [19] | V | cam, wea d | radar | real, sim | |||||
| Dahiphale and Rao [20] | V | V | cam | real | |||||
| Dong et al. [21] | V | V | cam | V | real | ||||
| El Khatib et al. [5] | V | man, vis, cog | cam | V * | ext cam, radar | real, sim | |||
| Ghandour et al. [22] | man, vis, aud, cog | stress | cam, wea d | real, sim | |||||
| Hecht et al. [23] | V | V | V | elec, eye t | real, sim | ||||
| Kang [24] | V | V | seat, ste w, cam | V | real, sim | ||||
| Kaplan et al. [25] | V | V | ste w, cam *, mic *, wea d | V | real, sim | ||||
| Kaye et al. [26] | V | stress | real, sim | ||||||
| Khan and Lee [27] | V | man, vis, aud, cog | wea d | real | |||||
| Kumari and Kumar [28] | V | cam | |||||||
| Lal and Craig [29] | V | cam | sim | ||||||
| Laouz et al. [30] | V | seat, cam, wea d | ext cam | real | |||||
| Leonhardt et al. [31] | seat, ste w, saf b, cam | real | |||||||
| Liu et al. [32] | V | cam | V | real | |||||
| Marquart et al. [33] | V | eye t | real, sim | ||||||
| Marina Martinez et al. [34] | ang | V * | |||||||
| Mashko [35] | V | cam, wea d | V | ext cam, radar | real, sim | ||||
| Mashru and Gandhi [36] | V | seat, ste w, cam, wea d | sim | ||||||
| Melnicuk et al. [37] | V | V | cog | stress, ang | seat, ste w, saf b, cam *, wea d | V * | real | ||
| Mittal et al. [38] | V | cam, elec | V | ext cam | real | ||||
| Murugan et al. [39] | V | cam, elec | V | sim | |||||
| Nair et al. [40] | V | V | alc | seat, cam * | V | radar | |||
| Němcová et al. [41] | V | stress | seat, ste w, cam, wea d, eye t | V | |||||
| Ngxande et al. [42] | V | cam | |||||||
| Oviedo-Trespalacios et al. [43] | V | V | real, sim | ||||||
| Papantoniou et al. [44] | V | V | cam | ext cam, radar | real, sim | ||||
| Pratama et al. [45] | V | cam, wea d, elec | ext cam | real, sim | |||||
| Ramzan et al. [46] | V | cam, wea d, elec | V | real, sim | |||||
| Sahayadhas et al. [47] | V | seat, ste w, cam, wea d | V | real, sim | |||||
| Scott-Parker [48] | stress, ang | eye t | ext cam | real, sim | |||||
| Seth [49] | V | cam | V | real | |||||
| Shameen et al. [50] | V | elec | sim | ||||||
| Sigari et al. [51] | V | cam | real | ||||||
| Sikander and Anwar [52] | V | seat, ste w, saf b, cam, wea d, elec | real | ||||||
| Singh and Kathuria [53] | V | V | V | V | cam, wea d | V | ext cam, radar | real | |
| Subbaiah et al. [54] | V | cam | real, sim | ||||||
| Tu et al. [55] | V | cam *, wea d, elec | V | real, sim | |||||
| Ukwuoma and Bo [56] | V | cam, wea d, elec | real | ||||||
| Vilaca et al. [57] | V | V | cam, mic | V | ext cam | ||||
| Vismaya and Saritha [58] | V | cam, eye t | real, sim | ||||||
| Wang et al. [59] | V | cam, wea d | real, sim | ||||||
| Welch et al. [60] | stress, ang | seat, ste w, cam, wea d | V | real, sim | |||||
| Yusoff et al. [61] | vis, cog | eye t | |||||||
| Zhang et al. [62] | V | cam | ext cam | real, sim | |||||
| References | Indicators | ||||
|---|---|---|---|---|---|
| Driver | Vehicle | Environment | |||
| Physiological | Behavioral | Subjective | |||
| Ahir and Gohokar [8] | HR, brain | gaze, blink, PERCLOS, facial, body | wheel, lane, speed | ||
| Alluhaibi et al. [9] | speech | wheel, lane, brake, speed | |||
| Arun et al. [10] | HR, brain, EDA, pupil | gaze, blink, body | V | wheel, lane, brake, speed | |
| Balandong et al. [11] | HR, brain | gaze, blink, PERCLOS, body | V | wheel, lane, brake, speed | |
| Begum [12] | HR, brain | ||||
| Chacon-Murguia and Prieto-Resendiz [13] | HR, brain, EDA | gaze, blink, body | wheel, lane, brake, speed | ||
| Chan et al. [14] | HR, brain | blink, PERCLOS, facial, body | wheel, brake, speed | ||
| Chhabra et al. [15] | breath | gaze, PERCLOS, facial, body | wheel | road | |
| Chowdhury et al. [16] | HR, brain, EDA | blink, PERCLOS | |||
| Chung et al. [17] | HR, breath, brain, EDA, pupil | speech | V | wheel, lane, brake, speed | |
| Coetzer and Hancke [18] | brain | gaze, PERCLOS, facial, body | wheel, lane, speed | ||
| Dababneh and El-Gindy [19] | brain, EDA, pupil | blink, PERCLOS, body | wheel, lane, speed | road | |
| Dahiphale and Rao [20] | gaze, blink, facial, body | wheel | |||
| Dong et al. [21] | HR, brain, pupil | gaze, blink, PERCLOS, facial, body | V | wheel, lane, speed | road, wea |
| El Khatib et al. [5] | HR, breath, brain, EDA, pupil | gaze, blink, PERCLOS, facial, body, hands | wheel, lane, speed | ||
| Ghandour et al. [22] | HR, breath, brain, EDA | gaze, facial, body, speech | V | wheel, brake, speed | |
| Hecht et al. [23] | HR, brain, EDA, pupil | gaze, blink, PERCLOS, facial, body | V | ||
| Kang [24] | HR, breath, brain, EDA | gaze, blink, facial, body | wheel, lane, brake, speed | ||
| Kaplan et al. [25] | HR, brain | gaze, blink, PERCLOS, facial, body, speech | wheel, lane, brake, speed | ||
| Kaye et al. [26] | HR, breath, brain, EDA | V | |||
| Khan and Lee [27] | HR, brain, EDA | gaze, PERCLOS, body | wheel, lane, brake, speed | ||
| Kumari and Kumar [28] | HR, brain | gaze, blink, PERCLOS, body | V | wheel, lane | |
| Lal and Craig [29] | HR, brain, EDA | PERCLOS, facial | |||
| Laouz et al. [30] | HR, brain, EDA | blink, PERCLOS, facial, body | V | wheel, speed | |
| Leonhardt et al. [31] | HR, breath | ||||
| Liu et al. [32] | HR, brain, pupil | gaze, blink, PERCLOS, body | wheel, lane, speed | ||
| Marquart et al. [33] | pupil | gaze, blink, PERCLOS | V | ||
| Marina Martinez et al. [34] | brake, speed | ||||
| Mashko [35] | HR, brain, EDA | gaze, blink, body | wheel, lane, brake, speed | ||
| Mashru and Gandhi [36] | HR, breath | blink, PERCLOS, facial, body | V | wheel, lane | |
| Melnicuk et al. [37] | HR, brain | blink, PERCLOS, facial | wheel, brake, speed | road, traf, wea | |
| Mittal et al. [38] | HR, brain, pupil | blink, PERCLOS, body | V | wheel, lane, brake, speed | |
| Murugan et al. [39] | HR, breath, brain, EDA, pupil | blink, PERCLOS, body | V | wheel, lane, speed | |
| Nair et al. [40] | gaze, PERCLOS, facial, body | lane | |||
| Němcová et al. [41] | HR, breath, brain, EDA | gaze, blink, PERCLOS, facial, body | wheel, lane, brake, speed | ||
| Ngxande et al. [42] | blink, PERCLOS, facial, body | ||||
| Oviedo-Trespalacios et al. [43] | gaze | wheel, lane, brake, speed | |||
| Papantoniou et al. [44] | HR, breath, brain | gaze, blink, speech | V | wheel, lane, speed | |
| Pratama et al. [45] | HR, brain, EDA | gaze, blink, PERCLOS, facial, body, hands | V | wheel, lane | |
| Ramzan et al. [46] | HR, breath, brain | blink, PERCLOS, facial, body | wheel, lane, speed | ||
| Sahayadhas et al. [47] | HR, brain, pupil | gaze, blink, PERCLOS, body | V | wheel, lane | |
| Scott-Parker [48] | HR, brain, EDA | gaze, facial | V | wheel, lane, brake, speed | traf |
| Seth [49] | |||||
| Shameen et al. [50] | brain | gaze, blink | |||
| Sigari et al. [51] | gaze, blink, PERCLOS, facial, body | ||||
| Sikander and Anwar [52] | HR, brain, pupil | gaze, blink, PERCLOS, body | V | wheel, lane | |
| Singh and Kathuria [53] | pupil | gaze, blink, PERCLOS, facial | wheel, brake, speed | road, traf | |
| Subbaiah et al. [54] | HR, brain, pupil | blink, PERCLOS, facial, body | |||
| Tu et al. [55] | HR, brain | blink, PERCLOS, facial, body | wheel, lane, speed | ||
| Ukwuoma and Bo [56] | HR, breath, brain | blink, PERCLOS, facial, body | wheel, lane, brake | ||
| Vilaca et al. [57] | brain | gaze, body | wheel, lane, brake, speed | ||
| Vismaya and Saritha [58] | gaze, blink, PERCLOS, body | ||||
| Wang et al. [59] | brain, pupil | gaze, blink, PERCLOS, body | lane | ||
| Welch et al. [60] | HR, breath, brain, EDA | blink, facial, speech | wheel, brake, speed | ||
| Yusoff et al. [61] | HR, brain, EDA, pupil | gaze, body | V | lane, speed | |
| Zhang et al. [62] | HR, brain | gaze, blink, PERCLOS, body | lane, speed | ||
Appendix B. Effects of Blood Alcohol Concentration
| BAC (in g/dL) | Typical Effects | Predictable Effects on Driving |
|---|---|---|
| Some loss of judgment; relaxation, slight body warmth, altered mood | Decline in visual functions (rapid tracking of a moving target), decline in ability to perform two tasks at the same time (divided attention) | |
| Exaggerated behavior, may have loss of small-muscle control (e.g., focusing your eyes), impaired judgment, usually good feeling, lowered alertness, release of inhibition | Reduced coordination, reduced ability to track moving objects, difficulty steering, reduced response to emergency driving situations | |
| Muscle coordination becomes poor (e.g., balance, speech, vision, reaction time, and hearing), harder to detect danger; judgment, self-control, reasoning, and memory are impaired | Concentration, short-term memory loss, speed control, reduced information processing capability (e.g., signal detection, visual search), impaired perception | |
| Clear deterioration of reaction time and control, slurred speech, poor coordination, and slowed thinking | Reduced ability to maintain lane position and brake appropriately | |
| Far less muscle control than normal, vomiting may occur (unless this level is reached slowly or a person has developed a tolerance for alcohol), major loss of balance | Substantial impairment in vehicle control, attention to driving task, and in necessary visual and auditory information processing |
Appendix C. Growth of Literature on Driver Monitoring
References
- Singh, S. Critical Reasons for Crashes Investigated in the National Motor Vehicle Crash Causation Survey; Technical Report; National Highway Traffic Safety Administration: Washington, DC, USA, 2018.
