Sensing-Based Dynamic Spectrum Sharing in Integrated Wireless Sensor and Cognitive Satellite Terrestrial Networks
Abstract
:1. Introduction
2. System Model
2.1. System Model
2.2. Transmission Model
3. Problem Formulations
3.1. Sensing-Based Spectrum Sharing under Perfect Sensing Conditions
| Algorithm 1 Iterative Power Allocation Algorithm under Perfect Sensing Conditions. |
|
3.2. Sensing-Based Spectrum Sharing under Imperfect Sensing Conditions
4. Simulations and Discussion
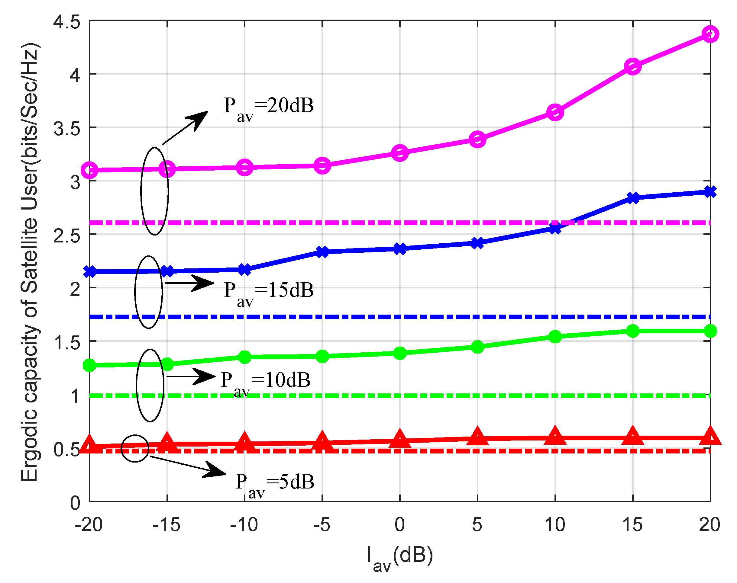
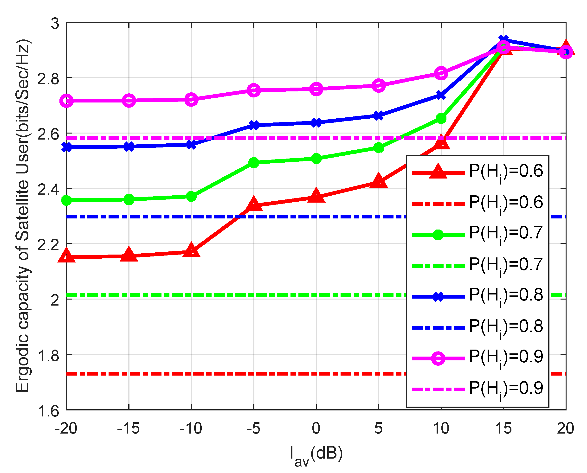
4.1. Perfect Sensing Conditions
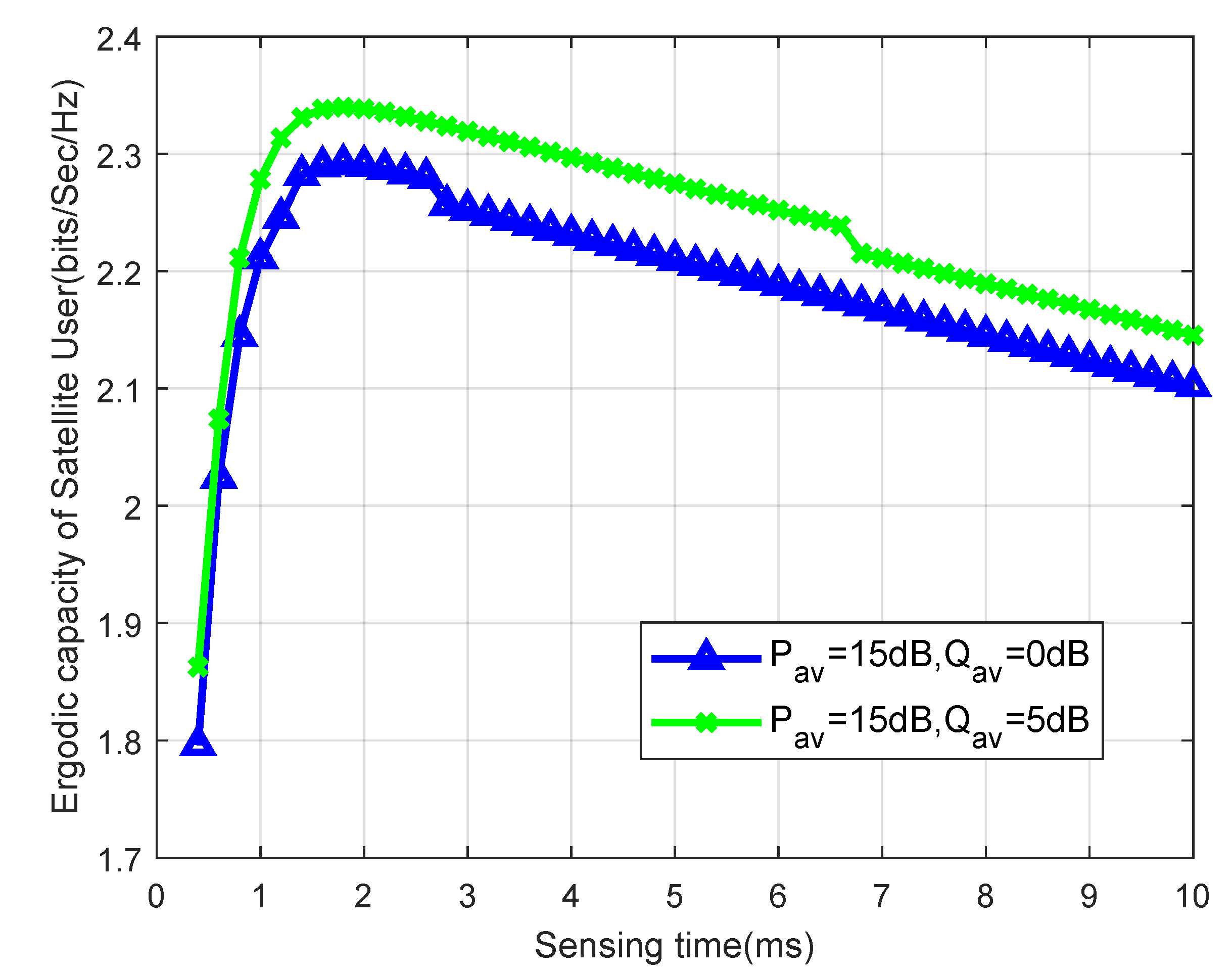
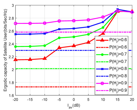
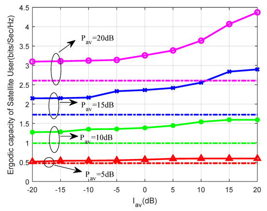
4.2. Imperfect Sensing Conditions
5. Conclusions
Author Contributions
Funding
Acknowledgments
Conflicts of Interest
References
- Akyildiz, I.F.; Su, W.L.; Sankarasubramaniam, Y.; Cayirci, E. A survey on sensor networks. IEEE Commun. Mag. 2002, 40, 102–114. [Google Scholar] [CrossRef]
- Aulov, O.; Halem, M. Human Sensor Networks for Improved Modeling of Natural Disasters. Proc. IEEE 2012, 100, 2812–2823. [Google Scholar] [CrossRef]
- Astapov, S.; Preden, J.S.; Ehala, J.; Riid, A. Object Detection for Military Surveillance Using Distributed Multimodal Smart Sensors. In Proceedings of the 19th International Conference on Digital Signal Processing, Hong Kong, China, 20–23 August 2014. [Google Scholar]
- Ojha, T.; Misra, S.; Raghuwanshi, N.S. Wireless sensor networks for agriculture: The stateoftheart in practice and future challenges. Comput. Electron. Agric. 2015, 118, 66–84. [Google Scholar] [CrossRef]
- Bisio, I.; Marchese, M. Satellite earth station (SeS) selection method for satellite-based sensor networks. IEEE Commun. Lett. 2007, 11, 970–972. [Google Scholar] [CrossRef]
