Enzymatic Platforms for Sensitive Neurotransmitter Detection
Abstract
1. Introduction
2. Materials and Methods
2.1. Reagents and Materials
2.2. Apparatus and Procedures
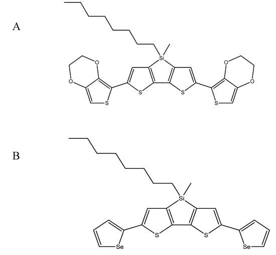
2.2.1. Synthesis and Characterization of Semiconductive Polymers
2.2.2. Modification of Electrodes
2.2.3. Electrochemical Measurements
2.3. Electrochemical Determination of Dopamine and Serotonin
2.4. Influence of Interfering Substances
3. Results and Discussion
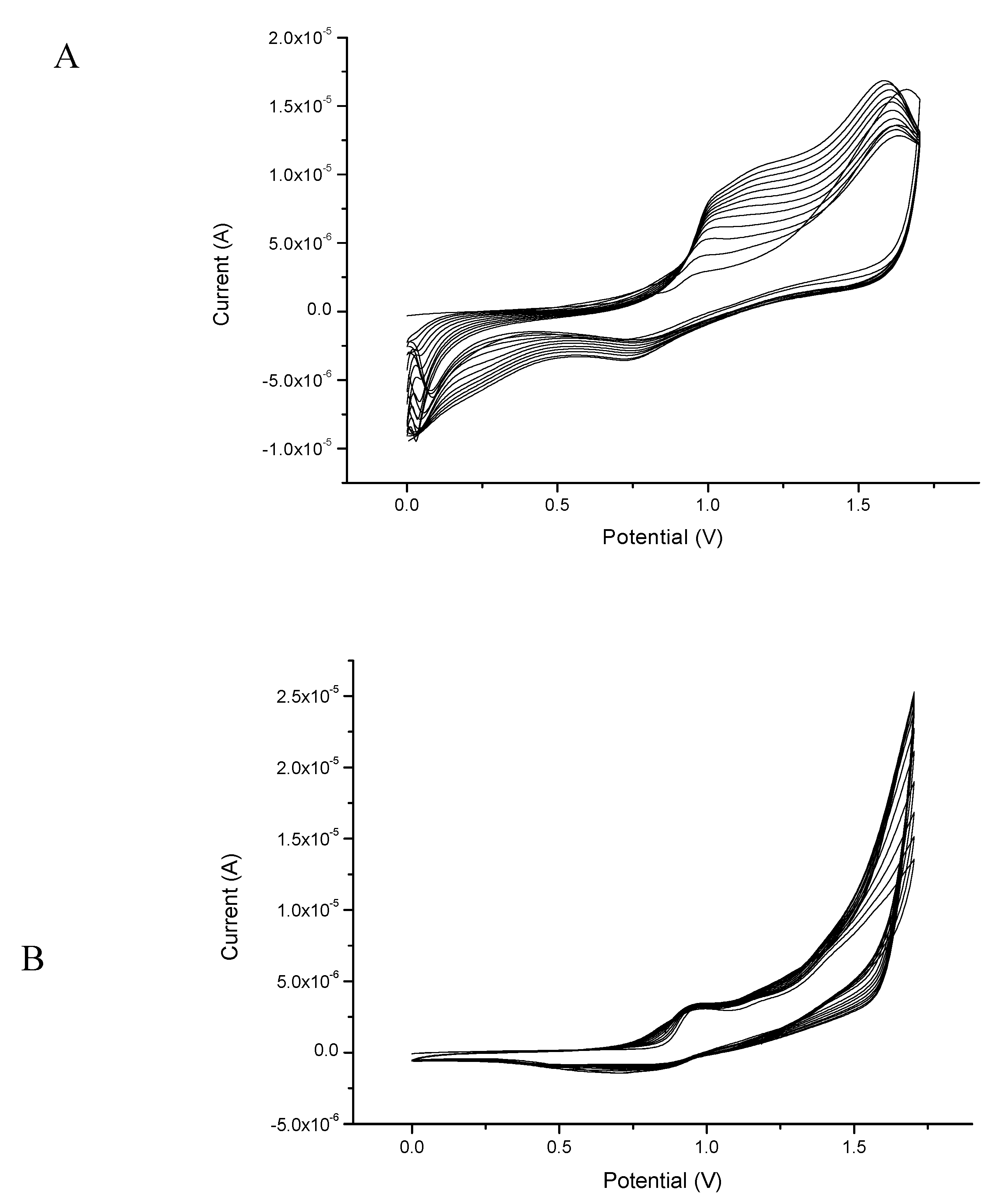
3.1. Characterization of Polymers
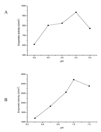
3.2. Principle of Electrochemical Measurements and Detection Assays for Neurotransmitters
3.3. Selectivity
3.4. Real Application
4. Conclusions
Supplementary Materials
Author Contributions
Funding
Acknowledgments
Conflicts of Interest
References
- Yang, L.; Beal, M.F. Determination of neurotransmitter levels in models of Parkinson’s disease by HPLC-ECD. Methods Mol. Biol. 2011, 793, 401–415. [Google Scholar] [PubMed]
- Werner, F.M.; Coveñas, R. Classical Neurotransmitters and Neuropeptides involved in Parkinson’s Disease: A Multi-Neurotransmitter System. J. Cytol. Histol. 2014, 5, 266. [Google Scholar] [CrossRef]
- Francis, P.T. The interplay of neurotransmitters in Alzheimer’s disease. CNS Spectr. 2005, 10, 6–9. [Google Scholar] [CrossRef] [PubMed]
- Kandimalla, R.; Reddy, P.H. Therapeutics of Neurotransmitters in Alzheimer’s Disease. J. Alzheimers Dis. 2017, 57, 1049–1069. [Google Scholar] [CrossRef]
- Howes, O.; McCutcheon, R.; Stone, J. Glutamate and dopamine in schizophrenia: An update for the 21st century. J. Psychopharmacol. 2015, 29, 97–115. [Google Scholar] [CrossRef]
- Nutt, D.J. Relationship of neurotransmitters to the symptoms of major depressive disorder. J. Clin. Psychiatry 2008, 69, 4–7. [Google Scholar]
- McCall, R.B. Role of neurotransmitters in the central regulation of the cardiovascular system. Prog. Drug Res. 1990, 35, 25–84. [Google Scholar]
- Sharma, S.; Singh, N.; Tomar, V.; Chandra, R. A review on electrochemical detection of serotonin based on surface modified electrodes. Biosens. Bioelectron. 2018, 107, 76–93. [Google Scholar] [CrossRef]
- Lauder, J.M.; Krebs, H. Serotonin as a Differentiation Signal in Early Neurogenesis. Dev. Neurosci. 1978, 1, 15–30. [Google Scholar] [CrossRef]
- Tao, Y.; Lin, Y.; Ren, J.; Qu, X. A dual fluorometric and colorimetric sensor for dopamine based on BSA-stabilized Aunanoclusters. Biosens. Bioelectron. 2013, 42, 41–46. [Google Scholar] [CrossRef]
- Nagaraja, P.; Vasantha, R.A.; Sunitha, K.R. A sensitive and selective spectrophotometric estimation of catechol derivatives in pharmaceutical preparations. Talanta 2001, 55, 1039–1046. [Google Scholar] [CrossRef]
- Nagaraja, P.; Vasantha, R.A.; Sunitha, K.R. A new sensitive and selective spectrophotometric method for the determination of catechol derivatives and its pharmaceutical preparations. J. Pharm. Biomed. Anal. 2001, 25, 417–424. [Google Scholar] [CrossRef]