- Wouters, P.; Bos, J. Traffic accident reduction by monitoring driver behaviour with in-car data recorders. Accid. Anal. Prev. 2000, 32, 643–650. [Google Scholar] [CrossRef]
- Aidman, E.; Chadunow, C.; Johnson, K.; Reece, J. Real-time driver drowsiness feedback improves driver alertness and self-reported driving performance. Accid. Anal. Prev. 2015, 81, 8–13. [Google Scholar] [CrossRef]
- SAE International. Taxonomy and Definitions for Terms Related to Driving Automation Systems for On-Road Motor Vehicles; Technical Report SAE Standard J3016_202104; Society of Automobile Engineers: Warrendale, PA, USA, 2021. [Google Scholar] [CrossRef]
- El Khatib, A.; Ou, C.; Karray, F. Driver inattention detection in the context of next-generation autonomous vehicles design: A survey. IEEE Trans. Intell. Transp. Syst. 2020, 21, 4483–4496. [Google Scholar] [CrossRef]
- Johns, M.; Sibi, S.; Ju, W. Effect of cognitive load in autonomous vehicles on driver performance during transfer of control. In Proceedings of the 6th International Conference on Automotive User Interfaces and Interactive Vehicular Applications; Association for Computing Machinery: Seattle, WA, USA, 2014; pp. 1–4. [Google Scholar] [CrossRef]
- Gutiérrez, J.; Rodríguez, V.; Martin, S. Comprehensive Review of Vision-Based Fall Detection Systems. Sensors 2021, 21, 947. [Google Scholar] [CrossRef] [PubMed]
- Ahir, A.; Gohokar, V. Driver inattention monitoring system: A review. In Proceedings of the 2019 International Conference on Innovative Trends and Advances in Engineering and Technology (ICITAET), Shegoaon, India, 27–28 December 2019; pp. 188–194. [Google Scholar] [CrossRef]
- Alluhaibi, S.; Al-Din, M.; Moyaid, A. Driver behavior detection techniques: A survey. Int. J. Appl. Eng. Res. 2018, 13, 8856–8861. [Google Scholar]
- Arun, S.; Sundaraj, K.; Murugappan, M. Driver inattention detection methods: A review. In Proceedings of the 2012 IEEE Conference on Sustainable Utilization and Development in Engineering and Technology (STUDENT), Kuala Lumpur, Malaysia, 6–9 October 2012; pp. 1–6. [Google Scholar] [CrossRef]
- Balandong, R.; Ahmad, R.; Saad, M.; Malik, A. A Review on EEG-Based Automatic Sleepiness Detection Systems for Driver. IEEE Access 2018, 6, 22908–22919. [Google Scholar] [CrossRef]
- Begum, S. Intelligent driver monitoring systems based on physiological sensor signals: A review. In Proceedings of the 16th International IEEE Conference on Intelligent Transportation Systems (ITSC 2013), The Hague, The Netherlands, 6–9 October 2013; pp. 282–289. [Google Scholar] [CrossRef]
- Chacon-Murguia, M.; Prieto-Resendiz, C. Detecting driver drowsiness: A survey of system designs and technology. IEEE Consum. Electron. Mag. 2015, 4, 107–119. [Google Scholar] [CrossRef]
- Chan, T.; Chin, C.; Chen, H.; Zhong, X. A Comprehensive Review of Driver Behavior Analysis Utilizing Smartphones. IEEE Trans. Intell. Transp. Syst. 2020, 21, 4444–4475. [Google Scholar] [CrossRef]
- Chhabra, R.; Verma, S.; Krishna, C.R. A survey on driver behavior detection techniques for intelligent transportation systems. In Proceedings of the 2017 7th International Conference on Cloud Computing, Data Science & Engineering—Confluence, Noida, India, 12–13 January 2017; pp. 36–41. [Google Scholar] [CrossRef]
- Chowdhury, A.; Shankaran, R.; Kavakli, M.; Haque, M.M. Sensor applications and physiological features in drivers’ drowsiness detection: A review. IEEE Sens. J. 2018, 18, 3055–3067. [Google Scholar] [CrossRef]
- Chung, W.Y.; Chong, T.W.; Lee, B.G. Methods to detect and reduce driver stress: A review. Int. J. Automot. Technol. 2019, 20, 1051–1063. [Google Scholar] [CrossRef]
- Coetzer, R.; Hancke, G. Driver fatigue detection: A survey. In Proceedings of the 2006 6th World Congress on Intelligent Control and Automation, Dalian, China, 21–23 June 2006; pp. 1–6. [Google Scholar] [CrossRef]
- Dababneh, L.; El-Gindy, M. Driver vigilance level detection systems: A literature survey. Int. J. Veh. Perform. (IJVP) 2015, 2, 1–29. [Google Scholar] [CrossRef]
- Dahiphale, V.; Rao, S. A review paper on portable driver monitoring system for teal time fatigue. In Proceedings of the 2015 International Conference on Computing Communication Control and Automation, Pune, India, 26–27 February 2015; pp. 558–560. [Google Scholar] [CrossRef]
- Dong, Y.; Hu, Z.; Uchimura, K.; Murayama, N. Driver inattention monitoring system for intelligent vehicles: A review. IEEE Trans. Intell. Transp. Syst. 2011, 12, 596–614. [Google Scholar] [CrossRef]
- Ghandour, R.; Neji, B.; El-Rifaie, A.; Al Barakeh, Z. Driver distraction and stress detection systems: A review. Int. J. Eng. Appl. Sci. (IJEAS) 2020, 7. [Google Scholar] [CrossRef]
- Hecht, T.; Feldhütter, A.; Radlmayr, J.; Nakano, Y.; Miki, Y.; Henle, C.; Bengler, K. A Review of Driver State Monitoring Systems in the Context of Automated Driving. In Congress of the International Ergonomics Association (IEA); Springer: Florence, Italy, 2018; pp. 398–408. [Google Scholar] [CrossRef]
- Kang, H. Various approaches for driver and driving behavior monitoring: A review. In Proceedings of the IEEE International Conference on Computer Vision Workshops, Sydney, NSW, Australia, 2–8 December 2013; pp. 616–623. [Google Scholar] [CrossRef]
- Kaplan, S.; Guvensan, M.; Yavuz, A.; Karalurt, Y. Driver behavior analysis for safe driving: A survey. IEEE Trans. Intell. Transp. Syst. 2015, 16, 3017–3032. [Google Scholar] [CrossRef]
- Kaye, S.A.; Lewis, I.; Freeman, J. Comparison of self-report and objective measures of driving behavior and road safety: A systematic review. J. Saf. Res. 2018, 65, 141–151. [Google Scholar] [CrossRef]
- Khan, M.; Lee, S. A Comprehensive Survey of Driving Monitoring and Assistance Systems. Sensors 2019, 19, 2574. [Google Scholar] [CrossRef]
- Kumari, B.; Kumar, P. A survey on drowsy driver detection system. In Proceedings of the International Conference on Big Data Analytics and Computational Intelligence (ICBDAC), Chirala, India, 23–25 March 2017; pp. 272–279. [Google Scholar] [CrossRef]
- Lal, S.; Craig, A. A critical review of the psychophysiology of driver fatigue. Biol. Psychol. 2001, 55, 173–194. [Google Scholar] [CrossRef]
- Laouz, H.; Ayad, S.; Terrissa, L. Literature review on driverś drowsiness and fatigue detection. In Proceedings of the International Conference on Intelligent Systems and Computer Vision (ISCV), Fez, Morocco, 9–11 June 2020; pp. 1–7. [Google Scholar] [CrossRef]
- Leonhardt, S.; Leicht, L.; Teichmann, D. Unobtrusive Vital Sign Monitoring in Automotive Environments—A Review. Sensors 2018, 18, 3080. [Google Scholar] [CrossRef]
- Liu, F.; Li, X.; Lv, T.; Xu, F. A review of driver fatigue detection: Progress and prospect. In Proceedings of the IEEE International Conference on Consumer Electronics (ICCE), Las Vegas, NV, USA, 11–13 January 2019; pp. 1–6. [Google Scholar] [CrossRef]
- Marquart, G.; Cabrall, C.; de Winter, J. Review of Eye-related Measures of Drivers’ Mental Workload. Procedia Manuf. 2015, 3, 2854–2861. [Google Scholar] [CrossRef]
- Marina Martinez, C.; Heucke, M.; Wang, F.; Gao, B.; Cao, D. Driving style recognition for intelligent vehicle control and advanced driver assistance: A survey. IEEE Trans. Intell. Transp. Syst. 2018, 19, 666–676. [Google Scholar] [CrossRef]
- Mashko, A. Review of approaches to the problem of driver fatigue and drowsiness. In Proceedings of the Smart Cities Symposium Prague (SCSP), Prague, Czech Republic, 24–25 June 2015; pp. 1–5. [Google Scholar] [CrossRef]
- Mashru, D.; Gandhi, V. Detection of a drowsy state of the driver on road using wearable sensors: A survey. In Proceedings of the International Conference on Inventive Communication and Computational Technologies (ICICCT), Coimbatore, India, 20–21 April 2018; pp. 691–695. [Google Scholar] [CrossRef]
- Melnicuk, V.; Birrell, S.; Crundall, E.; Jennings, P. Towards hybrid driver state monitoring: Review, future perspectives and the role of consumer electronics. In Proceedings of the IEEE Intelligent Vehicles Symposium, Gothenburg, Sweden, 19–22 June 2016; Volume IV, pp. 1392–1397. [Google Scholar] [CrossRef]
- Mittal, A.; Kumar, K.; Dhamija, S.; Kaur, M. Head movement-based driver drowsiness detection: A review of state-of-art techniques. In Proceedings of the IEEE International Conference on Engineering and Technology (ICETECH), Coimbatore, India, 17–18 March 2016; pp. 903–908. [Google Scholar] [CrossRef]
- Murugan, S.; Selvaraj, J.; Sahayadhas, A. Analysis of different measures to detect driver states: A review. In Proceedings of the IEEE International Conference on System, Computation, Automation and Networking (ICSCAN), Pondicherry, India, 29–30 March 2019; pp. 1–6. [Google Scholar] [CrossRef]
- Nair, I.; Ebrahimkutty, N.; Priyanka, B.; Sreeja, M.; Gopu, D. A survey on driver fatigue-drowsiness detection system. Int. J. Eng. Comput. Sci. 2016, 5, 19237–19240. [Google Scholar] [CrossRef]
- Němcová, A.; Svozilová, V.; Bucsuházy, K.; Smišek, R.; Mézl, M.; Hesko, B.; Belák, M.; Bilik, M.; Maxera, P.; Seitl, M.; et al. Multimodal features for detection of driver stress and fatigue: Review. IEEE Trans. Intell. Transp. Syst. 2021, 22, 3214–3233. [Google Scholar] [CrossRef]
- Ngxande, M.; Tapamo, J.; Burke, M. Driver drowsiness detection using behavioral measures and machine learning techniques: A review of state-of-art techniques. In Proceedings of the Pattern Recognition Association of South Africa and Robotics and Mechatronics (PRASA-RobMech), Bloemfontein, South Africa, 30 November–1 December 2017; pp. 156–161. [Google Scholar] [CrossRef]