- Wang, W.Q.; Jiang, D. Integrated Wireless Sensor Systems via Near-Space and Satellite Platforms: A Review. IEEE Sens. J. 2014, 14, 3903–3914. [Google Scholar] [CrossRef]
- Dong, F.; Li, M.; Gong, X.; Li, H.; Gao, F. Diversity Performance Analysis on Multiple HAP Networks. Sensors 2015, 15, 15398–15418. [Google Scholar] [CrossRef]
- Li, H.; Yin, H.; Gong, X.; Dong, F.; Ren, B.; He, Y.; Wang, J. Performance Analysis of Integrated Wireless Sensor and Multibeam Satellite Networks Under Terrestrial Interference. Sensors 2016, 16, 1711. [Google Scholar] [CrossRef]
- Thompson, P.; Evans, B. Analysis of interference between terrestrial and satellite systems in the Band 17.7 to 19.7 GHz. In Proceedings of the IEEE International Conference on Communication Workshop, London, UK, 8–12 June 2015. [Google Scholar]
- Kerczewski, R.; Mohamed, J.; Ngo, D.; Spence, R.; Stevens, G.; Zaman, A.; Svoboda, J. A Study of the Potential Interference Between Satellite and Terrestrial Systems in the 28 GHz Band. In Proceedings of the 16th International Communications Satellite Systems Conference, Washington, DC, USA, 25–29 February 1996. [Google Scholar]
- Cocco, G.; Cola, T.D.; Angelone, M.; Katona, Z. Radio Resource Management Strategies for DVB-S2 Systems Operated with Flexible Satellite Payloads. In Proceedings of the Advanced Satellite Multimedia Systems Conference & the Signal Processing for Space Communications Workshop, Palma de Mallorca, Spain, 5–7 September 2016. [Google Scholar]
- Sanchez, A.H.; Soares, T.; Wolahan, A.; Sanchez, A.H.; Soares, T.; Wolahan, A.; Sanchez, A.H.; Soares, T.; Wolahan, A. Reliability aspects of mega-constellation satellites and their impact on the space debris environment. In Proceedings of the Annual Reliability and Maintainability Symposium, Orlando, FL, USA, 23–26 January 2017. [Google Scholar]