- Carrera, V.; Sabater, E.; Vilanova, E.; Sogorb, M.A. A simple and rapid HPLC–MS method for the simultaneous determination of epinephrine, norepinephrine, dopamine and 5-hydroxytryptamine: Application to the secretion of bovine chromaffin cell cultures. J. Chromatogr. B 2007, 847, 88–94. [Google Scholar] [CrossRef] [PubMed]
- Yoshitake, M.; Nohta, H.; Ogata, S.; Todoroki, K.; Yoshida, H.; Yoshitake, T.; Yamaguchi, M. Liquid chromatography method for detecting native fluorescent bioamines in urine using post-column derivatization and intramolecular FRET detection. J. Chromatogr. B 2007, 858, 307–312. [Google Scholar] [CrossRef]
- Yoshitake, T.; Yoshitake, S.; Fujino, K.; Nohta, H.; Yamaguchi, M.; Kehr, J. High-sensitive liquid chromatographic method for determination of neuronal release of serotonin, noradrenaline and dopamine monitored by microdialysis in the rat prefrontal cortex. J. Neurosci. Methods 2004, 140, 163–168. [Google Scholar] [CrossRef]
- Secor, K.E.; Glass, T.E. Selective amine recognition: Development of a chemosensor for dopamine and norepinephrine. Org. Lett. 2004, 6, 3727–3730. [Google Scholar] [CrossRef]
- Fotopoulou, M.A.; Ioannou, P.C. Post-column terbium complexation and sensitized fluorescence detection for the determination of norepinephrine, epinephrine and dopamine using high-performance liquid chromatography. Anal. Chim. Acta 2002, 462, 179–185. [Google Scholar] [CrossRef]
- Barnett, N.W.; Hindson, B.J.; Lewis, S.W. Determination of 5-hydroxytryptamine (serotonin) and related indoles by flow injection analysis with acidic potassium permanganate chemiluminescence detection. Anal. Chim. Acta 1998, 362, 131–139. [Google Scholar] [CrossRef]
- Zapata, A.; Chefer, V.I.; Shippenberg, T.S.; Denoroy, L. Detection and Quantification of Neurotransmitters in Dialysates. Curr. Protoc. Neurosci. 2009, 7, 1–37. [Google Scholar] [CrossRef]
- Kartsova, L.A.; Sidorova, A.A.; Kazakov, V.A.; Bessonova, E.A.; Yashin, A.Y. Determination of catecholamines by capillary electrophoresis and reversed-phase high-performance liquid chromatography. J. Anal. Chem. 2004, 59, 737–741. [Google Scholar] [CrossRef]
- Gerard, M.; Chaubey, A.; Malhotra, B.D. Application of conducting polymers to biosensors. Biosens. Bioelectron. 2002, 17, 345–359. [Google Scholar] [CrossRef]
- Roy, P.R.; Okajima, T.; Ohsaka, T. Simultaneous electroanalysis of dopamine and ascorbic acid using poly (N,N-dimethylaniline)-modified electrodes. Bioelectrochemistry 2003, 59, 11–19. [Google Scholar] [CrossRef]
- Zhou, L.; Shang, F.; Pravda, M.; Glennon, J.D.; Luong, J.H.T. Selective detection of dopamine using glassy carbon electrode modified by a combined electropolymerized permselective film of polytyramine and polypyrrole-1-propionic acid. Electroanalysis 2009, 21, 797–803. [Google Scholar] [CrossRef]