- Oviedo-Trespalacios, O.; Haque, M.; King, M.; Washington, S. Understanding the impacts of mobile phone distraction on driving performance: A systematic review. Transp. Res. Part C Emerg. Technol. 2016, 72, 360–380. [Google Scholar] [CrossRef]
- Papantoniou, P.; Papadimitriou, E.; Yannis, G. Review of driving performance parameters critical for distracted driving research. Transp. Res. Procedia 2017, 25, 1796–1805. [Google Scholar] [CrossRef]
- Pratama, B.; Ardiyanto, I.; Adji, T. A review on driver drowsiness based on image, bio-signal, and driver behavior. In Proceedings of the International Conference on Science and Technology—Computer (ICST), Yogyakarta, Indonesia, 11–12 July 2017; pp. 70–75. [Google Scholar] [CrossRef]
- Ramzan, M.; Khan, H.; Awan, S.; Ismail, A.; Ilyas, M.; Mahmood, A. A Survey on State-of-the-Art Drowsiness Detection Techniques. IEEE Access 2019, 7, 61904–61919. [Google Scholar] [CrossRef]
- Sahayadhas, A.; Sundaraj, K.; Murugappan, M. Detecting driver drowsiness based on sensors: A review. Sensors 2012, 12, 16937–16953. [Google Scholar] [CrossRef]
- Scott-Parker, B. Emotions, behaviour, and the adolescent driver: A literature review. Transp. Res. Part F Traffic Psychol. Behav. 2017, 50, 1–37. [Google Scholar] [CrossRef]
- Seth, I. A Survey on Driver Behavior Detection Techniques. Int. J. Sci. Res. Sci. Technol. 2020, 7, 401–404. [Google Scholar] [CrossRef]
- Shameen, Z.; Yusoff, M.; Saad, M.; Malik, A.; Muzammel, M. Electroencephalography (EEG) based drowsiness detection for drivers: A review. ARPN J. Eng. Appl. Sci. 2018, 13, 1458–1464. [Google Scholar]
- Sigari, M.; Pourshahabi, M.; Soryani, M.; Fathy, M. A review on driver face monitoring systems for fatigue and distraction detection. Int. J. Adv. Sci. Technol. 2014, 64, 73–100. [Google Scholar] [CrossRef]
- Sikander, G.; Anwar, S. Driver Fatigue Detection Systems: A Review. IEEE Trans. Intell. Transp. Syst. 2019, 20, 2339–2352. [Google Scholar] [CrossRef]
- Singh, H.; Kathuria, A. Analyzing driver behavior under naturalistic driving conditions: A review. Accid. Anal. Prev. 2021, 150, 1–21. [Google Scholar] [CrossRef]
- Subbaiah, D.; Reddy, P.; Rao, K. Driver drowsiness detection methods: A comprehensive survey. Int. J. Res. Advent Technol. 2019, 7, 992–997. [Google Scholar] [CrossRef]
- Tu, W.; Wei, L.; Hu, W.; Sheng, Z.; Nicanfar, H.; Hu, X.; Ngai, E.; Leung, V. A Survey on Mobile Sensing Based Mood-Fatigue Detection for Drivers. In Smart City 360°; Springer: Berlin/Heidelberg, Germany, 2016; Volume 166, pp. 3–15. [Google Scholar] [CrossRef]
- Ukwuoma, C.; Bo, C. Deep learning review on drivers drowsiness detection. In Proceedings of the Technology Innovation Management and Engineering Science International Conference (TIMES-iCON), Bangkok, Thailand, 11–13 December 2019; pp. 1–5. [Google Scholar] [CrossRef]
- Vilaca, A.; Cunha, P.; Ferreira, A. Systematic literature review on driving behavior. In Proceedings of the International Conference on Intelligent Transportation Systems (ITSC), Yokohama, Japan, 16-19 October 2017; pp. 1–8. [Google Scholar] [CrossRef]
- Vismaya, U.; Saritha, E. A review on driver distraction detection methods. In Proceedings of the International Conference on Communication and Signal Processing (ICCSP), Chennai, India, 28–30 July 2020; pp. 483–487. [Google Scholar] [CrossRef]
- Wang, Q.; Yang, J.; Ren, M.; Zheng, Y. Driver fatigue detection: A survey. In Proceedings of the World Congress on Intelligent Control and Automation, Dalian, China, 21–23 June 2006; Volume 2, pp. 8587–8591. [Google Scholar] [CrossRef]
- Welch, K.; Harnett, C.; Lee, Y.C. A Review on Measuring Affect with Practical Sensors to Monitor Driver Behavior. Safety 2019, 5, 72. [Google Scholar] [CrossRef]
- Yusoff, N.; Ahmad, R.; Guillet, C.; Malik, A.; Saad, N.; Mérienne, F. Selection of measurement method for detection of driver visual cognitive distraction: A review. IEEE Access 2017, 5, 22844–22854. [Google Scholar] [CrossRef]
- Zhang, J.; Qiu, W.; Fu, H.; Zhang, M.; Ma, Q. Review of Techniques for Driver Fatigue Detection. Appl. Mech. Mater. 2013, 433–435, 928–931. [Google Scholar] [CrossRef]
- Johns, M. A sleep physiologist’s view of the drowsy driver. Transp. Res. Part F Traffic Psychol. Behav. 2000, 3, 241–249. [Google Scholar] [CrossRef]
- Massoz, Q. Non-Invasive, Automatic, and Real-Time Characterization of Drowsiness Based on Eye Closure Dynamics. Ph.D. Thesis, University of Liège, Liège, Belgium, 2019. [Google Scholar]
- Johns, M. Assessing the Drowsiness of Drivers. Unpublished Report. 2001. [Google Scholar]
- National Center for Statistics and Analysis. Overview of Motor Vehicle Crashes in 2019; Traffic Safety Facts Research Note. Report No. DOT HS 813 060; Technical Report; National Highway Traffic Safety Administration: Washington, DC, USA, 2020.
- Critchley, M. On Sleepening. Clin. Neurol. Neurosurg. 1992, 94, 121–122. [Google Scholar] [CrossRef]
- May, J.; Baldwin, C. Driver fatigue: The importance of identifying causal factors of fatigue when considering detection and countermeasure technologies. Transp. Res. Part F Traffic Psychol. Behav. 2008, 12, 218–224. [Google Scholar] [CrossRef]
- Ebrahimbabaie, P. Prediction of Risk of an Event Using Sensor Signals, with Application to the Prevention of Driving Accidents Due to Drowsiness. Ph.D. Thesis, University of Liège, Liège, Belgium, 2020. [Google Scholar]
- François, C. Development and Validation of Algorithms for Automatic and Real-Time Characterization of Drowsiness. Ph.D. Thesis, University of Liège, Liège, Belgium, 2018. [Google Scholar]
- Johns, M.; Tucker, A.; Chapman, R. Monitoring the drowsiness of drivers: A new method based on the velocity of eyelid movements. In Proceedings of the World Congress on Intelligent Transport Systems, San Francisco, CA, USA, 6–11 November 2005; pp. 1–16. [Google Scholar]
- Aaronson, L.; Teel, C.; Cassmeyer, V.; Neuberger, G.; Pallikkathayil, L.; Pierce, J.; Press, A.; Williams, P.; Wingate, A. Defining and Measuring Fatigue. J. Nurs. Scholarsh. 2007, 31, 45–50. [Google Scholar] [CrossRef]
- Shen, J.; Barbera, J.; Shapiro, C. Distinguishing sleepiness and fatigue: Focus on definition and measurement. Sleep Med. Rev. 2006, 10, 63–76. [Google Scholar] [CrossRef]
- Tantisatirapong, S.; Senavongse, W.; Phothisonothai, M. Fractal dimension based electroencephalogram analysis of drowsiness patterns. In Proceedings of the International Conference on Electrical Engineering/Electronics, Computer, Telecommunications and Information Technology (ECTI-CON), Chiang Mai, Thailand, 19–21 May 2010; pp. 497–500. [Google Scholar]
- Vicente, J.; Laguna, P.; Bartra, A.; Bailón, R. Drowsiness detection using heart rate variability. Med. Biol. Eng. Comput. 2016, 54, 927–937. [Google Scholar] [CrossRef]
- Persson, A.; Jonasson, H.; Fredriksson, I.; Wiklund, U.; Ahlström, C. Heart rate variability for classification of alert versus sleep deprived drivers in real road driving conditions. IEEE Trans. Intell. Transp. Syst. 2021, 22, 3316–3325. [Google Scholar] [CrossRef]
- Kiashari, S.; Nahvi, A.; Bakhoda, H.; Homayounfard, A.; Tashakori, M. Evaluation of driver drowsiness using respiration analysis by thermal imaging on a driving simulator. Multimed. Tools Appl. 2020, 79, 17793–17815. [Google Scholar] [CrossRef]
- Michael, L.; Passmann, S.; Becker, R. Electrodermal lability as an indicator for subjective sleepiness during total sleep deprivation. J. Sleep Res. 2012, 21, 470–478. [Google Scholar] [CrossRef]
- Lowenstein, O.; Feinberg, R.; Loewenfeld, I. Pupillary movements during acute and chronic fatigue: A new test for the objective evaluation of tiredness. Investig. Ophthalmol. Vis. Sci. 1963, 2, 138–157. [Google Scholar]
- Nishiyama, J.; Tanida, K.; Kusumi, M.; Hirata, Y. The pupil as a possible premonitor of drowsiness. In Proceedings of the Annual International Conference of the IEEE Engineering in Medicine and Biology Society (EMBC), Lyon, France, 22–26 August 2007; pp. 1586–1589. [Google Scholar] [CrossRef]
- Wilhelm, B.; Wilhelm, H.; Lüdtke, H.; Streicher, P.; Adler, M. Pupillographic Assessment of Sleepiness in Sleep-deprived Healthy Subjects. Sleep 1998, 21, 258–265. [Google Scholar] [PubMed]
- Brown, M.; Marmor, M.; Vaegan.; Zrenner, E.; Brigell, M.; Bach, M. ISCEV Standard for Clinical Electro-oculography (EOG) 2006. Doc. Ophthalmol. 2006, 113, 205–212. [Google Scholar] [CrossRef]
- Schleicher, R.; Galley, N.; Briest, S.; Galley, L. Blinks and saccades as indicators of fatigue in sleepiness warnings: Looking tired? Ergonomics 2008, 51, 982–1010. [Google Scholar] [CrossRef] [PubMed]
- Dinges, D.; Mallis, M.; Maislin, G.; Powell, J. Evaluation of Techniques for Ocular Measurement as an Index of Fatigue and the Basis for Alertness Management; Technical Report DOT HS 808 762; National Highway Traffic Safety Administration: Washington, DC, USA, 1998.
- Dinges, D.; Mallis, M.; Maislin, G.; Powell, J. PERCLOS, a Valid Psychophysiological Measure of Alertness as Assessed by Psychomotor Vigilance; Technical Report FHWA-MCRT-98-006; FHWA: Washington, DC, USA, 1998.
- Wierwille, W.; Ellsworth, L.; Wreggit, S.; Fairbanks, R.; Kirn, C. Research on Vehicle-Based Driver Status/performance Monitoring; Development, Validation, and Refinement of Algorithms for Detection of Driver Drowsiness; Technical Report DOT HS 808 247; National Highway Traffic Safety Administration: Washington, DC, USA, 1994.
