An Anti-Interference Scheme for UAV Data Links in Air–Ground Integrated Vehicular Networks
Abstract
:1. Introduction
- We adopt M-ary spread spectrum technology to expand the spectrum of the signal and disperse the interference power of the signal. Therefore, the accuracy of information transmission can be improved and the bit error rate (BER) can be reduced without increasing the transmission power.
- We adopt multi-carrier technology to modulate the signal and send it through multiple-input multiple-output (MIMO) antennas. Therefore, Mary-MCM scheme can improve channel capacity and spectrum utilization. In addition, Mary-MCM scheme can be used in IoT environments with limited radio spectrum resources to meet the user’s demand for multiple services and large capacity.
- Compared with transmission technologies for V2X, Mary-MCM scheme aims to improve anti-interference performance of UAV data links. Considering the influence of EMI in three-dimensional (3D) environment, the proposed Mary-MCM scheme can improve the reliability of communication services, lower the end-to-end latency, and support applications that require high throughput.
2. Related Technologies and Works
2.1. Anti-Interference Technology Principle
2.2. DSSS Technology
2.3. M-Ary Spread Spectrum
2.4. Summary
3. Air–Ground Integrated Vehicular Networks (AGIVNs) UAV Data Links
3.1. UAV Data Links Electromagnetic Interference Analysis
3.2. Electromagnetic Interference Model
3.2.1. Radar Pulse (RP) Interference
3.2.2. Communication Radiation Source (CRS) Interference
3.2.3. Single Frequency Continuous Wave (SFCW) Interference
4. Mary-MCM UAV Data Links Anti-Interference Scheme
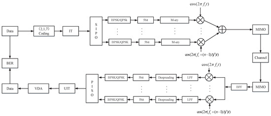
4.1. Sensor Transmitter (STX) System
4.2. Sensor Receiver (SRX) System
4.3. Sensor Multiple-Input Multiple-Output (MIMO) Antenna System
4.4. Anti-Interference Performance Analysis
5. Simulation Results
5.1. Simulation Results
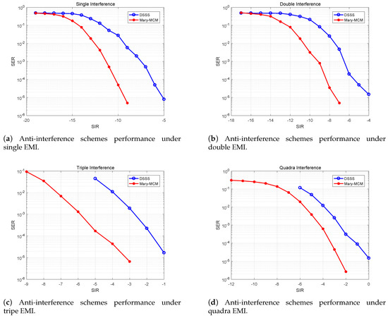
5.2. Impact of Different EMI Combinations on Anti-Interference Schemes
5.3. Impact of Different Spreading Factors on Anti-Interference Schemes
5.4. Impact of Different Numbers on Anti-Interference Schemes
6. Conclusions
Author Contributions
Funding
Conflicts of Interest
References
- Miao, Y.; Liu, X.; Choo, K.R.; Deng, R.H.; Wu, H.; Li, H. Fair and Dynamic Data Sharing Framework in Cloud-Assisted Internet of Everything. IEEE Internet Things J. 2019, 6, 7201–7212. [Google Scholar] [CrossRef]
- He, Y.X.; Tang, X.; Zhang, R.N.; Du, X.J. A Course-Aware Opportunistic Routing Protocol for FANETs. IEEE Access. 2019, 7, 144303–144312. [Google Scholar] [CrossRef]
- Zhu, L.; Yu, F.R.; Ning, B.; Tang, T. Big Data Analytics in Intelligent Transportation Systems: A Survey. IEEE Trans. Intell. Transp. Syst. 2019, 20, 383–398. [Google Scholar] [CrossRef]
- Liu, F.; Chen, Z.; Xia, B. Data Dissemination with Network Coding in Two-Way Vehicle-to-Vehicle Networks. IEEE Trans. Veh. Technol. 2016, 65, 2445–2456. [Google Scholar] [CrossRef]