- Jiang, X.; Lin, X. Overoxidized polypyrrole film directed DNA immobilization for construction of electrochemical micro-biosensors and simultaneous determination of serotonin and dopamine. Anal. Chim. Acta 2005, 537, 145–151. [Google Scholar] [CrossRef]
- Li, Y.T.; Tang, L.N.; Ning, Y.; Shu, Q.; Liang, F.X.; Wang, H.; Zhang, G.J. In vivo Monitoring of Serotonin by Nanomaterial Functionalized Acupuncture Needle. Sci. Rep. 2016, 6, 1–8. [Google Scholar] [CrossRef] [PubMed]
- Nien, P.C.; Chen, P.Y.; Ho, K.C. On the amperometric detection and electrocatalytic analysis of ascorbic acid and dopamine using a poly(acriflavine)-modified electrode. Sens. Actuators B 2009, 140, 58–64. [Google Scholar] [CrossRef]
- Florescu, M.; David, M. Tyrosinase-Based Biosensors for Selective Dopamine Detection. Sensors 2017, 17, 1314. [Google Scholar] [CrossRef]
- Zając, D.; Honisz, D.; Łapkowski, M.; Sołoducho, J. Synthesis and Properties of New Dithienosilole Derivatives as Luminescent Materials. Molecules 2019, 24, 2259. [Google Scholar] [CrossRef]
- Heeger, A.J. Semiconducting and Metallic Polymers: The Fourth Generation of Polymeric Materials. Curr. Appl. Phys. 2001, 1, 247–267. [Google Scholar] [CrossRef]
- Fray, A.J.; Touster, J. Voltammetry in (toluene)3-tetrabutylammonium tetrafluoroborate, a novel liquid hydrocarbon electrolyte. J. Org. Chem. 1986, 51, 3905–3907. [Google Scholar] [CrossRef]
- Heinze, J.; Fronata-Uribe, B.A.; Ludwigs, S. Electrochemistry of Conducting Polymer-Persistent Models and New Concepts. Chem. Rev. 2010, 110, 4724–4771. [Google Scholar] [CrossRef] [PubMed]
- Sun, J.; Yang, L.; Jiang, M.; Shi, Y.; Xu, B.; Ma, H. Stability and activity of immobilized trypsin on carboxymethylchitosan-functionalized magnetic nanoparticles cross-linked with carbodiimideand glutaraldehyde. J. Chromatogr. B 2017, 1054, 57–63. [Google Scholar] [CrossRef]
- Bouchta, D.; Izaoumen, N.; Zejli, H.; El Kaoutit, M.; Temsamani, K.R. A novel electrochemical synthesis of poly-3-methylthiophene-gamma-cyclodextrin film Application for the analysis of chlorpromazine and some neurotransmitters. Biosens Bioelectron. 2005, 20, 2228–2235. [Google Scholar] [CrossRef]
- Cabaj, J.; Sołoducho, J.; Chyla, A.; Jędrychowska, A. Hybrid phenol biosensor based on modified phenoloxidase electrode. Sens. Actuators B 2011, 157, 225–231. [Google Scholar] [CrossRef]
- Nazari, M.; Kashanian, S.; Rafipour, R. Laccase immobilization on the electrode surface to design a biosensor for the detection of phenolic compound such as catechol. Spectrochim. Acta A 2015, 145, 130–138. [Google Scholar] [CrossRef]
- Cordes, M.; Giese, B. Electron transfer in peptides and proteins. Chem. Soc. Rev. 2009, 38, 892–901. [Google Scholar] [CrossRef]
- Groenendaal, L.; Jonas, F.; Freitag, D.; Pielartzik, H.; Reynolds, J.R. Poly (3,4-ethylenedioxythiophene) and its Derivatives: Past, Present, and Future. Adv. Mater. 2000, 12, 481–494. [Google Scholar] [CrossRef]