- Dimitrov, S.; Erl, S.; Barth, B.; Jaeckel, S.; Kyrgiazos, A.; Evans, B.G. Radio Resource Management Techniques for High Throughput Satellite Communication Systems. In Proceedings of the European Conference on Networks and Communications, Paris, France, 29 June–2 July 2015. [Google Scholar]
- Jia, M.; Liu, X.; Gu, X.; Guo, Q. Joint cooperative spectrum sensing and channel selection optimization for satellite communication systems based on cognitive radio. Int. J. Satell. Commun. Netw. 2017, 35, 139–150. [Google Scholar] [CrossRef]
- Chatzinotas, S.; Evans, B.; Guidotti, A.; Icolari, V.; Xoralli, A.V. Cognitive approaches to enhance spectrum availability for satellite systems. Int. J. Satell. Commun. Netw. 2016, 35, 407–442. [Google Scholar] [CrossRef]
- Zhou, F.; Wu, Y.; Liang, Y.C.; Li, Z.; Wang, Y.; Wong, K.K. State of the Art, Taxonomy, and Open Issues on Cognitive Radio Networks with NOMA. IEEE Wirel. Commun. 2018, 25, 100–108. [Google Scholar] [CrossRef]
- Goldsmith, A.; Jafar, S.A.; Maric, I.; Srinivasa, S. Breaking Spectrum Gridlock With Cognitive Radios: An Information Theoretic Perspective. Proc. IEEE 2009, 97, 894–914. [Google Scholar] [CrossRef]
- Mitola, J.; Maguire, G.Q. Cognitive radio: Making software radios more personal. IEEE Pers. Commun. 1999, 6, 13–18. [Google Scholar] [CrossRef]
- Haykin, S. Cognitive radio: Brain-empowered wireless communications. IEEE J. Sel. Areas Commun. 2005, 23, 201–220. [Google Scholar] [CrossRef]
- Sharma, S.K.; Chatzinotas, S.; Ottersten, B. Satellite cognitive communications: Interference modeling and techniques selection. In Proceedings of the 6th Advanced Satellite Multimedia Systems Conference and 12th Signal Processing for Space Communications Workshop, Baiona, Spain, 5–7 September 2012. [Google Scholar]