- Anund, A.; Kecklund, G.; Peters, B.; Forsman, Å.; Arne, L.; Åkerstedt, T. Driver impairment at night and its relation to physiological sleepiness. Scand. J. Work. Environ. Health 2008, 34, 142–150. [Google Scholar] [CrossRef]
- Lisper, H.O.; Laurell, H.; van Loon, J. Relation between time to falling asleep behind the wheel on a closed track and changes in subsidiary reaction time during prolonged driving on a motorway. Ergonomics 1986, 29, 445–453. [Google Scholar] [CrossRef] [PubMed]
- Hultman, M.; Johansson, I.; Lindqvist, F.; Ahlström, C. Driver sleepiness detection with deep neural networks using electrophysiological data. Physiol. Meas. 2021, 42, 034001. [Google Scholar] [CrossRef] [PubMed]
- Åkerstedt, T.; Gillberg, M. Subjective and objective sleepiness in the active individual. Int. J. Neurosci. 1990, 52, 29–37. [Google Scholar] [CrossRef]
- Hoddes, E.; Zarcone, V.; Smythe, H.; Phillips, R.; Dement, W. Quantification of sleepiness: A new approach. Psychophysiology 1973, 10, 431–436. [Google Scholar] [CrossRef]
- Monk, T. A visual analogue scale technique to measure global vigor and affect. Psychiatry Res. 1989, 27, 89–99. [Google Scholar] [CrossRef]
- Forsman, P.; Vila, B.; Short, R.; Mott, C.; Van Dongen, H. Efficient driver drowsiness detection at moderate levels of drowsiness. Accid. Anal. Prev. 2013, 50, 341–350. [Google Scholar] [CrossRef]
- Kircher, A.; Uddman, M.; Sandin, J. Vehicle Control and Drowsiness; Technical Report; VTI: Linköping, Sweden, 2002. [Google Scholar]
- Wierwille, W.; Ellsworth, L. Evaluation of driver drowsiness by trained raters. Accid. Anal. Prev. 1994, 26, 571–581. [Google Scholar] [CrossRef]
- Godthelp, H.; Milgram, P.; Blaauw, G. The Development of a Time-Related Measure to Describe Driving Strategy. Hum. Factors 1984, 26, 257–268. [Google Scholar] [CrossRef]
- Liang, Y.; Horrey, W.; Howard, M.; Lee, M.; Anderson, C.; Shreeve, M.; O’Brien, C.; Czeisler, C. Prediction of drowsiness events in night shift workers during morning driving. Accid. Anal. Prev. 2019, 126, 105–114. [Google Scholar] [CrossRef] [PubMed]
- Liu, C.; Hosking, S.; Lenné, M. Predicting driver drowsiness using vehicle measures: Recent insights and future challenges. J. Saf. Res. 2009, 40, 239–245. [Google Scholar] [CrossRef] [PubMed]
- Verwey, W.; Zaidel, D. Predicting drowsiness accidents from personal attributes, eye blinks and ongoing driving behaviour. Personal. Individ. Differ. 2000, 28, 123–142. [Google Scholar] [CrossRef]
- Arnedt, J.; Wilde, G.; Munt, P.; MacLean, A. Simulated driving performance following prolonged wakefulness and alcohol consumption: Separate and combined contributions to impairment. J. Sleep Res. 2000, 9, 233–241. [Google Scholar] [CrossRef] [PubMed]
- Thiffault, P.; Bergeron, J. Monotony of road environment and driver fatigue: A simulator study. Accid. Anal. Prev. 2003, 35, 381–391. [Google Scholar] [CrossRef]
- Jacobé de Naurois, C.; Bourdin, C.; Stratulat, A.; Diaz, E.; Vercher, J.L. Detection and prediction of driver drowsiness using artificial neural network models. Accid. Anal. Prev. 2019, 126, 95–104. [Google Scholar] [CrossRef]
- Ebrahimbabaie, P.; Verly, J. Excellent Potential of Geometric Brownian Motion (GBM) as a Random Process Model for Level of Drowsiness Signals. In International Joint Conference on Biomedical Engineering Systems and Technologies—BIOSIGNAL; SciTePress: Madeira, Portugal, 2018; pp. 105–112. [Google Scholar] [CrossRef]
- François, C.; Hoyoux, T.; Langohr, T.; Wertz, J.; Verly, J. Tests of a New Drowsiness Characterization and Monitoring System Based on Ocular Parameters. Int. J. Environ. Res. Public Health 2016, 13, 174. [Google Scholar] [CrossRef]
- Silva, H.; Lourenço, A.; Fred, A. In-vehicle driver recognition based on hand ECG signals. In Proceedings of the ACM International Conference on Intelligent User Interfaces, Lisbon, Portugal, 14–17 February 2012; pp. 25–28. [Google Scholar] [CrossRef]
- Leicht, L.; Skobel, E.; Mathissen, M.; Leonhardt, S.; Weyer, S.; Wartzek, T.; Reith, S.; Möhler, W.; Teichmann, D. Capacitive ECG recording and beat-to-beat interval estimation after major cardiac event. In Proceedings of the Annual International Conference of the IEEE Engineering in Medicine and Biology Society (EMBC), Milan, Italy, 25–29 August 2015; pp. 7614–7617. [Google Scholar] [CrossRef]
- Wusk, G.; Gabler, H. Non-invasive detection of respiration and heart rate with a vehicle seat sensor. Sensors 2018, 18, 1463. [Google Scholar] [CrossRef] [PubMed]
- Zhang, Q.; Wu, Q.; Zhou, Y.; Wu, X.; Ou, Y.; Zhou, H. Webcam-based, non-contact, real-time measurement for the physiological parameters of drivers. Measurement 2017, 100, 311–321. [Google Scholar] [CrossRef]
- Izumi, S.; Matsunaga, D.; Nakamura, R.; Kawaguchi, H.; Yoshimoto, M. A Contact-Less Heart Rate Sensor System for Driver Health Monitoring. 2017. Available online: https://pdfs.semanticscholar.org/9059/6a41f8642c5854f88e02a3e121a151747434.pdf (accessed on 17 August 2021).
- Schires, E.; Georgiou, P.; Lande, T. Vital sign monitoring through the back using an UWB impulse radar with body coupled antennas. IEEE Trans. Biomed. Circuits Syst. 2018, 12, 292–302. [Google Scholar] [CrossRef]
- Zhang, K.; Zhang, L.; Liu, Q.; Zhang, D.; Yang, M.H. Fast Visual Tracking via Dense Spatio-temporal Context Learning. In European Conference on Computer Vision (ECCV); Springer: Berlin/Heidelberg, Germany, 2014; Volume 8693, pp. 127–141. [Google Scholar] [CrossRef]
- Massoz, Q.; Verly, J.; Van Droogenbroeck, M. Multi-Timescale Drowsiness Characterization Based on a Video of a Driver’s Face. Sensors 2018, 18, 2801. [Google Scholar] [CrossRef]
- Zin, Z.; Rodzi, A.; Ibrahim, N. Vision based eye closeness classification for driver’s distraction and drowsiness using PERCLOS and support vector machines. In International Conference on Machine Vision (ICMV); SPIE: Bellingham, WA, USA, 2018; Volume 11041. [Google Scholar] [CrossRef]
- Teyeb, I.; Jemai, O.; Zaied, M.; Amar, C. Vigilance measurement system through analysis of visual and emotional driver’s signs using wavelet networks. In Proceedings of the International Conference on Intelligent Systems Design and Applications (ISDA), Marrakech, Morocco, 14–16 December 2015; pp. 140–147. [Google Scholar] [CrossRef]
- Teyeb, I.; Jemai, O.; Zaied, M.; Amar, C. Towards a smart car seat design for drowsiness detection based on pressure distribution of the driver’s body. In Proceedings of the International Conference on Software Engineering Advances (ICSEA), Rome, Italy, 21–25 August 2016; pp. 217–222. [Google Scholar]
- Bergasa, L.; Nuevo, J.; Sotelo, M.; Barea, R.; Lopez, M. Real-time system for monitoring driver vigilance. IEEE Trans. Intell. Transp. Syst. 2006, 7, 63–77. [Google Scholar] [CrossRef]
- Baccour, M.; Driewer, F.; Schack, T.; Kasneci, E. Camera-based driver drowsiness state classification using logistic regression models. In Proceedings of the IEEE International Conference on Systems, Man, and Cybernetics (SMC), Toronto, ON, Canada, 11–14 October 2020; pp. 1–8. [Google Scholar] [CrossRef]
- Dreißig, M.; Baccour, M.; Schäck, T.; Kasneci, E. Driver drowsiness classification based on eye blink and head movement features using the k-NN algorithm. In Proceedings of the Symposium Series on Computational Intelligence (SSCI), Canberra, ACT, Australia, 1–4 December 2020; pp. 889–896. [Google Scholar] [CrossRef]
- Fridman, L.; Brown, D.; Glazer, M.; Angell, W.; Dodd, S.; Jenik, B.; Terwilliger, J.; Patsekin, A.; Kindelsberger, J.; Ding, L.; et al. MIT advanced vehicle technology study: Large-scale naturalistic driving study of driver behavior and interaction with automation. IEEE Access 2019, 7, 102021–102038. [Google Scholar] [CrossRef]
- Li, R.; Liu, C.; Luo, F. A design for automotive CAN bus monitoring system. In Proceedings of the IEEE Vehicle Power and Propulsion Conference, Harbin, China, 3–5 September 2008; pp. 1–5. [Google Scholar] [CrossRef]
- Campbell, K. The SHRP 2 Naturalistic Driving Study. TR News 2012, 282, 30–35. [Google Scholar]
- Apostoloff, N.; Zelinsky, A. Robust vision based lane tracking using multiple cues and particle filtering. In Proceedings of the IEEE Intelligent Vehicles Symposium, Columbus, OH, USA, 9–11 June 2003; pp. 558–563. [Google Scholar] [CrossRef]
- Bakker, B.; Zabłocki, B.; Baker, A.; Riethmeister, V.; Marx, B.; Iyer, G.; Anund, A.; Ahlström, C. A Multi-Stage, Multi-Feature Machine Learning Approach to Detect Driver Sleepiness in Naturalistic Road Driving Conditions. IEEE Trans. Intell. Transp. Syst. 2021, 1–10. [Google Scholar] [CrossRef]
- Marquart, G.; de Winter, J. Workload assessment for mental arithmetic tasks using the task-evoked pupillary response. PeerJ Comput. Sci. 2015, 1, 1–20. [Google Scholar] [CrossRef]
- Hart, S.; Staveland, L. Development of NASA-TLX (Task Load Index): Results of empirical and theoretical research. Adv. Psychol. 1988, 52, 139–183. [Google Scholar] [CrossRef]
- Borghini, G.; Astolfi, L.; Vecchiato, G.; Mattia, D.; Babiloni, F. Measuring neurophysiological signals in aircraft pilots and car drivers for the assessment of mental workload, fatigue and drowsiness. Neurosci. Biobehav. Rev. 2014, 44, 58–75. [Google Scholar] [CrossRef]
- O’Donnel, R.; Eggemeier, F. Workload assessment methodology. In Cognitive Processes and Performance; Wiley: Hoboken, NJ, USA, 1986; Chapter 42; pp. 1–49. [Google Scholar]
- Sanders, M.; McCormick, E. Human Factors in Engineering and Design; Mcgraw-Hill Book Company: New York, NY, USA, 1998; Volume 25. [Google Scholar] [CrossRef]
- Wickens, C.; Hollands, J.; Banbury, S.; Parasuraman, R. Engineering Psychology and Human Performance; Psychology Press: New York, NY, USA, 2015. [Google Scholar] [CrossRef]
- Schaap, T.; Van der Horst, A.; van Arem, B.; Brookhuis, K. The relationship between driver distraction and mental workload. In Driver Distraction and Inattention: Advances in Research and Countermeasures; CRC Press: Boca Raton, FL, USA, 2013; Volume 1, pp. 63–80. [Google Scholar]
- Kajiwara, S. Evaluation of driver’s mental workload by facial temperature and electrodermal activity under simulated driving conditions. Int. J. Autom. Technol. 2014, 15, 65–70. [Google Scholar] [CrossRef]