- Yang, G.; Kampstra, K.L.; Abidian, M.R. High Performance Conducting Polymer Nanofiber Biosensors for Detection of Biomolecules. Adv. Mater. 2014, 26, 4954–4960. [Google Scholar] [CrossRef]
- D’Andrade, B.W.; Datta, S.; Forrest, S.R.; Djurovich, P.; Polikarpov, E.; Thompson, M.E. Relationship between the ionization and oxidation potentials of molecular organic semiconductors. Org. Electron. 2005, 6, 11–20. [Google Scholar] [CrossRef]
- Bhalla, N.; Jolly, P.; Formisano, N.; Estrela, P. Introduction to biosensors. Ess. Biochem. 2016, 60, 1–8. [Google Scholar]
- Grieshaber, D.; MacKenzie, R.; Vörös, J.; Reimhult, E. Electrochemical Biosensors - Sensor Principles and Architectures. Sensors 2008, 8, 1400–1458. [Google Scholar] [CrossRef] [PubMed]
- Zając, D.; Sołoducho, J.; Jarosz, T.; Łapkowski, M.; Roszak, S. Conjugated silane-based arylenes as luminescent materials. Electrochim. Acta 2015, 173, 105–116. [Google Scholar] [CrossRef]
- Zając, D.; Sołoducho, J.; Jarosz, T.; Roszak, S.; Łapkowski, M. Push-pull structures of symmetric silane derivatives as a novel hosting materials. Ind. J. App. Res. 2017, 7, 58–66. [Google Scholar]
- Cabaj, J.; Jędrychowska, A.; Zając, D.; Krawiec, S.; Sołoducho, J. Phenolic Compounds Determination Using Laccase-based Electrode Modified with Conducting Polymer Support. Int. J. Electrochem. Sci. 2016, 11, 609–620. [Google Scholar]
- Baluta, S.; Malecha, K.; Zając, D.; Sołoducho, J.; Cabaj, J. Dopamine sensing with fluorescence strategy based on low temperature co-fired ceramic technology modified with conducting polymers. Sens. Actuators B. 2017, 252, 803–812. [Google Scholar] [CrossRef]
- Balint, R.; Cassidy, N.J.; Cartmell, S.H. Conductive polymers: Towards a smart biomaterial for tissue engrineering. Acta Biomater. 2014, 10, 2341–2353. [Google Scholar] [CrossRef]
- Schultze, J.W.; Karabulut, H. Application potential of conducting polymers. Electrochim. Acta 2005, 50, 1739–1745. [Google Scholar] [CrossRef]
- Kolpin, D.W.; Furlong, E.T.; Meyer, M.T.; Thurman, E.M.; Zaugg, S.D.; Barber, L.B.; Buxton, H.T. Pharmaceuticals, hormones, and other organic wastewater contaminants in U.S. Streams, 1999–2000: A national Reconnaissance. Environ. Sci. Technol. 2002, 36, 1202–1211. [Google Scholar] [CrossRef]
- Bouchta, D.; Izaoumen, N.; Zejli, H.; El Kaoutit, M.; Temsamani, K.R. A novel electrochemical synthesis of poly-3-methylthiophene-gamma-cyclodextrin film: Application for the analysis of chlorpromazine and some neurotransmitters. Biosens. Bioelectron. 2005, 20, 2228–2235. [Google Scholar] [CrossRef]
- Shao, Y.; Wang, J.; Wu, H.; Liu, J.; Aksay, I.A.; Lin, Y. Graphene Based Electrochemical Sensors and Biosensors: A Review. Electroanalysis 2010, 22, 1027–1036. [Google Scholar] [CrossRef]
- Frew, J.E.; Hill, H.A.O. Direct and indirect electron transfer between electrodes and redox proteins. Eur. J. Biochem. 1988, 172, 261–269. [Google Scholar] [CrossRef] [PubMed]
