Development of a Robust Autofluorescence Lifetime Sensing Method for Use in an Endoscopic Application
Abstract
1. Introduction
2. Methods
3. Experimental Setup
3.1. Motion Tracking Fluorescence Lifetime Imaging System
3.2. Bio-Mimicking Phantom
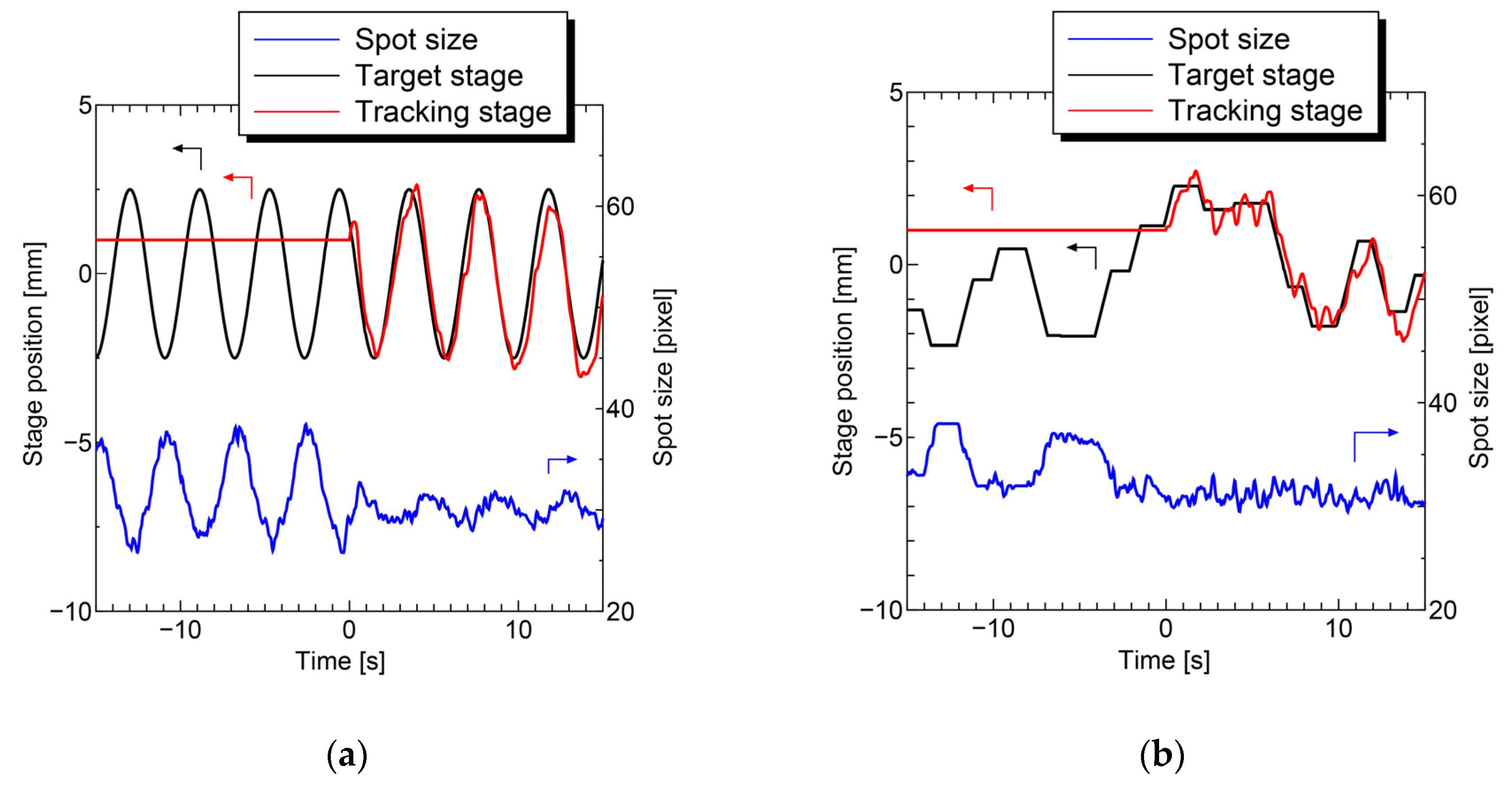
4. Results and Discussion
5. Conclusions
Author Contributions
Funding
Acknowledgments
Conflicts of Interest
References
- Wang, X.F.; Periasamy, A.; Herman, B.; Coleman, D.M. Fluorescence lifetime imaging microscopy (FLIM): Instrumentation and applications. Crit. Rev. Anal. Chem. 1992, 23, 369–395. [Google Scholar] [CrossRef]
- Ito, T.; Oshita, S.; Nakabayashi, T.; Sun, F.; Kinjo, M.; Ohta, N. Fluorescence lifetime images of green fluorescent protein in HeLa cells during TNF-α induced apoptosis. Photochem. Photobiol. Sci. 2009, 8, 763–767. [Google Scholar] [CrossRef] [PubMed]
- Islam, M.S.; Honma, M.; Nakabayashi, T.; Kinjo, M.; Ohta, N. pH dependence of the fluorescence lifetime of FAD in solution and in cells. Int. J. Mol. Sci. 2013, 14, 1952–1963. [Google Scholar] [CrossRef] [PubMed]
- Chacko, J.V.; Eliceiri, K.W. Autofluorescence lifetime imaging of cellular metabolism: Sensitivity towards cell density, pH, intracellular and intercellular heterogeneity. Cytom. A 2019, 95, 56–69. [Google Scholar] [CrossRef] [PubMed]
- Skala, M.C.; Riching, K.M.; Fitzpatrick, A.G.; Eickoff, J.; Eliceiri, K.W.; White, J.G.; Ramanujam, N. In vivo multiphoton microscopy of NADH and FAD redox states, fluorescence lifetimes, and cellular morphology in precancerous epithelia. PNAS 2007, 104, 19494–19499. [Google Scholar] [CrossRef]
- Phipps, J.E.; Gorpas, D.; Unger, J.; Darrow, M.; Bold, R.J.; Marcu, L. Automated detection of breast cancer in resected specimens with fluorescence lifetime imaging. Phys. Med. Biol. 2018, 63, 015003. [Google Scholar] [CrossRef]
- Munro, I.; McGinty, J.; Galletly, N.; Isidro, J.R.; Lanigan, P.M.P.; Elson, D.S.; Dunsby, C.; Neil, M.A.A.; Lever, M.J.; Stamp, G.W.; et al. Toward the clinical application of time-domain fluorescence lifetime imaging. J. Biomed. Opt. 2005, 10, 051403. [Google Scholar] [CrossRef]
- Pires, L.; Nogueira, M.S.; Pratavieira, S.; Moriyama, L.T.; Kurachi, C. Time-resolved fluorescence lifetime for cutaneous melanoma detection. Biomed. Opt. Express 2014, 5, 3080–3089. [Google Scholar] [CrossRef]
- Sharma, V.; Kapur, P.; Olweny, E.; Cadeddu, J.; Roehrborn, C.R.; Liu, H. Auto-Fluorescence Lifetime Spectroscopy for Prostate Cancer Detection: An Optical Biopsy Approach. In Proceedings of the Biomedical Optics and 3D Imaging, Miami, FL, USA, 28 April–2 May 2012. [Google Scholar]