- Pu, C. Jamming-Resilient Multipath Routing Protocol for Flying Ad Hoc Networks. IEEE Access 2018, 6, 68472–68486. [Google Scholar] [CrossRef]
- Zhang, R.N.; Guo, Q.; Zhai, D.S.; Du, X.J. Channel Measurement and Resource Allocation Scheme for Dual-Band Airborne Access Networks. IEEE Access. 2019, 7, 80870–80883. [Google Scholar] [CrossRef]
- Wang, K.; Zhang, R.N. Path loss measurement and modeling for low-altitude UAV access channels. In Proceedings of the 2017 IEEE 86th Vehicular Technology Conference (VTC-Fall), Toronto, ON, Canada, 24–27 September 2017; pp. 1–5. [Google Scholar]
- Ma, C.F.; Wei, L.; Zheng, M. A Connectivity-Aware Approximation Algorithm for Relay Node Placement in Wireless Sensor Networks. IEEE Sens. J. 2016, 16, 515–528. [Google Scholar] [CrossRef]
- Seliem, H.; Reza, S.; Ahmed, M.H. Drone-Based Highway-VANET and DAS Service. IEEE Access 2018, 6, 20125–20137. [Google Scholar] [CrossRef]
- Park, S.; Shin, S.; Jeong, D.; Lee, H. Network Reconstruction through Connectivity Probing and Relay Deployment by Multiple UAVs in Ad Hoc Networks. IEEE Trans. Veh. Technol. 2018, 67, 11192–11207. [Google Scholar] [CrossRef]
- Di, B.; Bayat, S.; Song, L.; Li, Y.; Han, Z. Joint User Pairing, Subchannel, and Power Allocation in Full-Duplex Multi-User OFDMA Networks. IEEE Trans. Wirel. Commun. 2016, 15, 8260–8272. [Google Scholar] [CrossRef]
- Naik, G.; Choudhury, B.; Park, J.M. IEEE 802.11 bd & 5G NR V2X: Evolution of Radio Access Technologies for V2X Communications. IEEE Access 2019, 7, 70169–70184. [Google Scholar]
- Wang, P.F.; Di, B.Y.; Zhang, H.L. Cellular V2X Communications in Unlicensed Spectrum: Harmonious Coexistence with VANET in 5G Systems. IEEE Trans. Wirel. Commun. 2018, 17, 5212–5224. [Google Scholar] [CrossRef]
- Rafael, M.M.; Javier, G. LTE-V for Sidelink 5G V2X Vehicular Communications: A New 5G Technology for Short-Range Vehicle-to-Everything Communications. IEEE Veh. Technol. Mag. 2017, 12, 30–39. [Google Scholar]
- Azpúrua, M.A.; Pous, M.; Silva, F. Decomposition of Electromagnetic Interferences in the Time-Domain. IEEE Trans. Electromagn. Compat. 2016, 58, 385–392. [Google Scholar] [CrossRef]
- Munir, M.A.; Maud, A.R.M. Direct-Sequence Spread Spectrum with Variable Spreading Sequence for Jamming Immunity. In Proceedings of the 2019 16th International Bhurban Conference on Applied Sciences and Technology (IBCAST), Islamabad, Pakistan, 8–12 January 2019; pp. 933–937. [Google Scholar]
- Xiao, L.; Xuan, G.; Wu, Y. Research on an improved chaotic spread spectrum sequence. In Proceedings of the 2018 IEEE 3rd International Conference on Cloud Computing and Big Data Analysis (ICCCBDA), Chengdu, China, 20–22 April 2018; pp. 420–423. [Google Scholar]
- Ashush, Y.; Engelberg, S. Generation of “Optimal” PN Sequences for Use in Direct Sequence Spread Spectrum. In Proceedings of the 2018 IEEE International Conference on the Science of Electrical Engineering in Israel (ICSEE), Eilat, Israel, 12–14 December 2018; pp. 1–4. [Google Scholar]
