P3HT Processing Study for In-Liquid EGOFET Biosensors: Effects of the Solvent and the Surface
Abstract
1. Introduction
2. Materials and Methods
2.1. Materials and Reagents
2.2. Device Fabrication
2.3. Characterizations
3. Results and Discussion
3.1. Tapping Mode AFM
3.2. XPS Characterization
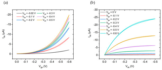
3.3. Electrical Characterization
4. Conclusions
Author Contributions
Funding
Acknowledgments
Conflicts of Interest
References
- Kim, J.; Campbell, A.S.; de Ávila, B.E.-F.; Wang, J. Wearable biosensors for healthcare monitoring. Nat. Biotechnol. 2019, 37, 389–406. [Google Scholar] [CrossRef] [PubMed]
- Ricciardi, C.; Ferrante, I.; Castagna, R.; Frascella, F.; Marasso, S.L.; Santoro, K.; Gili, M.; Pitardi, D.; Pezzolato, M.; Bozzetta, E. Immunodetection of 17β-estradiol in serum at ppt level by microcantilever resonators. Biosens. Bioelectron. 2013, 40, 407–411. [Google Scholar] [CrossRef] [PubMed]
- Ricciardi, C.; Canavese, G.; Castagna, R.; Digregorio, G.; Ferrante, I.; Marasso, S.L.; Ricci, A.; Alessandria, V.; Rantsiou, K.; Cocolin, L.S. Online Portable Microcantilever Biosensors for Salmonella enterica Serotype Enteritidis Detection. Food Bioprocess Technol. 2010, 3, 956–960. [Google Scholar] [CrossRef]
- Kergoat, L.; Herlogsson, L.; Braga, D.; Piro, B.; Pham, M.C.; Crispin, X.; Berggren, M.; Horowitz, G.A. Water-gate organic field-effect transistor. Adv. Mater. 2010, 22, 2565–2569. [Google Scholar] [CrossRef] [PubMed]
- Preziosi, V.; Barra, M.; Perazzo, A.; Tarabella, G.; Agostino, R.; Marasso, S.L.; D’Angelo, P.; Iannotta, S.; Cassinese, A.; Guido, S. Monitoring emulsion microstructure by Organic Electrochemical Transistors. J. Mater. Chem. C. 2017, 5, 2056–2065. [Google Scholar] [CrossRef]
- Roda, A.; Michelini, E.; Zangheri, M.; Di Fusco, M.; Calabria, D.; Simoni, P. Smartphone-based biosensors: A critical review and perspectives. TrAC Trends Anal. Chem. 2016, 79, 317–325. [Google Scholar] [CrossRef]
- Ballesio, A.; Parmeggiani, M.; Verna, A.; Frascella, F.; Cocuzza, M.; Pirri, C.F.; Marasso, S.L.; Scordo, A.G.; Bertana, V.; Ferrero, S.; et al. A novel hot embossing Graphene transfer process for flexible electronics. Microelectron. Eng. 2018, 209, 16–19. [Google Scholar] [CrossRef]
- Gao, W.; Emaminejad, S.; Nyein, H.Y.Y.; Challa, S.; Chen, K.; Peck, A.; Fahad, H.M.; Ota, H.; Shiraki, H.; Kiriya, D.; et al. Fully integrated wearable sensor arrays for multiplexed in situ perspiration analysis. Nature 2016, 529, 509–514. [Google Scholar] [CrossRef]
- Tarabella, G.; Balducci, A.G.; Coppedè, N.; Marasso, S.; D’Angelo, P.; Barbieri, S.; Cocuzza, M.; Colombo, P.; Sonvico, F.; Mosca, R.; et al. Liposome sensing and monitoring by organic electrochemical transistors integrated in microfluidics. Biochim. Biophys. Acta 2013, 1830, 4374–4380. [Google Scholar] [CrossRef]