- Sun, Y.; Hatami, N.; Yee, M.; Phipps, J.; Elson, D.S.; Gorin, F.; Schrot, R.J.; Marcu, L. Fluorescence lifetime imaging microscopy for brain tumor image-guided surgery. J. Biomed. Opt. 2010, 15, 056022. [Google Scholar]
- Sun, Y.; Phipps, J.E.; Meier, J.; Hatami, N.; Poirier, B.; Elson, D.S.; Farwell, D.G.; Marcu, L. Endoscopic fluorescence lifetime imaging for in vivo intraoperative diagnosis of oral carcinoma. Microsc. Microanal. 2013, 19, 791–798. [Google Scholar] [CrossRef]
- Sharma, V.; Shivalingaiah, S.; Peng, Y.; Euhus, D.; Gryczynski, Z.; Liu, H. Auto-fluorescence lifetime and light reflectance spectroscopy for breast cancer diagnosis: Potential tools for intraoperative margin detection. Biomed. Opt. Express 2012, 3, 1825–1840. [Google Scholar] [CrossRef] [PubMed]
- Shrestha, S.; Applegate, B.E.; Park, J.; Xiao, X.; Pande, P.; Jo, J.A. High-speed multispectral fluorescence lifetime imaging implementation for in vivo applications. Opt. Lett. 2010, 35, 2558–2560. [Google Scholar] [CrossRef] [PubMed]
- Gorpas, D.; Ma, D.; Bec, J.; Yankelevich, D.R.; Marcu, L. Real-time visualization of tissue surface biochemical features derived from fluorescence lifetime measurements. IEEE Trans. Med. Imaging 2016, 35, 1802–1811. [Google Scholar] [CrossRef] [PubMed]
- Warren, S.C.; Nobis, M.; Magenau, A.; Mohammed, Y.H.; Herrmann, D.; Moran, I.; Vennin, C.; Conway, J.R.W.; Melenec, P.; Cox, T.R.; et al. Removing physiological motion from intravital and clinical functional imaging data. ELife 2018, 7, 1–37. [Google Scholar] [CrossRef] [PubMed]
- Cheng, S.; Cuenca, R.M.; Liu, B.; Malik, B.H.; Jabbour, J.M.; Maitland, K.C.; Wright, J.; Cheng, Y.L.; Jo, J.A. Handheld multispectral fluorescence lifetime imaging system for in vivo applications. Biomed. Opt. Express 2014, 5, 921–931. [Google Scholar] [CrossRef]
- Elson, D.S.; Munro, I.; Isidro, J.R.; Mcginty, J.; Dunsby, C.; Galletly, N.; Stamp, G.W.; Neil, M.A.A.; Lever, M.J.; Kellett, P.A.; et al. Real-time time-domain fluorescence lifetime imaging including single-shot acquisition with a segmented optical image intensifier. New J. Phys. 2004, 6, 180. [Google Scholar] [CrossRef]
- Hashimoto, M.; Taguchi, Y. Motion tracking system for robust non-contact blood perfusion sensor. Sensors 2018, 18, 277. [Google Scholar] [CrossRef]
- Sumi, S.; Umemura, N.; Adachi, M.; Ohta, T.; Naganawa, K.; Kawaki, H.; Takayama, E.; Kondoh, N.; Sumitomo, S. The luminance ratio of autofluorescence in a xenograft mouse model is stable through tumor growth stages. Clin. Exp. Dent. Res. 2018, 4, 174–181. [Google Scholar] [CrossRef]
- Kennedy, B.F.; Loitsch, S.; Mclaughlin, R.A.; Scolaro, L.; Rigby, P.; Sampson, D.D. Fibrin phantom for use in optical coherence tomography. J. Biomed. Opt. 2010, 15, 030507. [Google Scholar] [CrossRef]