- Francke, R.; Little, R.D. Redox catalysis in organic electrosynthesis: Basis principles and recent developments. Chem. Soc. Rev. 2014, 8, 2375–2878. [Google Scholar] [CrossRef] [PubMed]
- Rosatto, S.S.; Kubota, L.T.; Oliveira Neto, G. Biosensor for phenol based on the direct electron transfer blocking of peroxidase immobilising on silica–titanium. Anal. Chim. Acta 1999, 390, 65–72. [Google Scholar] [CrossRef]
- Marko-Varga, G.; Emnéus, J.; Gorton, L.; Ruzgas, T. Development of enzyme-based amperometric sensors for the determination of phenolic compounds. Trends Anal. Chem. 1995, 14, 319–328. [Google Scholar] [CrossRef]
- Ruzgas, T.; Gorton, L.; Emn´eus, J.; Marko-Varga, G. Kinetic models of horseradish peroxidase action on a graphite electrode. J. Electroanal. Chem. 1995, 391, 41–49. [Google Scholar] [CrossRef]
- Rosatto, S.S.; Oliveira Neto, G.; Kubota, L.T. Effect of DNA on the Peroxidase Based Biosensor for Phenol Determination in Waste Waters. Electroanalysis 2001, 13, 445–450. [Google Scholar] [CrossRef]
- Liu, B.H.; Liu, Z.J.; Chen, D.D.; Kong, J.L.; Deng, J.Q. An amperometric biosensor based on the coimmobilization of horseradish peroxidase and methylene blue on a beta-type zeolite modified electrode. J. Anal. Chem. 2000, 367, 539–544. [Google Scholar]
- Raghu, P.; Madhusudana, T.; Reddy, P.; Gopal, K.; Reddaiah, N.; Sreedhar, Y. A novel horseradish peroxidase biosensor towards the detection of dopamine: A voltammetric study. Enzyme Microb. Technol. 2014, 57, 8–15. [Google Scholar] [CrossRef]
- Yaropolov, A.I.; Skorobogat’ko, O.V.; Vartanov, S.S.; Varfolomeyev, S.D. Laccase. Properties, catalytic mechanism, and applicability. Appl. Biochem. Biotechnol. 1994, 49, 257–280. [Google Scholar] [CrossRef]
- Solomon, E.I.; Sundaram, U.M.; Machonkin, T.E. Multicopper oxidases and oxygenases. Chem. Rev. 1996, 96, 2563–2605. [Google Scholar] [CrossRef]
- Xu, F.; Shin, W.; Brown, S.H.; Wahleithner, J.A.; Sundaram, U.M.; Solomon, E.I. A study of a series of recombinant fungal laccases and bilirubin oxidase that exhibit significant differences in redox potential, substrate specificity, and stability. Biochim. Biophys. Acta 1996, 1292, 303–311. [Google Scholar] [CrossRef]
- Xu, F.; Kulys, J.J.; Duke, K.; Li, K.; Krikstopaitis, K.; Deussen, H.J.; Abbate, E.; Galinyte, V.; Schneider, P. Redox chemistry in laccasecatalyzed oxidation of N-hydroxy compounds. Appl. Environ. Microbiol. 2000, 66, 2052–2056. [Google Scholar] [CrossRef] [PubMed]
- Xu, F. Oxidation of phenols, anilines, and benzenethiols by fungal laccases: Correlation between activity and redox potentials as well as halide inhibition. Biochemistry 1996, 35, 7608–7614. [Google Scholar] [CrossRef] [PubMed]
- Poeggeler, B.; Reiter, R.J.; Tan, D.-X.; Chen, L.-D.; Manchester, L.C. Melatonin, hydroxyl radical-mediated oxidative damage, and aging: A hypothesis. J. Pineal. Res. 1993, 14, 151–168. [Google Scholar] [CrossRef] [PubMed]