- Gable, T.; Kun, A.; Walker, B.; Winton, R. Comparing heart rate and pupil size as objective measures of workload in the driving context: Initial look. In Proceedings of the 7th International Conference on Automotive User Interfaces and Interactive Vehicular Applications, Nottingham, UK, 1–3 September 2015; pp. 20–25. [Google Scholar] [CrossRef]
- Paxion, J.; Galy, E.; Berthelon, C. Mental workload and driving. Front. Psychol. 2014, 5, 1344. [Google Scholar] [CrossRef]
- Reimer, B.; Mehler, B.; Coughlin, J.; Godfrey, K.; Tan, C. An on-road assessment of the impact of cognitive workload on physiological arousal in young adult drivers. In Proceedings of the International Conference on Automotive User Interfaces and Interactive Vehicular Applications, Essen, Germany, 21–22 September 2009; pp. 115–118. [Google Scholar] [CrossRef]
- Fournier, L.; Wilson, G.; Swain, C. Electrophysiological, behavioral, and subjective indexes of workload when performing multiple tasks: Manipulations of task difficulty and training. Int. J. Psychophysiol. 1999, 31, 129–145. [Google Scholar] [CrossRef]
- Kim, J.; Jeong, C.; Jung, M.; Park, J.; Jung, D. Highly reliable driving workload analysis using driver electroencephalogram (EEG) activities during driving. Int. J. Autom. Technol. 2013, 14, 965–970. [Google Scholar] [CrossRef]
- Kosch, T.; Hassib, M.; Buschek, D.; Schmidt, A. Look into my eyes: Using pupil dilation to estimate mental workload for task complexity adaptation. In Extended Abstracts of the CHI Conference on Human Factors in Computing Systems; ACM: Montréal, QC, Canada, 2018; pp. 1–6. [Google Scholar] [CrossRef]
- Pfleging, B.; Fekety, D.; Schmidt, A.; Kun, A. A model relating pupil diameter to mental workload and lighting conditions. In Proceedings of the CHI Conference on Human Factors in Computing Systems, San Jose, CA, USA, 7–12 May 2016; pp. 5776–5788. [Google Scholar] [CrossRef]
- Yokoyama, H.; Eihata, K.; Muramatsu, J.; Fujiwara, Y. Prediction of driver’s workload from slow fluctuations of pupil diameter. In Proceedings of the International Conference on Intelligent Transportation Systems (ITSC), Maui, HI, USA, 4–7 November 2018; pp. 1775–1780. [Google Scholar] [CrossRef]
- Fridman, L.; Reimer, B.; Mehler, B.; Freeman, W. Cognitive Load Estimation in the Wild. In Proceedings of the 2018 CHI Conference on Human Factors in Computing Systems, Montreal, Canada, 21–26 April 2018; pp. 1–9. [Google Scholar] [CrossRef]
- Liao, Y.; Li, S.; Wang, W.; Wang, Y.; Li, G.; Cheng, B. Detection of driver cognitive distraction: A comparison study of stop-controlled intersection and speed-limited highway. IEEE Trans. Intell. Transp. Syst. 2016, 17, 1628–1637. [Google Scholar] [CrossRef]
- May, J.; Kennedy, R.; Williams, M.; Dunlap, W.; Brannan, J. Eye movement indices of mental workload. Acta Psychol. 1990, 75, 75–89. [Google Scholar] [CrossRef]
- Palasek, P.; Lavie, N.; Palmer, L. Attentional demand estimation with attentive driving models. In Proceedings of the British Machine Vision Conference (BMVC), Cardiff, Wales, UK, 9–12 September 2019; pp. 1–13. [Google Scholar]
- Musabini, A.; Chetitah, M. Heatmap-based method for estimating drivers’ cognitive distraction. arXiv 2020, arXiv:abs/2005.14136. [Google Scholar]
- Le, A.; Suzuki, T.; Aoki, H. Evaluating driver cognitive distraction by eye tracking: From simulator to driving. Transp. Res. Interdiscip. Perspect. 2020, 4, 1–7. [Google Scholar] [CrossRef]
- Hao, X.; Wang, Z.; Yang, F.; Wang, Y.; Guo, Y.; Zhang, K. The effect of traffic on situation awareness and mental workload: Simulator-based study. In International Conference on Engineering Psychology and Cognitive Ergonomics (EPCE); Springer: Berlin/Heidelberg, Germany, 2007; pp. 288–296. [Google Scholar] [CrossRef]
- Young, K.; Regan, M.; Lee, J. Measuring the effects of driver distraction: Direct driving performance methods and measures. In Driver Distraction: Theory, Effects & Mitigation; CRC Press: Boca Raton, FL, USA, 2009; Chapter 7; pp. 85–105. [Google Scholar]
- Ranney, T.; Mazzae, E.; Garrott, R.; Goodman, M. NHTSA Driver Distraction Research: Past, Present, and Future; Technical Report; SAE: Warrendale, PA, USA, 2000. [Google Scholar]
- Regan, M.; Lee, J.; Young, K. Driver Distraction: Theory, Effects, and Mitigation; CRC Press: Boca Raton, FL, USA, 2008. [Google Scholar]
- Regan, M.; Hallett, C.; Gordon, C. Driver distraction and driver inattention: Definition, relationship and taxonomy. Accid. Anal. Prev. 2011, 43, 1771–1781. [Google Scholar] [CrossRef]
- Almahasneh, H.; Chooi, W.T.; Kamel, N.; Malik, A. Deep in thought while driving: An EEG study on drivers’ cognitive distraction. Transp. Res. Part F Traffic Psychol. Behav. 2014, 26, 218–226. [Google Scholar] [CrossRef]
- Gonçalves, J.; Bengler, K. Driver state monitoring systems–Transferable knowledge manual driving to HAD. Procedia Manuf. 2015, 3, 3011–3016. [Google Scholar] [CrossRef]
- Durso, F.; Gronlund, S. Situation awareness. In Handbook of Applied Cognition; John Wiley & Sons Ltd.: Hoboken, NJ, USA, 1999; pp. 283–314. [Google Scholar]
- Kass, S.; Cole, K.; Stanny, C. Effects of distraction and experience on situation awareness and simulated driving. Transp. Res. Part F Traffic Psychol. Behav. 2007, 10, 321–329. [Google Scholar] [CrossRef]
- Kircher, K.; Ahlström, C. Minimum required attention: A human-centered approach to driver inattention. Hum. Factors 2016, 59, 471–484. [Google Scholar] [CrossRef]
- Ahlström, C.; Georgoulas, G.; Kircher, K. Towards a context-dependent multi-buffer driver distraction detection algorithm. IEEE Trans. Intell. Transp. Syst. 2021, 1–13. [Google Scholar] [CrossRef]
- Tijerina, L. Issues in the evaluation of driver distraction associated with in-vehicle information and telecommunications systems. Transp. Res. Inc 2000, 12, 54–67. [Google Scholar]
- Li, Z.; Bao, S.; Kolmanovsky, I.; Yin, X. Visual-manual distraction detection using driving performance indicators with naturalistic driving data. IEEE Trans. Intell. Transp. Syst. 2017, 19, 2528–2535. [Google Scholar] [CrossRef]
- Le, T.; Zhu, C.; Zheng, Y.; Luu, K.; Savvides, M. Robust hand detection in Vehicles. In Proceedings of the IEEE International Conference on Pattern Recognition (ICPR), Cancun, Mexico, 4–8 December 2016; pp. 573–578. [Google Scholar] [CrossRef]
- Le, T.; Quach, K.; Zhu, C.; Duong, C.; Luu, K.; Savvides, M. Robust hand detection and classification in vehicles and in the wild. In Proceedings of the IEEE International Conference on Computer Vision and Pattern Recognition Workshops (CVPRW), Honolulu, HI, USA, 21–26 July 2017; pp. 39–46. [Google Scholar] [CrossRef]
- Yan, S.; Teng, Y.; Smith, J.; Zhang, B. Driver behavior recognition based on deep convolutional neural networks. In Proceedings of the International Conference on Natural Computation, Fuzzy Systems and Knowledge Discovery (ICNC-FSKD), Changsha, China, 13–15 August 2016; pp. 636–641. [Google Scholar] [CrossRef]
- Baheti, B.; Gajre, S.; Talbar, S. Detection of distracted driver using convolutional neural network. In Proceedings of the IEEE International Conference on Computer Vision and Pattern Recognition Workshops (CVPRW), Salt Lake City, UT, USA, 18–22 June 2018; pp. 1032–1038. [Google Scholar] [CrossRef]
- Masood, S.; Rai, A.; Aggarwal, A.; Doja, M.; Ahmad, M. Detecting distraction of drivers using Convolutional Neural Network. Pattern Recognit. Lett. 2020, 139, 79–85. [Google Scholar] [CrossRef]
- Young, K.; Regan, M. Driver distraction: A review of the literature. In Distracted Driving; Australasian College of Road Safety: Pearce, ACT, Australia, 2007; pp. 379–405. [Google Scholar]
- Fridman, L.; Langhans, P.; Lee, J.; Reimer, B. Driver Gaze Region Estimation without Use of Eye Movement. IEEE Trans. Intell. Transp. Syst. 2016, 31, 49–56. [Google Scholar] [CrossRef]
- Fridman, L.; Lee, J.; Reimer, B.; Victor, T. ‘Owl’ and ‘Lizard’: Patterns of head pose and eye pose in driver gaze classification. IET Comput. Vis. 2016, 10, 308–313. [Google Scholar] [CrossRef]
- Vicente, F.; Huang, Z.; Xiong, X.; De la Torre, F.; Zhang, W.; Levi, D. Driver gaze tracking and eyes off the road detection system. IEEE Trans. Intell. Transp. Syst. 2015, 16, 2014–2027. [Google Scholar] [CrossRef]
- Engström, J.; Markkula, G. Effects of visual and cognitive distraction on lane change test performance. In Proceedings of the International Driving Symposium on Human Factors in Driver Assessment, Stevenson, WA, USA, 10 July 2007; pp. 199–205. [Google Scholar] [CrossRef]
- Liang, Y.; Lee, J. Combining cognitive and visual distraction: Less than the sum of its parts. Accid. Anal. Prev. 2010, 42, 881–890. [Google Scholar] [CrossRef] [PubMed]
- Naqvi, R.; Arsalan, M.; Batchuluun, G.; Yoon, H.; Park, K. Deep learning-based gaze detection system for automobile drivers using a NIR camera sensor. Sensors 2018, 18, 456. [Google Scholar] [CrossRef]
- Mukherjee, S.; Robertson, N. Deep head pose: Gaze-direction estimation in multimodal video. IEEE Trans. Multimed. 2015, 17, 2094–2107. [Google Scholar] [CrossRef]
- Sodnik, J.; Dicke, C.; Tomažič, S.; Billinghurst, M. A user study of auditory versus visual interfaces for use while driving. Int. J. -Hum.-Comput. Stud. 2008, 66, 318–332. [Google Scholar] [CrossRef]
- Vincent, E.; Gribonval, R.; Fevotte, C. Performance measurement in blind audio source separation. IEEE Trans. Audio Speech Lang. Process. 2006, 14, 1462–1469. [Google Scholar] [CrossRef]
- Kahneman, D.; Tursky, B.; Shapiro, D.; Crider, A. Pupillary, heart rate, and skin resistance changes during a mental task. J. Exp. Psychol. 1969, 79, 164–167. [Google Scholar] [CrossRef]
- Hargutt, V.; Kruger, H. Eyelid movements and their predictive value for fatigue stages. In Proceedings of the International Conference on Traffic and Transport Psychology (ICTTP), Berne, Switzerland, 4–7 September 2000. [Google Scholar]
- Schröger, E.; Giard, M.H.; Wolff, C. Auditory distraction: Event-related potential and behavioral indices. Clin. Neurophysiol. 2000, 111, 1450–1460. [Google Scholar] [CrossRef]
- Sonnleitner, A.; Treder, M.; Simon, M.; Willmann, S.; Ewald, A.; Buchner, A.; Schrauf, M. EEG alpha spindles and prolonged brake reaction times during auditory distraction in an on-road driving study. Accid. Anal. Prev. 2014, 62, 110–118. [Google Scholar] [CrossRef]
- NHTSA. Overview of the National Highway Traffic Safety Administration’s Driver Distraction Program; Technical Report; National Highway Traffic Safety Administration: Washington, DC, USA, 2010.