- Liang, Y.C.; Zeng, Y.; Peh, C.Y.E.; Hoang, A. Sensing-Throughput Tradeoff for Cognitive Radio Networks. IEEE Trans. Wirel. Commun. 2008, 7, 1326–1337. [Google Scholar] [CrossRef]
- Zhou, F.; Beaulieu, N.; Cheng, J.; Chu, Z.; Wang, Y. Robust Max-Min Fairness Resource Allocation in Sensing-Based Wideband Cognitive Radio With SWIPT: Imperfect Channel Sensing. IEEE Syst. J. 2017, 12, 2361–2372. [Google Scholar] [CrossRef]
- Lagunas, E.; Maleki, S.; Chatzinotas, S.; Soltanalian, M.; Ottersten, B. Power and Rate Allocation in Cognitive Satellite Uplink Networks. In Proceedings of the IEEE International Conference on Communications, Kuala Lumpur, Malaysia, 22–27 May 2016. [Google Scholar]
- Vassaki, S.; Poulakis, M.I.; Panagopoulos, A.D. Optimal iSINR-based power control for cognitive satellite terrestrial networks. Trans. Emerg. Telecommun. Technol. 2015, 28, e2945. [Google Scholar] [CrossRef]
- Shi, S.; Li, G.; An, K.; Gao, B.; Zheng, G. Energy-Efficient Optimal Power Allocation in Integrated Wireless Sensor and Cognitive Satellite Terrestrial Networks. Sensors 2017, 17, 2025. [Google Scholar] [CrossRef]
- Shi, S.; Li, G.; Kang, A.; Li, Z.; Gan, Z. Optimal Power Control for Real-time Applications in Cognitive Satellite Terrestrial Networks. IEEE Commun. Lett. 2017, 21, 1815–1818. [Google Scholar] [CrossRef]
- Engelman, R.; Abrokwah, K.; Dillon, G.; Foster, G.; Godfrey, G.; Hanbury, T.; Lagerwerff, C.; Leighton, W.; Marcus, M.; Noel, P.; et al. Federal Communications Commission Spectrum Policy Task Force Report of the Spectrum Efficiency Working Group. Available online: https://transition.fcc.gov/sptf/files/SEWGFinalReport_1.pdf (accessed on 1 December 2019).