- Gentili, D.; D’Angelo, P.; Militano, F.; Mazzei, R.; Poerio, T.; Brucale, M.; Tarabella, G.; Bonetti, S.; Marasso, S.L.; Cocuzza, M.; et al. Integration of organic electrochemical transistors and immuno-affinity membranes for label-free detection of interleukin-6 in the physiological concentration range through antibody-antigen recognition. J. Mater. Chem. B 2018, 6, 5400–5406. [Google Scholar] [CrossRef]
- Parmeggiani, M.; Ballesio, A.; Verna, A.; Frascella, F.; Cocuzza, M.; Pirri, C.F.; Marasso, S.L. A novel electrolyte gated graphene field effect transistor on cyclo olefin copolymer foil. In Proceedings of the 2018 IEEE SENSORS, New Delhi, India, 28–31 October 2018; pp. 1–4. [Google Scholar]
- D’Angelo, P.; Marasso, S.L.; Verna, A.; Ballesio, A.; Parmeggiani, M.; Sanginario, A.; Tarabella, G.; Demarchi, D.; Pirri, C.F.; Cocuzza, M.; et al. Scaling Organic Electrochemical Transistors Down to Nanosized Channels. Small 2019, 15, 1902332. [Google Scholar] [CrossRef] [PubMed]
- Kergoat, L.; Piro, B.; Berggren, M.; Horowitz, G.; Pham, M.C. Advances in organic transistor-based biosensors: From organic electrochemical transistors to electrolyte-gated organic field-effect transistors. Anal. Bioanal. Chem. 2012, 402, 1813–1826. [Google Scholar] [CrossRef] [PubMed]
- Tremel, K.; Ludwigs, S. P3HT Revisited—From Molecular Scale to Solar Cell Devices; Springer: Berlin, Germany, 2014; Volume 265, ISBN 978-3-662-45144-1. [Google Scholar]
- Seshadri, P.; Manoli, K.; Schneiderhan-Marra, N.; Anthes, U.; Wierzchowiec, P.; Bonrad, K.; Di Franco, C.; Torsi, L. Low-picomolar, label-free procalcitonin analytical detection with an electrolyte-gated organic field-effect transistor based electronic immunosensor. Biosens. Bioelectron. 2018, 104, 113–119. [Google Scholar] [CrossRef]
- Sirringhaus, H. Device physics of solution-processed organic field-effect transistors. Adv. Mater. 2005, 17, 2411–2425. [Google Scholar] [CrossRef]
- D’Angelo, P.; Tarabella, G.; Romeo, A.; Giodice, A.; Marasso, S.; Cocuzza, M.; Ravanetti, F.; Cacchioli, A.; Petronini, P.G.; Iannotta, S. Monitoring the adaptive cell response to hyperosmotic stress by organic devices. MRS Commun. 2017, 7, 229–235. [Google Scholar] [CrossRef]
- D’Angelo, P.; Tarabella, G.; Romeo, A.; Marasso, S.L.; Verna, A.; Cocuzza, M.; Peruzzi, C.; Vurro, D.; Iannotta, S. PEDOT:PSS Morphostructure and ion-to-electron transduction and amplification mechanisms in organic electrochemical transistors. Materials 2019, 12, 9. [Google Scholar] [CrossRef] [PubMed]
- Scavia, G.; Porzio, W.; Destri, S.; Barba, L.; Arrighetti, G.; Milita, S.; Fumagalli, L.; Natali, D.; Sampietro, M. Effect of the silanization and annealing on the morphology of thin poly(3-hexylthiophene) (P3HT) layer on silicon oxide. Surf. Sci. 2008, 602, 3106–3115. [Google Scholar] [CrossRef]
- Yamamoto, K.; Ochiai, S.; Wang, X.; Uchida, Y.; Kojima, K.; Ohashi, A.; Mizutani, T. Evaluation of molecular orientation and alignment of poly(3-hexylthiophene) on Au (111) and on poly(4-vinylphenol) surfaces. Thin Solid Films 2008, 516, 2695–2699. [Google Scholar] [CrossRef]