- Ranney, T. Driver Distraction: A Review of the Current State-of-Knowledge; Technical Report; National Highway Traffic Safety Administration: Washington, DC, USA, 2008.
- Strayer, D.; Cooper, J.; Turrill, J.; Coleman, J.; Medeiros-Ward, N.; Biondi, F. Measuring Cognitive Distraction in the Automobile; Technical Report; AAA, Foundation for Traffic Safety: Washington, DC, USA, 2013.
- Harbluk, J.; Noy, Y.; Trbovich, P.; Eizenman, M. An on-road assessment of cognitive distraction: Impacts on drivers’ visual behavior and braking performance. Accid. Anal. Prev. 2007, 39, 372–379. [Google Scholar] [CrossRef] [PubMed]
- Liang, Y.; Reyes, M.; Lee, J. Real-time detection of driver cognitive distraction using support vector machines. IEEE Trans. Intell. Transp. Syst. 2007, 8, 340–350. [Google Scholar] [CrossRef]
- Son, L.; Suzuki, T.; Aoki, H. Evaluation of cognitive distraction in a real vehicle based on the reflex eye movement. Int. J. Automot. Eng. 2018, 9, 1–8. [Google Scholar] [CrossRef][Green Version]
- Strayer, D.; Turrill, J.; Cooper, J.; Coleman, J.; Medeiros-Ward, N.; Biondi, F. Assessing cognitive distraction in the automobile. Hum. Factors 2015, 57, 1300–1324. [Google Scholar] [CrossRef]
- Strayer, D.; Drews, F. Cell-Phone—Induced Driver Distraction. Curr. Dir. Psychol. Sci. 2007, 16, 128–131. [Google Scholar] [CrossRef]
- Hu, T.Y.; Xie, X.; Li, J. Negative or positive? The effect of emotion and mood on risky driving. Transp. Res. Part F Traffic Psychol. Behav. 2013, 16, 29–40. [Google Scholar] [CrossRef]
- Pecher, C.; Lemercier, C.; Cellier, J.M. The Influence of Emotions on Driving Behavior. In Traffic Psychology: An International Perspective; Hennessy, D., Ed.; Nova Science Publishers: Hauppauge, NY, USA, 2010; Chapter 9; pp. 1–27. [Google Scholar]
- Lu, S.; Wei, F.; Li, G. The evolution of the concept of stress and the framework of the stress system. Cell Stress 2021, 5, 76–85. [Google Scholar] [CrossRef]
- Hu, H.; Zhu, Z.; Gao, Z.; Zheng, R. Analysis on biosignal characteristics to evaluate road rage of younger drivers: A driving simulator study. In Proceedings of the IEEE Intelligent Vehicles Symposium, Changshu, China, 26–30 June 2018; Volume IV, pp. 156–161. [Google Scholar] [CrossRef]
- Gavrilescu, M.; Vizireanu, N. Feedforward Neural Network-Based Architecture for Predicting Emotions from Speech. Data 2019, 4, 101. [Google Scholar] [CrossRef]
- Ekman, P. Facial expression and emotion. Am. Psychol. 1993, 48, 384–392. [Google Scholar] [CrossRef] [PubMed]
- Russell, J. Is there universal recognition of emotion from facial expression? A review of the cross-cultural studies. Psychol. Bull. 1994, 115, 102. [Google Scholar] [CrossRef] [PubMed]
- Diverrez, J.M.; Martin, N.; Pallamin, N. Stress interface inducer, a way to generate stress in laboratory conditions. In Proceedings of the International Conference on Methods and Techniques in Behavioral Research (Measuring Behavior), Dublin, Ireland, 25–27 May 2016; pp. 25–27. [Google Scholar]
- Healey, J.; Picard, R. Detecting stress during real-world driving tasks using physiological sensors. IEEE Trans. Intell. Transp. Syst. 2005, 6, 156–166. [Google Scholar] [CrossRef]
- de Santos Sierra, A.; Ávila, C.; del Pozo, G.; Casanova, J. Stress detection by means of stress physiological template. In Proceedings of the World Congress on Nature and Biologically Inspired Computing, Salamanca, Spain, 19–21 October 2011; pp. 131–136. [Google Scholar] [CrossRef]
- Zhao, M.; Adib, F.; Katabi, D. Emotion recognition using wireless signals. In Proceedings of the Annual International Conference on Mobile Computing and Networking, New York, NY, USA, 3–7 October 2016; pp. 95–108. [Google Scholar] [CrossRef]
- Shi, Y.; Ruiz, N.; Taib, R.; Choi, E.; Chen, F. Galvanic skin response (GSR) as an index of cognitive load. In Proceedings of the CHI Extended Abstracts on Human Factors in Computing Systems, San Jose, CA, USA, 28 April–3 May 2007; pp. 2651–2656. [Google Scholar] [CrossRef]
- Partala, T.; Surakka, V. Pupil size variation as an indication of affective processing. Int. J. -Hum.-Comput. Stud. 2003, 59, 185–198. [Google Scholar] [CrossRef]
- Wan, P.; Wu, C.; Lin, Y.; Ma, X. On-road experimental study on driving anger identification model based on physiological features by ROC curve analysis. IET Intell. Transp. Syst. 2017, 11, 290–298. [Google Scholar] [CrossRef]
- Bradley, M.; Lang, P. Measuring emotion: The self-assessment manikin and the semantic differential. J. Behav. Ther. Exp. Psychiatry 1994, 25, 49–59. [Google Scholar] [CrossRef]
- Li, H.; Sun, J.; Xu, Z.; Chen, L. Multimodal 2D+3D facial expression recognition with deep fusion convolutional neural network. IEEE Trans. Multimed. 2017, 19, 2816–2831. [Google Scholar] [CrossRef]
- Zhang, T.; Zheng, W.; Cui, Z.; Zong, Y.; Yan, J.; Yan, K. A deep neural network-driven feature learning method for multi-view facial expression recognition. IEEE Trans. Multimed. 2016, 18, 2528–2536. [Google Scholar] [CrossRef]
- Gao, H.; Yüce, A.; Thiran, J.P. Detecting emotional stress from facial expressions for driving safety. In Proceedings of the IEEE International Conference on Image Processing (ICIP), Paris, France, 27–30 October 2014; pp. 5961–5965. [Google Scholar] [CrossRef]
- Jeong, M.; Ko, B. Driver’s Facial Expression Recognition in Real-Time for Safe Driving. Sensors 2018, 18, 4270. [Google Scholar] [CrossRef]
- Melnicuk, V.; Birrell, S.; Crundall, E.; Jennings, P. Employing consumer electronic devices in physiological and emotional evaluation of common driving activities. In Proceedings of the IEEE Intelligent Vehicles Symposium, Los Angeles, CA, USA, 11–14 June 2017; Volume IV, pp. 1529–1534. [Google Scholar] [CrossRef]
- Murthy, R.; Pavlidis, I.; Tsiamyrtzis, P. Touchless monitoring of breathing function. In Proceedings of the Annual International Conference of the IEEE Engineering in Medicine and Biology Society, San Francisco, CA, USA, 1–5 September 2004; pp. 1196–1199. [Google Scholar] [CrossRef]
- Ragot, M.; Martin, N.; Em, S.; Pallamin, N.; Diverrez, J.M. Emotion recognition using physiological signals: Laboratory vs. wearable sensors. In International Conference on Applied Human Factors and Ergonomics; Springer: Berlin/Heidelberg, Germany, 2017; Volume 608, pp. 15–22. [Google Scholar] [CrossRef]
- Gouverneur, P.; Jaworek-Korjakowska, J.; Köping, L.; Shirahama, K.; Kleczek, P.; Grzegorzek, M. Classification of physiological data for emotion recognition. In International Conference on Artificial Intelligence and Soft Computing (ICAISC); Springer: Berlin/Heidelberg, Germany, 2017; Volume 10245, pp. 619–627. [Google Scholar] [CrossRef]
- Ollander, S.; Godin, C.; Campagne, A.; Charbonnier, S. A comparison of wearable and stationary sensors for stress detection. In Proceedings of the IEEE International Conference on Systems, Man, and Cybernetics (SMC), Budapest, Hungary, 9–12 October 2016; pp. 4362–4366. [Google Scholar] [CrossRef]
- Sevil, M.; Hajizadeh, I.; Samadi, S.; Feng, J.; Lazaro, C.; Frantz, N.; Yu, X.; Brandt, R.; Maloney, Z.; Cinar, A. Social and competition stress detection with wristband physiological signals. In Proceedings of the IEEE International Conference on Wearable and Implantable Body Sensor Networks (BSN), Eindhoven, The Netherlands, 9–12 May 2017; pp. 39–42. [Google Scholar] [CrossRef]
- Bořil, H.; Boyraz, P.; Hansen, J. Towards multimodal driver’s stress detection. In Digital Signal Processing for In-Vehicle Systems and Safety; Springer: New York, NY, USA, 2012; pp. 3–19. [Google Scholar] [CrossRef]
- Basu, S.; Chakraborty, J.; Bagb, A.; Aftabuddin, M. A review on emotion recognition using speech. In Proceedings of the International Conference on Inventive Communication and Computational Technologies (ICICCT), Coimbatore, India, 10–11 March 2017; pp. 109–114. [Google Scholar] [CrossRef]
- Zhang, S.; Zhang, S.; Huang, T.; Gao, W. Speech emotion recognition using deep convolutional neural network and discriminant temporal pyramid matching. IEEE Trans. Multimed. 2018, 20, 1576–1590. [Google Scholar] [CrossRef]
- Marillier, M.; Verstraete, A. Driving under the influence of drugs. WIREs Forensic Sci. 2019, 1, 1–24. [Google Scholar] [CrossRef]
- Zapata, F.; Matey, J.; Montalvo, G.; García-Ruiz, C. Chemical classification of new psychoactive substances (NPS). Microchem. J. 2021, 163, 1–13. [Google Scholar] [CrossRef]
- Alonso, F. Driving under the influence. In The SAGE Encyclopedia of Criminal Psychology; SAGE: Thousand Oaks, CA, USA, 2019; Volume 1, pp. 392–394. [Google Scholar] [CrossRef]
- Alonso, F.; Pastor, J.; Montoro, L.; Esteban, C. Driving under the influence of alcohol: Frequency, reasons, perceived risk and punishment. Subst. Abus. Treat. Prev. Policy 2015, 10, 1–9. [Google Scholar] [CrossRef]
- Attia, H.; Takruri, M.; Ali, H. Electronic monitoring and protection system for drunk driver based on breath sample testing. In Proceedings of the International Conference on Electronic Devices, Systems and Applications (ICEDSA), Ras Al Khaimah, United Arab Emirates, 6–8 December 2016; pp. 1–4. [Google Scholar]