- Gong, J.-M.; Lin, X.-Q. Electrochemical Determination of Serotonin and the Competitive Adsorption with Dopamine at 5,5-Ditetradecyl-2-(2-trimethyl-ammonioethyl)-1,3-dioxane Bromide Lipid Film Modified by Glassy Carbon Electrode. Anal. Sci. 2004, 20, 905–909. [Google Scholar] [CrossRef]
- O´Connell, P.J.; Guilbault, G.G. Future trends in biosensor research. Anal. Lett. 2001, 34, 1063–1078. [Google Scholar] [CrossRef]
- Dong, S.J.; Wang, B.Q. Electrochemical Biosensing in Extreme Environment. Electroanalysis 2002, 14, 7–16. [Google Scholar] [CrossRef]
- Ghindilis, A.L.; Atanasov, P.; Wilkins, E. Enzyme-catalyzed direct electron transfer: Fundamentals and analytical application. Electroanalysis 1997, 9, 661–674. [Google Scholar] [CrossRef]
- Freire, R.S.; Pessoa, C.A.; Mello, L.D.; Kubota, L.T. Direct Electron Transfer: An Approach for Electrochemical Biosensors with Higher Selectivity and Sensitivity. J. Braz. Chem. Soc. 2003, 14, 230–243. [Google Scholar] [CrossRef]
- Berezin, I.V.; Varfolomeev, S.D. Principles of Bioelectrocatalysis. Enzym. Eng. 1980, 5, 95–100. [Google Scholar]
- Lee, C.W.; Gray, H.B.; Anson, F.C.; Malmström, B.G. Catalysis of the reduction of dioxygen at graphite electrodes coated with fungal laccase A. J. Electroanal. Chem. 1984, 172, 289–300. [Google Scholar] [CrossRef]
- Gallaway, J.W.; Barton, S.A.C. Kinetics of redox polymer-mediated enzyme electrodes. J. Am. Chem. Soc. 2008, 130, 8527–8536. [Google Scholar] [CrossRef] [PubMed]
- Mano, N.; Soukharev, V.; Heller, A. A laccase-wiring redox hydrogel for efficient catalysis of O2 electroreduction. J. Phys. Chem. B 2006, 110, 11180–11187. [Google Scholar] [CrossRef] [PubMed]
- Scodeller, P.; Carballo, R.; Szamocki, R.; Levin, L.; Forchiassin, F.; Calvo, E.J. Layer-by-layer self assembled osmium polymer mediated laccase oxygen cathodes for biofuel cells: the role of hydrogen peroxide. J. Am. Chem. Soc. 2010, 132, 11132–11140. [Google Scholar] [CrossRef]
- Adam, C.; Scodeller, P.; Grattieri, M.; Villalba, M.; Calvo, E.J. Revisiting direct electron transfer in nanostructured carbon laccase oxygen cathodes. Bioelectrochemistry 2016, 109, 101–107. [Google Scholar] [CrossRef]
- Artigas, F.; Sarrias, M.J.; Martínez, E.; Gelpi, E. Serotonin in body fluids: Characterization of human plasmatic and cerebrospinal fluid pools by means of a new HPLC metod. Life Sci. 1985, 37, 441–447. [Google Scholar] [CrossRef]
- Brenner, B.; Harney, J.T.; Ahmed, B.A.; Jeffus, B.C.; Unal, R.; Mehta, J.L.; Kilic, F. Plasma serotonin levels and the platelet serotonin transporter. J. Neurochem. 2007, 102, 206–215. [Google Scholar] [CrossRef]
- Desimoni, E.; Brunetti, B. Presenting Analytical Performancesof Electrochemical Sensors. Some Suggestions. Electroanalysis 2013, 25, 1645–1651. [Google Scholar] [CrossRef]