- Gupta, R.; Anuradha, S. A Direct Sequence Spread Spectrum Transceiver with Enhanced Security Using Chaotic and Gold Sequence. In Proceedings of the 2018 9th International Conference on Computing, Communication and Networking Technologies (ICCCNT), Bangalore, India, 10–12 July 2018; pp. 1–6. [Google Scholar]
- Xia, Q.; Sasamori, F.; Handa, S.; Takyu, O. Performance evaluation of M-ary SS/OFDM systems with short spread spectrum codes over visible light channels. In Proceedings of the 2017 International Conference on Information and Communication Technology Convergence (ICTC), Jeju, Korea, 18–20 October 2017; pp. 226–228. [Google Scholar]
- Li, Q.; Wen, M.; Basar, E.; Chen, F. Index Modulated OFDM Spread Spectrum. IEEE Trans. Wirel. Commun. 2018, 17, 2360–2374. [Google Scholar] [CrossRef]
- Ding, X.; Xiong, H.; Gong, S.; Peng, M.; Tang, J. M-ary Orthogonal Signal and BER Performance in Wireless Communication Systems. In Proceedings of the 2018 IEEE 4th International Conference on Computer and Communications (ICCC), Chengdu, China, 7–10 December 2018; pp. 1268–1272. [Google Scholar]
- ElMossallamy, M.A.; Pan, M.; Jäntti, R.; Seddik, K.G. Noncoherent Backscatter Communications over Ambient OFDM Signals. IEEE Trans. Commun. 2019, 67, 1268–1272. [Google Scholar] [CrossRef]
- Guo, S.; Wang, Y.; Liu, R. Multi-dimensional and complicated electromagnetic interference hardware-in-the- loop simulation method. J. Syst. Eng. Electron. 2015, 26, 1142–1148. [Google Scholar] [CrossRef]



















| Category | Parameter | Value |
|---|---|---|
| Mary- MCM | Encoding | (2, 1, 7) |
| Number of Carriers | 4 | |
| Subcarrier Spacing | 1 MHz | |
| Modulation | BPSK |
| Interference | Parameter |
|---|---|
| WGN | SIR = [−25, 10] dB |
| RP | |
| NSR | SIR = [−15, 10] dB |
| SFCW | SIR = [−15, 10] dB |
| Number of Interference | Type of Interference |
|---|---|
| Single Interference | WGN |
| Double Interference | WGN + RP |
| Triple Interference | WGN + NSR +RP |
| Quadra Interference | WGN + SFCW + RP + NSR |
© 2019 by the authors. Licensee MDPI, Basel, Switzerland. This article is an open access article distributed under the terms and conditions of the Creative Commons Attribution (CC BY) license (http://creativecommons.org/licenses/by/4.0/).
Share and Cite
He, Y.; Zhai, D.; Zhang, R.; Du, X.; Guizani, M. An Anti-Interference Scheme for UAV Data Links in Air–Ground Integrated Vehicular Networks. Sensors 2019, 19, 4742. https://doi.org/10.3390/s19214742
He Y, Zhai D, Zhang R, Du X, Guizani M. An Anti-Interference Scheme for UAV Data Links in Air–Ground Integrated Vehicular Networks. Sensors. 2019; 19(21):4742. https://doi.org/10.3390/s19214742
Chicago/Turabian StyleHe, Yixin, Daosen Zhai, Ruonan Zhang, Xiaojiang Du, and Mohsen Guizani. 2019. "An Anti-Interference Scheme for UAV Data Links in Air–Ground Integrated Vehicular Networks" Sensors 19, no. 21: 4742. https://doi.org/10.3390/s19214742
APA StyleHe, Y., Zhai, D., Zhang, R., Du, X., & Guizani, M. (2019). An Anti-Interference Scheme for UAV Data Links in Air–Ground Integrated Vehicular Networks. Sensors, 19(21), 4742. https://doi.org/10.3390/s19214742