- Oscar-Berman, M.; Shagrin, B.; Evert, D.; Epstein, C. Impairments of brain and behavior: The neurological effects of alcohol. Alcohol Health Res. World 1997, 21, 65–75. [Google Scholar]
- Garrisson, H.; Scholey, A.; Ogden, E.; Benson, S. The effects of alcohol intoxication on cognitive functions critical for driving: A systematic review. Accid. Anal. Prev. 2021, 154, 1–11. [Google Scholar] [CrossRef]
- WHO. Global Status Report on Road Safety 2018: Summary; Technical Report; WHO/NMH/NVI/18.20; World Health Organization: Geneva, Switzerland, 2018. [Google Scholar]
- Christoforou, Z.; Karlaftis, M.; Yannis, G. Reaction times of young alcohol-impaired drivers. Accid. Anal. Prev. 2013, 61, 54–62. [Google Scholar] [CrossRef]
- Peck, R.; Gebers, M.; Voas, R.; Romano, E. The relationship between blood alcohol concentration (BAC), age, and crash risk. J. Saf. Res. 2008, 39, 311–319. [Google Scholar] [CrossRef] [PubMed]
- Zador, P.; Krawchuk, S.; Voas, R. Alcohol-related relative risk of driver fatalities and driver involvement in fatal crashes in relation to driver age and gender: An update using 1996 data. J. Stud. Alcohol 2000, 61, 387–395. [Google Scholar] [CrossRef]
- Gunn, C.; Mackus, M.; Griffin, C.; Munafò, M.; Adams, S. A Systematic Review of the Next-Day Effects of Heavy Alcohol Consumption on Cognitive Performance. Addiction 2018, 113, 2182–2193. [Google Scholar] [CrossRef]
- Verster, J.; Bervoets, A.; de Klerk, S.; Vreman, R.; Olivier, B.; Roth, T.; Brookhuis, K. Effects of alcohol hangover on simulated highway driving performance. Psychopharmacology 2014, 231, 2999–3008. [Google Scholar] [CrossRef] [PubMed]
- PAHO. Drinking and Driving; Technical Report PAHO/NMH/18-011; Pan American Health Organization: Washington, DC, USA, 2018. [Google Scholar]
- Rosero-Montalvo, P.; López-Batista, V.; Peluffo-Ordóñez, D. Hybrid embedded-systems-based approach to in-driver drunk status detection using image processing and sensor networks. IEEE Sensors J. 2021, 21, 15729–15740. [Google Scholar] [CrossRef]
- Sanghvi, K. Drunk Driving Detection. Comput. Sci. Inf. Technol. 2018, 6, 24–30. [Google Scholar] [CrossRef][Green Version]
- NHTSA. The Visual Detection of DWI Motorists; Technical Report DOT HS 808 677; National Highway Traffic Safety Administration: Washington, DC, USA, 1998.
- Irwin, C.; Iudakhina, E.; Desbrow, B.; McCartney, D. Effects of acute alcohol consumption on measures of simulated driving: A systematic review and meta-analysis. Accid. Anal. Prev. 2017, 102, 248–266. [Google Scholar] [CrossRef]
- Martin, T.; Solbeck, P.; Mayers, D.; Langille, R.; Buczek, Y.; Pelletier, M. A review of alcohol-impaired driving: The role of blood alcohol concentration and complexity of the driving task. J. Forensic Sci. 2013, 58, 1238–1250. [Google Scholar] [CrossRef]
- Mets, M.; Kuipers, E.; de Senerpont Domis, L.; Leenders, M.; Olivier, B.; Verster, J. Effects of alcohol on highway driving in the STISIM driving simulator. Hum. Psychopharmacol. Clin. Exp. 2011, 26, 434–439. [Google Scholar] [CrossRef]
- Joye, T.; Rocher, K.; Déglon, J.; Sidibé, J.; Favrat, B.; Augsburger, M.; Thomas, A. Driving under the influence of drugs: A single parallel monitoring-based quantification approach on whole blood. Front. Chem. 2020, 8, 1–10. [Google Scholar] [CrossRef]
- Charniya, N.; Nair, V. Drunk driving and drowsiness detection. In Proceedings of the International Conference on Intelligent Computing and Control (I2C2), Coimbatore, India, 23–24 June 2017; pp. 1–6. [Google Scholar] [CrossRef]
- Ray, A.; Das, A.; Kundu, A.; Ghosh, A.; Rana, T. Prevention of driving under influence using microcontroller. In Proceedings of the International Conference on Electronics, Materials Engineering and Nano-Technology (IEMENTech), Kolkata, India, 28–29 April 2017; pp. 1–2. [Google Scholar] [CrossRef]
- Sakairi, M. Water-Cluster-Detecting Breath Sensor and Applications in Cars for Detecting Drunk or Drowsy Driving. IEEE Sensors J. 2012, 12, 1078–1083. [Google Scholar] [CrossRef]
- Kojima, S.; Maeda, S.; Ogura, Y.; Fujita, E.; Murata, K.; Kamei, T.; Tsuji, T.; Kaneko, S.; Yoshizumi, M. Noninvasive biological sensor system for detection of drunk driving. In Proceedings of the International Conference on Information Technology and Applications in Biomedicine (ITAB), Larnaka, Cyprus, 4–7 November 2009; pp. 1–4. [Google Scholar] [CrossRef]
- Murata, K.; Fujita, E.; Kojima, S.; Maeda, S.; Ogura, Y.; Kamei, T.; Tsuji, T.; Kaneko, S.; Yoshizumi, M.; Suzuki, N. Noninvasive Biological Sensor System for Detection of Drunk Driving. IEEE Trans. Inf. Technol. Biomed. 2011, 15, 19–25. [Google Scholar] [CrossRef]
- Wu, C.; Tsang, K.; Chi, H. A wearable drunk detection scheme for healthcare applications. In Proceedings of the IEEE International Conference on Industrial Informatics (INDIN), Poitiers, France, 19–21 July 2016; pp. 878–881. [Google Scholar] [CrossRef]
- Wu, C.; Tsang, K.; Chi, H.; Hung, F. A precise drunk driving detection using weighted kernel based on electrocardiogram. Sensors 2016, 16, 659. [Google Scholar] [CrossRef]
- Hermosilla, G.; Verdugo, J.; Farias, G.; Vera, E.; Pizarro, F.; Machuca, M. Face Recognition and Drunk Classification Using Infrared Face Images. J. Sens. 2018, 2018, 5813514. [Google Scholar] [CrossRef]
- Koukiou, G.; Anastassopoulos, V. Local difference patterns for drunk person identification. Multimed. Tools Appl. 2018, 77, 9293–9305. [Google Scholar] [CrossRef]
- Menon, S.; Swathi, J.; Anit, S.; Nair, A.; Sarath, S. Driver face recognition and sober drunk classification using thermal images. In Proceedings of the International Conference on Communication and Signal Processing (ICCSP), Chennai, India, 4–6 April 2019; pp. 400–404. [Google Scholar] [CrossRef]
- Berri, R.; Osório, F. A nonintrusive system for detecting drunk drivers in modern vehicles. In Proceedings of the Brazilian Conference on Intelligent Systems (BRACIS), São Paulo, Brazil, 22–25 October 2018; pp. 73–78. [Google Scholar] [CrossRef]
- El Basiouni El Masri, A.; Artail, H.; Akkary, H. Toward self-policing: Detecting drunk driving behaviors through sampling CAN bus data. In Proceedings of the International Conference on Electrical and Computing Technologies and Applications (ICECTA), Ras Al Khaimah, United Arab Emirates, 21–23 November 2017; pp. 1–5. [Google Scholar] [CrossRef]
- Harkous, H.; Bardawil, C.; Artail, H.; Daher, N. Application of hidden Markov model on car sensors for detecting drunk drivers. In Proceedings of the IEEE International Multidisciplinary Conference on Engineering Technology (IMCET), Beirut, Lebanon, 14–16 November 2018; pp. 1–6. [Google Scholar] [CrossRef]
- Harkous, H.; Artail, H. A two-stage machine learning method for highly-accurate drunk driving detection. In Proceedings of the International Conference on Wireless and Mobile Computing, Networking and Communications (WiMob), Barcelona, Spain, 21–23 October 2019; pp. 1–6. [Google Scholar] [CrossRef]
- Li, Z.; Jin, X.; Zhao, X. Drunk driving detection based on classification of multivariate time series. J. Saf. Res. 2015, 54, 61–67. [Google Scholar] [CrossRef]
- Shirazi, M.; Rad, A. Detection of Intoxicated Drivers Using Online System Identification of Steering Behavior. IEEE Trans. Intell. Transp. Syst. 2014, 15, 1738–1747. [Google Scholar] [CrossRef]
- Dai, J.; Teng, J.; Bai, X.; Shen, Z.; Xuan, D. Mobile phone based drunk driving detection. In Proceedings of the International ICST Conference on Pervasive Computing Technologies for Healthcare, Munich, Germany, 22–25 March 2010; pp. 1–8. [Google Scholar] [CrossRef]
- Saponara, S.; Greco, M.; Gini, F. Radar-on-chip/in-package in autonomous driving vehicles and intelligent transport systems: Opportunities and challenges. IEEE Signal Process. Mag. 2019, 36, 71–84. [Google Scholar] [CrossRef]
- Linardatos, P.; Papastefanopoulos, V.; Kotsiantis, S. Explainable AI: A Review of Machine Learning Interpretability Methods. Entropy 2021, 23, 18. [Google Scholar] [CrossRef]
- Zablocki, É.; Ben-Younes, H.; Pérez, P.; Cord, M. Explainability of vision-based autonomous driving systems: Review and challenges. arXiv 2021, arXiv:abs/2101.05307. [Google Scholar]




| SAE Levels | 0 | 1 | 2 | 3 | 4 | 5 | |
|---|---|---|---|---|---|---|---|
| Actors | No Driving Automation | Driver Assistance | Partial Driving Automation | Conditional Driving Automation | High Driving Automation | Full Driving Automation | |
| Driver | Driving and supervising DS features | Driving when AD features request it | Driving (if desired) when AD features reach their limits | / | |||
| Driver-Support (DS)Features | Warning and temporary support | Lateral or longitudinal support | Lateral and longitudinal support | / | / | / | |
| Automated-Driving (AD) Features | / | / | / | Driving when AD features permit it | Driving | ||
| DriverMonitoring(DM) | Monitoring | Monitoring with relevant indicators | Monitoring fallback- ready driver | Monitoring when driver in control | / | ||
| References | States | Indicators | Sensors | Tests | ||||||||||
|---|---|---|---|---|---|---|---|---|---|---|---|---|---|---|
| Drowsiness | Mental Workload | Distraction | Emotions | Under the Influence | Driver | Vehicle | Environment | Driver | Vehicle | Environment | ||||
