Real Time Monitoring of Calcium Oxalate Precipitation Reaction by Using Corrosion Resistant Magnetoelastic Resonance Sensors
Abstract
1. Introduction
2. Materials and Methods
2.1. Magnetic and Magnetoelastic Materials Characterization
2.2. Sensor Calibration
2.3. Calcium Oxalate Precipitation
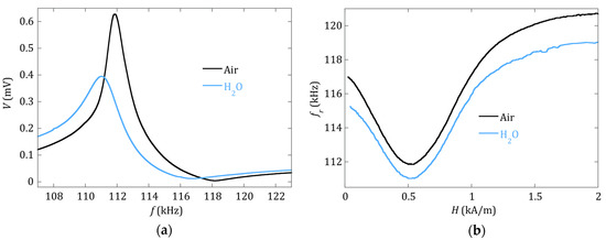
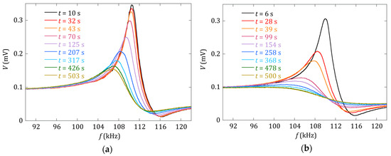
3. Results and Discussion
4. Conclusions
Author Contributions
Funding
Acknowledgments
Conflicts of Interest
References
- Luborsky, F.E. Amorphous ferromagnets. In Ferromagnetic Materials; Wohlfart, E.P., Ed.; Elsevier: Amsterdam, The Netherlands, 1980; Volume 1, ISBN 0-444-85311-1. [Google Scholar]
- Squire, P.T. Magnetomechanical measurements of magnetically soft amorphous materials. Meas. Sci. Technol. 1994, 5, 67–81. [Google Scholar] [CrossRef]
- Marín, P.; Marcos, M.; Hernando, A. High magnetomechanical coupling on magnetic microwire for sensors with biological applications. Appl. Phys. Lett. 2010, 96, 262512. [Google Scholar] [CrossRef]
- Grimes, C.A.; Mungle, C.S.; Zeng, K.; Jain, M.K.; Dreschel, W.R.; Paulose, M.; Ong, G.K. Wireless magnetoelastic resonance sensors: A critical review. Sensors 2002, 2, 294–313. [Google Scholar] [CrossRef]
- Stoyanov, P.G.; Grimes, C.A. A remote query magnetostrictive viscosity sensor. Sens. Actuator A Phys. 2000, 80, 8–14. [Google Scholar] [CrossRef]
- Bouropoulos, N.; Kouzoudis, D.; Grimes, C. The real-time, in situ monitoring of calcium oxalate and brushite precipitation using magnetoelastic sensors. Sens. Actuators B Chem. 2005, 109, 227–232. [Google Scholar] [CrossRef]
- Singh, A.K. Kidney Stones. In Decision Making in Medicine, 3rd ed.; Mushlin, S.B., Greene, H.L., Eds.; Elsevier: Amsterdam, The Netherlands, 2010; pp. 364–367. [Google Scholar] [CrossRef]
- Curhan, G.C. Section XI: Renal and Genitourinary Diseases, Chapter 128 Nephrolithiasis. In Goldman’s Cecil Medicine, 24th ed.; Elsevier: Philadelphia, PA, USA, 2012; Volume 1, pp. 789–794. ISBN 978-1-4377-1604-7. [Google Scholar]
- Pak, C.Y.; Sakhaee, K.; Moe, O.W.; Poindexter, J.; Adams-Huet, B. Defining hypercalciuria in nephrolithiasis. Kidney Int. 2011, 80, 777–782. [Google Scholar] [CrossRef] [PubMed]
- Robertson, W.G.; Peacock, M. The cause of idiopathic calcium stone disease: Hypercalciuria or hyperoxaluria? Nephron 1980, 26, 105–110. [Google Scholar] [CrossRef] [PubMed]
- Massey, L.K.; Roman-Smith, H.; Sutton, R.A. Effect of dietary oxalate and calcium on urinary oxalate and risk of formation of calcium oxalate kidney stones. J. Acad. Nutr. Diet. 1993, 93, 901–906. [Google Scholar] [CrossRef]
- Hallson, P.C.; Rose, A. Chemical measurement of calcium oxalate crystalluria: Results in various causes of calcium urolithiasis. Urol. Int. 1990, 45, 332–335. [Google Scholar] [CrossRef] [PubMed]
- Robertson, W.G.; Scurr, D.S.; Bridge, C.M. Factors influencing the crystallisation of calcium oxalate in urine-critique. J. Cryst. Growth 1981, 53, 182–194. [Google Scholar] [CrossRef]
- Stanković, A.; Šafranko, S.; Kontrec, J.; Njegić-Džakula, B.; Lyons, D.M.; Marković, B.; Kralj, D. Calcium Oxalate Precipitation in Model Systems Mimicking the Conditions of Hyperoxaluria. Cryst. Res. Technol. 2019, 54, 1800210. [Google Scholar] [CrossRef]
- Sagasti, A.; Lopes, A.C.; Lasheras, A.; Palomares, V.; Carrizo, J.; Gutiérrez, J.; Barandiarán, J.M. Corrosion resistant metallic glasses for biosensing applications. AIP Adv. 2018, 8, 047702. [Google Scholar] [CrossRef]