- Rand, E.; Periyakaruppan, A.; Tanaka, Z.; Zhang, D.A.; Marsh, M.P.; Andrews, R.J.; Lee, K.H.; Chen, B.; Meyyappan, M.; Koehne, J.E. A carbon nanofiber based biosensor for simultaneous detection of dopamine and serotonin in the presence of ascorbic acid. Biosens. Bioelectron. 2013, 42, 434–438. [Google Scholar] [CrossRef]
- Lu, L.; Wang, S.; Lin, X. Attachment of DNA to the Carbon Fiber Microelectrode via Gold Nanoparticles for Simultaneous Determination of Dopamine and Serotonin. Anal Sci. 2004, 20, 1131–1135. [Google Scholar] [CrossRef]
- Ran, G.; Chen, X.; Xia, Y. Electrochemical detection of serotonin based on a poly (bromocresol green) film and Fe3O4 nanoparticles in a chitosan matrix. RSC Adv. 2017, 7, 1847–1851. [Google Scholar] [CrossRef]
- Dinesh, B.; Veeramani, V.; Chen, S.M.; Saraswathi, R. In situ electrochemical synthesis of reduced graphene oxide-cobalt oxide nanocomposite modified electrode for selective sensing of depression biomarker in the presence of ascorbic acid and dopamine. J. Electroanal. Chem. 2017, 786, 169–176. [Google Scholar] [CrossRef]
- The Fitness for Purpose of Analytical Methods A Laboratory Guide to Method Validation and Related Topics, 1st internet version; EURACHEM Secretariat: Teddington, UK, 2014. Available online: http://www.eurachem.org/images/stories/Guides/pdf/valid.pdf (accessed on 4 June 2019).
- Velasco, J. Determination of standard rate constants for electrochemical irreversible processes from linear sweep voltammograms. Electroanalysis 1997, 9, 880–882. [Google Scholar] [CrossRef]
- Brumleve, T.R.; O’Dea, J.J.; Osteryoung, R.A.; Osteryoung, J. Differential normal pulse voltammetry in the alternating pulse mode for reversible electrode reactions. Anal. Chem. 1981, 53, 702–706. [Google Scholar] [CrossRef]
- Goldstein, D.S.; Holmes, C. Neuronal Source of Plasma Dopamine. Clin. Chem. 2008, 54, 1864–1871. [Google Scholar] [CrossRef] [PubMed]
- Huang, J.; Liu, Y.; Hou, H.; You, T. Simultaneous electrochemical determination of dopamine, uric acid and ascorbic acid using palladium nanoparticle-loaded carbon nanofibers modified electrode. Biosens. Bioelectron. 2008, 24, 632–637. [Google Scholar] [CrossRef] [PubMed]
- Celebańska, A.; Tomaszewska, D.; Lesniewski, A.; Opallo, M. Film electrode prepared from oppositely charged silicate submicro particles and carbon nanoparticles for selective dopamine sensing. Biosens. Bioelectron. 2011, 26, 4417–4422. [Google Scholar] [CrossRef]
- Young, L.; Lin, D.; Huang, J.; You, T. Simultaneous determination of dopamine, ascorbic acid and uric acid at electrochemically reduced graphene oxide modified electrode. Sens. Actuators B 2014, 193, 166–172. [Google Scholar] [CrossRef]
- Kim, S.K.; Kim, D.; Jeon, S. Electrochemical determination of serotonin on glassy carbon electrode modified with various graphene nanomaterials. Sens. Actuators B 2012, 174, 285–291. [Google Scholar] [CrossRef]