| Physiological | Behavioral | Subjective | ||||||||||||
| Ahir and Gohokar [8] | V | HR, brain | gaze, blink, PERCLOS, facial, body | wheel, lane, speed | cam, elec | ext cam | real, sim | |||||||
| Alluhaibi et al. [9] | V | V | ang | speech | wheel, lane, brake, speed | cam *, mic * | V * | |||||||
| Arun et al. [10] | vis, cog | HR, brain, EDA, pupil | gaze, blink, body | V | wheel, lane, brake, speed | cam, wea d, eye t | V | sim | ||||||
| Balandong et al. [11] | V | HR, brain | gaze, blink, PERCLOS, body | V | wheel, lane, brake, speed | elec | sim | |||||||
| Begum [12] | V | V | stress | HR, brain | seat, ste w, saf b, wea d | real, sim | ||||||||
| Chacon-Murguia and Prieto-Resendiz [13] | V | HR, brain, EDA | gaze, blink, body | wheel, lane, brake, speed | ste w, cam | radar | real | |||||||
| Chan et al. [14] | V | HR, brain | blink, PERCLOS, facial, body | wheel, brake, speed | cam *, mic * | real | ||||||||
| Chhabra et al. [15] | V | V | alc | breath | gaze, PERCLOS, facial, body | wheel | road | seat, cam *, mic * | V * | real, sim | ||||
| Chowdhury et al. [16] | V | HR, brain, EDA | blink, PERCLOS | sim | ||||||||||
| Chung et al. [17] | stress | HR, breath, brain, EDA, pupil | speech | V | wheel, lane, brake, speed | cam, wea d | V | real, sim | ||||||
| Coetzer and Hancke [18] | V | brain | gaze, PERCLOS, facial, body | wheel, lane, speed | cam | V | real, sim | |||||||
| Dababneh and El-Gindy [19] | V | brain, EDA, pupil | blink, PERCLOS, body | wheel, lane, speed | road | cam, wea d | radar | real, sim | ||||||
| Dahiphale and Rao [20] | V | V | gaze, blink, facial, body | wheel | cam | real | ||||||||
| Dong et al. [21] | V | V | HR, brain, pupil | gaze, blink, PERCLOS, facial, body | V | wheel, lane, speed | road, wea | cam | V | real | ||||
| El Khatib et al. [5] | V | man, vis, cog | HR, breath, brain, EDA, pupil | gaze, blink, PERCLOS, facial, body, hands | wheel, lane, speed | cam | V * | ext cam, radar | real, sim | |||||
| Ghandour et al. [22] | man, vis, aud, cog | stress | HR, breath, brain, EDA | gaze, facial, body, speech | V | wheel, brake, speed | cam, wea d | real, sim | ||||||
| Hecht et al. [23] | V | V | V | HR, brain, EDA, pupil | gaze, blink, PERCLOS, facial, body | V | elec, eye t | real, sim | ||||||
| Kang [24] | V | V | HR, breath, brain, EDA | gaze, blink, facial, body | wheel, lane, brake, speed | seat, ste w, cam | V | real, sim | ||||||
| Kaplan et al. [25] | V | V | HR, brain | gaze, blink, PERCLOS, facial, body, speech | wheel, lane, brake, speed | ste w, cam *, mic *, wea d | V | real, sim | ||||||
| Kaye et al. [26] | V | stress | HR, breath, brain, EDA | V | real, sim | |||||||||
| Khan and Lee [27] | V | man, vis, aud, cog | HR, brain, EDA | gaze, PERCLOS, body | wheel, lane, brake, speed | wea d | real | |||||||
| Kumari and Kumar [28] | V | HR, brain | gaze, blink, PERCLOS, body | V | wheel, lane | cam | ||||||||
| Lal and Craig [29] | V | HR, brain, EDA | PERCLOS, facial | cam | sim | |||||||||
| Laouz et al. [30] | V | HR, brain, EDA | blink, PERCLOS, facial, body | V | wheel, speed | seat, cam, wea d | ext cam | real | ||||||
| Leonhardt et al. [31] | HR, breath | seat, ste w, saf b, cam | real | |||||||||||
| Liu et al. [32] | V | HR, brain, pupil | gaze, blink, PERCLOS, body | wheel, lane, speed | cam | V | real | |||||||
| Marquart et al. [33] | V | pupil | gaze, blink, PERCLOS | V | eye t | real, sim | ||||||||
| Marina Martinez et al. [34] | ang | brake, speed | V * | |||||||||||
| Mashko [35] | V | HR, brain, EDA | gaze, blink, body | wheel, lane, brake, speed | cam, wea d | V | ext cam, radar | real, sim | ||||||
| Mashru and Gandhi [36] | V | HR, breath | blink, PERCLOS, facial, body | V | wheel, lane | seat, ste w, cam, wea d | sim | |||||||
| Melnicuk et al. [37] | V | V | cog | stress, ang | HR, brain | blink, PERCLOS, facial | wheel, brake, speed | road, traf, wea | seat, ste w, saf b, cam *, wea d | V * | real | |||
| Mittal et al. [38] | V | HR, brain, pupil | blink, PERCLOS, body | V | wheel, lane, brake, speed | cam, elec | V | ext cam | real | |||||
| Murugan et al. [39] | V | HR, breath, brain, EDA, pupil | blink, PERCLOS, body | V | wheel, lane, speed | cam, elec | V | sim | ||||||
| Nair et al. [40] | V | V | alc | gaze, PERCLOS, facial, body | lane | seat, cam * | V | radar | ||||||
| Němcová et al. [41] | V | stress | HR, breath, brain, EDA | gaze, blink, PERCLOS, facial, body | wheel, lane, brake, speed | seat, ste w, cam, wea d, eye t | V | real, sim | ||||||
| Ngxande et al. [42] | V | blink, PERCLOS, facial, body | cam | |||||||||||
| Oviedo-Trespalacios et al. [43] | V | V | gaze | wheel, lane, brake, speed | real, sim | |||||||||
| Papantoniou et al. [44] | V | V | HR, breath, brain | gaze, blink, speech | V | wheel, lane, speed | cam | ext cam, radar | real, sim | |||||
| Pratama et al. [45] | V | HR, brain, EDA | gaze, blink, PERCLOS, facial, body, hands | V | wheel, lane | cam, wea d, elec | ext cam | real, sim | ||||||
| Ramzan et al. [46] | V | HR, breath, brain | blink, PERCLOS, facial, body | wheel, lane, speed | cam, wea d, elec | V | real, sim | |||||||
| Sahayadhas et al. [47] | V | HR, brain, pupil | gaze, blink, PERCLOS, body | V | wheel, lane | seat, ste w, cam, wea d | V | real, sim | ||||||
| Scott-Parker [48] | stress, ang | HR, brain, EDA | gaze, facial | V | wheel, lane, brake, speed | traf | eye t | ext cam | real, sim | |||||
| Seth [49] | V | cam | V | real | ||||||||||
| Shameen et al. [50] | V | brain | gaze, blink | elec | sim | |||||||||
| Sigari et al. [51] | V | gaze, blink, PERCLOS, facial, body | cam | real | ||||||||||
| Sikander and Anwar [52] | V | HR, brain, pupil | gaze, blink, PERCLOS, body | V | wheel, lane | seat, ste w, saf b, cam, wea d, elec | real | |||||||
| Singh and Kathuria [53] | V | V | V | V | pupil | gaze, blink, PERCLOS, facial | wheel, brake, speed | road, traf | cam, wea d | V | ext cam, radar | real | ||
| Subbaiah et al. [54] | V | HR, brain, pupil | blink, PERCLOS, facial, body | cam | real, sim | |||||||||
| Tu et al. [55] | V | HR, brain | blink, PERCLOS, facial, body | wheel, lane, speed | cam *, wea d, elec | V | real, sim | |||||||
| Ukwuoma and Bo [56] | V | HR, breath, brain | blink, PERCLOS, facial, body | wheel, lane, brake | cam, wea d, elec | real | ||||||||
| Vilaca et al. [57] | V | V | brain | gaze, body | wheel, lane, brake, speed | cam, mic | V | ext cam | ||||||
| Vismaya and Saritha [58] | V | gaze, blink, PERCLOS, body | cam, eye t | real, sim | ||||||||||
| Wang et al. [59] | V | brain, pupil | gaze, blink, PERCLOS, body | lane | cam, wea d | real, sim | ||||||||
| Welch et al. [60] | stress, ang | HR, breath, brain, EDA | blink, facial, speech | wheel, brake, speed | seat, ste w, cam, wea d | V | real, sim | |||||||
| Yusoff et al. [61] | vis, cog | HR, brain, EDA, pupil | gaze, body | V | lane, speed | eye t | ||||||||
| Zhang et al. [62] | V | HR, brain | gaze, blink, PERCLOS, body | lane, speed | cam | ext cam | real, sim | |||||||
| States | Indicators | Sensors | Tests | ||||
|---|---|---|---|---|---|---|---|
| Distraction | Driver | Driver | real | real conditions | |||
| aud | auditory | blink | blink dynamics | cam | camera | sim | simulated conditions |
| cog | cognitive | body | body posture | elec | electrode(s) | ||
| man | manual | brain | brain activity | eye t | eye tracker | ||
| vis | visual | breath | breathing activity | mic | microphone | ||
| Emotions | EDA | electrodermal activity | saf b | safety belt | |||
| ang | anger | facial | facial expressions | ste w | steering wheel | ||
| Under the Influence | hands | hands parameters | Environment | ||||
| alc | alcohol | HR | heart rate/activity | ext cam | external camera | ||
| pupil | pupil diameter | ||||||
| Vehicle | |||||||
| brake | braking behavior | ||||||
| lane | lane discipline | ||||||
| wheel | wheel steering | ||||||
| Environment | |||||||
| road | road geometry | ||||||
| traf | traffic density | ||||||
| wea | weather | ||||||
Publisher’s Note: MDPI stays neutral with regard to jurisdictional claims in published maps and institutional affiliations. |
© 2021 by the authors. Licensee MDPI, Basel, Switzerland. This article is an open access article distributed under the terms and conditions of the Creative Commons Attribution (CC BY) license (https://creativecommons.org/licenses/by/4.0/).
Share and Cite
Halin, A.; Verly, J.G.; Van Droogenbroeck, M. Survey and Synthesis of State of the Art in Driver Monitoring. Sensors 2021, 21, 5558. https://doi.org/10.3390/s21165558
Halin A, Verly JG, Van Droogenbroeck M. Survey and Synthesis of State of the Art in Driver Monitoring. Sensors. 2021; 21(16):5558. https://doi.org/10.3390/s21165558
Chicago/Turabian StyleHalin, Anaïs, Jacques G. Verly, and Marc Van Droogenbroeck. 2021. "Survey and Synthesis of State of the Art in Driver Monitoring" Sensors 21, no. 16: 5558. https://doi.org/10.3390/s21165558
APA StyleHalin, A., Verly, J. G., & Van Droogenbroeck, M. (2021). Survey and Synthesis of State of the Art in Driver Monitoring. Sensors, 21(16), 5558. https://doi.org/10.3390/s21165558