- Sagasti, A.; Palomares, V.; Porro, J.M.; Orúe, I.; Sánchez-Ilarduya, M.B.; Lopes, A.C.; Gutiérrez, J. Magnetic, Magnetoelastic and Corrosion Resistant Properties of (Fe–Ni)-Based Metallic Glasses for Structural Health Monitoring Applications. Materials 2020, 13, 57. [Google Scholar] [CrossRef] [PubMed]
- Sagasti, A.; Gutiérrez, J.; Lasheras, A.; Barandiarán, J.M. Size dependence of the magnetoelastic properties of metallic glasses for actuation applications. Sensors 2019, 19, 4296. [Google Scholar] [CrossRef] [PubMed]
- Gutiérrez, J.; Lasheras, A.; Martins, P.; Pereira, N.; Barandiaran, J.M.; Lanceros-Mendez, S. Metallic glass/PVDF magnetoelectric laminates for resonant sensors and actuators: A review. Sensors 2017, 17, 1251. [Google Scholar] [CrossRef] [PubMed]
- Landau, L.D.; Lifshitz, E.M. Elastic waves. In Theory of Elasticity; Oxford Pergamon Press: Oxford, UK, 1975; p. 116. [Google Scholar]
- Savage, H.; Abbundi, R. Perpendicular susceptibility, magnetomechanical coupling and shear modulus in Tb0.27Dy0.73Fe2. IEEE Trans. Mag. 1978, 14, 545–547. [Google Scholar] [CrossRef]
- Metglas® Inc. Magnetic Materials. Available online: https://metglas.com/magnetic-materials/ (accessed on 10 December 2019).
- Metglas® Inc. Available online: https://metglas.com/wp-content/uploads/2016/12/Metglas-Alloy-2826MB3-Iron-Nickel-Based-Alloy.pdf (accessed on 27 January 2020).
- Sagasti, A. Functionalized Magnetoelastic Resonant Platforms for Chemical and Biological Detection Purposes. Ph.D. Thesis, University of the Basque Country (UPV/EHU), Leioa, Spain, March 2018. [Google Scholar]
- Sagasti, A.; Gutiérrez, J.; San Sebastián, M.; Barandiarán, J.M. Magnetoelastic Resonators for Highly Specific Chemical and Biological Detection: A Critical Study. IEEE Trans. Mag. 2017, 53, 4000604. [Google Scholar] [CrossRef]
- Schmidt, S.; Grimes, C.A. Characterization of nano-dimensional thin-film elastic moduli using magnetoelastic sensors. Sens. Actuator A Phys. 2001, 94, 189–196. [Google Scholar] [CrossRef]
- Aqion. Available online: https://www.aqion.de/site/168 (accessed on 16 March 2020).
- Pankow, J.F. Aquatic Chemistry Concepts, 2nd ed.; CRC Press: Boca Raton, FL, USA, 2019; p. 220. [Google Scholar]
- Xyla, A.G.; Koutsoukos, P.G. Effect of diphosphonates on the precipitation of calcium-carbonate in aqueous solutions. J. Chem. Soc. Faraday Trans. 1 F 1987, 83, 1477–1484. [Google Scholar] [CrossRef]





© 2020 by the authors. Licensee MDPI, Basel, Switzerland. This article is an open access article distributed under the terms and conditions of the Creative Commons Attribution (CC BY) license (http://creativecommons.org/licenses/by/4.0/).
Share and Cite
Sisniega, B.; Sagasti Sedano, A.; Gutiérrez, J.; García-Arribas, A. Real Time Monitoring of Calcium Oxalate Precipitation Reaction by Using Corrosion Resistant Magnetoelastic Resonance Sensors. Sensors 2020, 20, 2802. https://doi.org/10.3390/s20102802
Sisniega B, Sagasti Sedano A, Gutiérrez J, García-Arribas A. Real Time Monitoring of Calcium Oxalate Precipitation Reaction by Using Corrosion Resistant Magnetoelastic Resonance Sensors. Sensors. 2020; 20(10):2802. https://doi.org/10.3390/s20102802
Chicago/Turabian StyleSisniega, Beatriz, Ariane Sagasti Sedano, Jon Gutiérrez, and Alfredo García-Arribas. 2020. "Real Time Monitoring of Calcium Oxalate Precipitation Reaction by Using Corrosion Resistant Magnetoelastic Resonance Sensors" Sensors 20, no. 10: 2802. https://doi.org/10.3390/s20102802
APA StyleSisniega, B., Sagasti Sedano, A., Gutiérrez, J., & García-Arribas, A. (2020). Real Time Monitoring of Calcium Oxalate Precipitation Reaction by Using Corrosion Resistant Magnetoelastic Resonance Sensors. Sensors, 20(10), 2802. https://doi.org/10.3390/s20102802