- Raymondos, K.; Panning, B.; Leuwer, M.; Brechelt, G.; Korte, T.; Niehaus, M.; Tebbenjohanns, J.; Piepenbrock, S. Absorption and hemodynamic effects of airway administration of adrenaline in patients with severe cardiac disease. Ann. Intern. Med. 2000, 132, 800–803. [Google Scholar] [CrossRef]














| Biosensor/Sensor | Technique | Linear Range | LOD | Ref. | |
|---|---|---|---|---|---|
| 1 | GCE/CNFs | DPV | 0.1–10 μM | 250 nM | [79] |
| 2 | AuNPs/CF-DNA | CV, DPV | 0.8–200 μM | 800 nM | [80] |
| 3 | Fe3O4NPs-MWCNT-poly(BOG) | DPV | 0.5–100 μM | 80 nM | [81] |
| 4 | RGO/Co3O4 nanocomposite | CV, DPV | 0.1–51 μM | 48.7 nM | [82] |
| 5 | Pt-E/bisEDOTDTSi/Lac | CV | 0.1–200 μM | 48 nM | This work |
| Linear Range | LOD | LOQ | R2 | Slope | SD of Slope | Intercept | SD of Intercept |
|---|---|---|---|---|---|---|---|
| 0.1–200 μM | 48 nM | 73 nM | 0.987 | 1.78 | 0.00151 | 5.68 | 0.166 |
| Biosensor/Sensor | Technique | Linear Range | LOD | Ref. | |
|---|---|---|---|---|---|
| 1 | PdNP/CNF/C | DPV | 1–27.5 μM | 200 nM | [87] |
| 2 | CNP/f-silicate particles/ITO | DPV | 0.05–8 μM | 360 nM | [88] |
| 3 | RGO/GCE | DPV | 0.5–60 μM | 500 nM | [89] |
| 6 | Au-E/bisSeDTSi/Pox | DPV | 0.1–200 μM | 73 nM | This work |
| Linear Range | LOD | LOQ | R2 | Slope | SD of Slope | Intercept | SD of Intercept |
|---|---|---|---|---|---|---|---|
| 0.1–200 μM | 73 nM | 111 nM | 0.989 | 0.007 | 0.000238 | 0.46 | 0.018 |
| Concentration of Neurotransmitter in Real Sample (μM) | Cdetected (μM) | Ccalculated (μM) eq. 4 | Recovery (%) | Relative Standard Deviation (%) |
|---|---|---|---|---|
| Serotonin | ||||
| 200.00 | 197.98 | 186.23 | 98.99 | ±3.90 |
| 100.00 | 92.64 | 105.01 | 92.64 | |
| 50.00 | 49.87 | 46.73 | 99.74 | |
| Dopamine | ||||
| 200.00 | 198.89 | 187.02 | 99.45 | ±0.88 |
| 100.00 | 97.69 | 94.14 | 97.69 | |
| 50.00 | 49.24 | 46.09 | 98.48 | |
© 2020 by the authors. Licensee MDPI, Basel, Switzerland. This article is an open access article distributed under the terms and conditions of the Creative Commons Attribution (CC BY) license (http://creativecommons.org/licenses/by/4.0/).
Share and Cite
Baluta, S.; Zając, D.; Szyszka, A.; Malecha, K.; Cabaj, J. Enzymatic Platforms for Sensitive Neurotransmitter Detection. Sensors 2020, 20, 423. https://doi.org/10.3390/s20020423
Baluta S, Zając D, Szyszka A, Malecha K, Cabaj J. Enzymatic Platforms for Sensitive Neurotransmitter Detection. Sensors. 2020; 20(2):423. https://doi.org/10.3390/s20020423
Chicago/Turabian StyleBaluta, Sylwia, Dorota Zając, Adam Szyszka, Karol Malecha, and Joanna Cabaj. 2020. "Enzymatic Platforms for Sensitive Neurotransmitter Detection" Sensors 20, no. 2: 423. https://doi.org/10.3390/s20020423
APA StyleBaluta, S., Zając, D., Szyszka, A., Malecha, K., & Cabaj, J. (2020). Enzymatic Platforms for Sensitive Neurotransmitter Detection. Sensors, 20(2), 423. https://doi.org/10.3390/s20020423