- Bashkatov, A.N.; Genina, E.A.; Kochubey, V.I.; Gavrilova, A.A.; Kapralov, A.V.; Grishaev, V.A.; Tuchin, A.T. Optical properties of human stomach mucosa in the spectral range from 400 to 2000 nm: Prognosis for gastroenterology. Med. Laser Appl. 2007, 22, 95–104. [Google Scholar] [CrossRef]
- Wei, H.J.; Xiang, D.; He, B.H.; Gu, H.M.; Wu, G.Y.; Chen, X.M. Using an oblique incident laser beam to measure the optical properties of stomach mucosa/submucosa tissue. BMC Gastroenterol. 2009, 9, 1–8. [Google Scholar] [CrossRef] [PubMed]
- Koeppen, B.M.; Stanton, B.A. Berne & Levy Physiology, 7th ed.; Elsevier: Philadelphia, PA, USA, 2018; pp. 860–867. [Google Scholar]
- Doi, Y.; Murakami, Y.; Imano, N.; Takeuchi, Y.; Takahashi, I.; Nishibuchi, I.; Kimura, T.; Nagata, Y. Quantifying esophageal motion during free-breathing and breath-hold using fiducial markers in patients with early-stage esophageal cancer. PLoS ONE 2018, 13, 1–12. [Google Scholar] [CrossRef] [PubMed]
- Berezin, M.Y.; Achilefu, S. Fluorescence lifetime measurements and biological imaging. Chem. Rev. 2010, 110, 2641–2684. [Google Scholar] [CrossRef] [PubMed]
- Cao, R.; Wallrabe, H.K.; Periasamy, A. Multiphoton FLIM imaging of NAD(P)H and FAD with one excitation wavelength. J. Biomed. Opt. 2020, 25, 014510. [Google Scholar] [CrossRef] [PubMed]












| State | Motility | |
|---|---|---|
| Sinusoidal | Random | |
| Tracking OFF | 2.78 ± 0.06 ns | 2.76 ± 0.08 ns |
| Tracking ON | 2.71 ± 0.03 ns | 2.69 ± 0.02 ns |
| Stationary state | 2.66 ± 0.02 ns | 2.64 ± 0.02 ns |
© 2020 by the authors. Licensee MDPI, Basel, Switzerland. This article is an open access article distributed under the terms and conditions of the Creative Commons Attribution (CC BY) license (http://creativecommons.org/licenses/by/4.0/).
Share and Cite
Ito, S.; Hashimoto, M.; Taguchi, Y. Development of a Robust Autofluorescence Lifetime Sensing Method for Use in an Endoscopic Application. Sensors 2020, 20, 1847. https://doi.org/10.3390/s20071847
Ito S, Hashimoto M, Taguchi Y. Development of a Robust Autofluorescence Lifetime Sensing Method for Use in an Endoscopic Application. Sensors. 2020; 20(7):1847. https://doi.org/10.3390/s20071847
Chicago/Turabian StyleIto, Shuntaro, Masaaki Hashimoto, and Yoshihiro Taguchi. 2020. "Development of a Robust Autofluorescence Lifetime Sensing Method for Use in an Endoscopic Application" Sensors 20, no. 7: 1847. https://doi.org/10.3390/s20071847
APA StyleIto, S., Hashimoto, M., & Taguchi, Y. (2020). Development of a Robust Autofluorescence Lifetime Sensing Method for Use in an Endoscopic Application. Sensors, 20(7), 1847. https://doi.org/10.3390/s20071847