- Khan, A.A.; Rehmani, M.H.; Reisslein, M. Cognitive Radio for Smart Grids: Survey of Architectures, Spectrum Sensing Mechanisms, and Networking Protocols. IEEE Commun. Surv. Tutor. 2015, 18, 860–898. [Google Scholar] [CrossRef]
- Sharma, P.K.; Upadhyay, P.K.; Costa, D.B.D.; Bithas, P.K.; Kanatas, A.G. Performance Analysis of Overlay Spectrum Sharing in Hybrid Satellite-Terrestrial Systems with Secondary Network Selection. IEEE Trans. Wirel. Commun. 2017, 16, 6586–6601. [Google Scholar] [CrossRef]
- Pratibha, P.; Li, K.H.; Teh, K.C. Optimal Spectrum Access and Energy Supply for Cognitive Radio Systems with Opportunistic RF Energy Harvesting. IEEE Trans. Veh. Technol. 2017, 66, 7114–7122. [Google Scholar] [CrossRef]
- Boyd, S.; Vandenberghe, L. Convex Optimization; Cambridge University Press: Cambridge, UK, 2004; pp. 1254–1259. [Google Scholar]
- Abdi, A.; Lau, W.C.; Alouini, M.S.; Kaveh, M. A new simple model for land mobile satellite channels: First- and second-order statistics. IEEE Trans. Wirel. Commun. 2003, 2, 519–528. [Google Scholar] [CrossRef]
- Maleki, S.; Chatzinotas, S.; Krause, J.; Liolis, K.; Ottersten, B. Cognitive Zone for Broadband Satellite Communication in 17.3–17.7 GHz Band. IEEE Wirel. Commun. Lett. 2015, 4, 305–308. [Google Scholar] [CrossRef]
- Zhou, F.; Chu, Z.; Sun, H.; Hu, R.; Hanzo, L. Artificial noise aided secure cognitive beamforming for cooperative MISO-NOMA using SWIPT. IEEE J. Sel. Areas Commun. 2018, 36, 918–931. [Google Scholar] [CrossRef]
- Yucek, T.; Arslan, H. A Survey of Spectrum Sensing Algorithms for Cognitive Radio Applications. IEEE Commun. Surv. Tutor. 2009, 11, 116–130. [Google Scholar] [CrossRef]
- Zhang, R.; Kang, X.; Liang, Y.C. Protecting primary users in cognitive radio networks: Peak or average interference power constraint? In Proceedings of the IEEE International Conference on Communications, Dresden, Germany, 14–18 June 2009. [Google Scholar]
- Stevenson, C.R. Functional Requirements for the 802.22 WRAN Standard. Available online: https://ci.nii.ac.jp/naid/10026841909/ (accessed on 1 December 2019).








| Parameters | Values |
|---|---|
| signal frequency (f) | 2 GHz |
| 42.1 dB | |
| 52.1 dB | |
| 0.01 W | |
| satellite link distance () | 35,786 km |
| interference link distance () | 10 km |
| 0.126 | |
| 0.835 | |
| 10.1 | |
| 1 | |
| 0.95 | |
| T | 100 ms |
© 2019 by the authors. Licensee MDPI, Basel, Switzerland. This article is an open access article distributed under the terms and conditions of the Creative Commons Attribution (CC BY) license (http://creativecommons.org/licenses/by/4.0/).
Share and Cite
Hu, J.; Li, G.; Bian, D.; Tang, J.; Shi, S. Sensing-Based Dynamic Spectrum Sharing in Integrated Wireless Sensor and Cognitive Satellite Terrestrial Networks. Sensors 2019, 19, 5290. https://doi.org/10.3390/s19235290
Hu J, Li G, Bian D, Tang J, Shi S. Sensing-Based Dynamic Spectrum Sharing in Integrated Wireless Sensor and Cognitive Satellite Terrestrial Networks. Sensors. 2019; 19(23):5290. https://doi.org/10.3390/s19235290
Chicago/Turabian StyleHu, Jing, Guangxia Li, Dongming Bian, Jingyu Tang, and Shengchao Shi. 2019. "Sensing-Based Dynamic Spectrum Sharing in Integrated Wireless Sensor and Cognitive Satellite Terrestrial Networks" Sensors 19, no. 23: 5290. https://doi.org/10.3390/s19235290
APA StyleHu, J., Li, G., Bian, D., Tang, J., & Shi, S. (2019). Sensing-Based Dynamic Spectrum Sharing in Integrated Wireless Sensor and Cognitive Satellite Terrestrial Networks. Sensors, 19(23), 5290. https://doi.org/10.3390/s19235290