- List-Kratochvil, E.J.W.; Ligorio, G.; Mello, H.J.N.P.D.; Dalgleish, S.; Mulato, M. Stability evaluation and gate-distance effects on electrolyte-gated organic field-effect transistor based on organic semiconductors. Org. Hybrid Sens. Bioelectron. 2018, 1073819, 45. [Google Scholar]
- Silva Santos, B.P.; Rubio Arias, J.J.; Albuquerque, L.S.; da Veiga, A.G.; de Melo Furtado, J.G.; de Castro Ribeiro, A.; da Silva, L.A.F.; Bendinelli, E.V.; Rocco, M.L.M.; Valaski, R.; et al. An investigation on the effect of the monomer/catalyst ratio in the electronic properties of poly(3-hexylthiophene) using XPS, REELS and UPS techniques. J. Electron Spectros. Relat. Phenomena 2019, 234, 27–33. [Google Scholar] [CrossRef]
- Schwieger, T.; Liu, X.; Peisert, H.; Adolphi, B.; Kiriy, N.; Knupfer, M. Electronic properties of interfaces between different sexithiophenes and gold. J. Appl. Phys. 2005, 97, 123712. [Google Scholar] [CrossRef]
- Dannetun, P.; Boman, M.; Stafström, S.; Salaneck, W.R.; Lazzaroni, R.; Fredriksson, C.; Brédas, J.L.; Zamboni, R.; Taliani, C. The chemical and electronic structure of the interface between aluminum and polythiophene semiconductors. J. Chem. Phys. 1993, 99, 664–672. [Google Scholar] [CrossRef]
- Watts, J.F. Surface analysis of polymers by XPS and static SIMS. Surf. Eng. 1998, 14, 290. [Google Scholar] [CrossRef]
- Toss, H.; Suspène, C.; Piro, B.; Yassar, A.; Crispin, X.; Kergoat, L.; Pham, M.C.; Berggren, M. On the mode of operation in electrolyte-gated thin film transistors based on different substituted polythiophenes. Org. Electron. Phys. Mater. Appl. 2014, 15, 2420–2427. [Google Scholar] [CrossRef]









| Process | Solvent | Adhesion Promoter |
|---|---|---|
| No prime tol | Tol | ✕ |
| Ti prime tol | Tol | ✓ |
| No prime oDCB | oDCB | ✕ |
| Ti prime oDCB | oDCB | ✓ |
© 2019 by the authors. Licensee MDPI, Basel, Switzerland. This article is an open access article distributed under the terms and conditions of the Creative Commons Attribution (CC BY) license (http://creativecommons.org/licenses/by/4.0/).
Share and Cite
Parmeggiani, M.; Verna, A.; Ballesio, A.; Cocuzza, M.; Piatti, E.; Fra, V.; Pirri, C.F.; Marasso, S.L. P3HT Processing Study for In-Liquid EGOFET Biosensors: Effects of the Solvent and the Surface. Sensors 2019, 19, 4497. https://doi.org/10.3390/s19204497
Parmeggiani M, Verna A, Ballesio A, Cocuzza M, Piatti E, Fra V, Pirri CF, Marasso SL. P3HT Processing Study for In-Liquid EGOFET Biosensors: Effects of the Solvent and the Surface. Sensors. 2019; 19(20):4497. https://doi.org/10.3390/s19204497
Chicago/Turabian StyleParmeggiani, Matteo, Alessio Verna, Alberto Ballesio, Matteo Cocuzza, Erik Piatti, Vittorio Fra, Candido Fabrizio Pirri, and Simone Luigi Marasso. 2019. "P3HT Processing Study for In-Liquid EGOFET Biosensors: Effects of the Solvent and the Surface" Sensors 19, no. 20: 4497. https://doi.org/10.3390/s19204497
APA StyleParmeggiani, M., Verna, A., Ballesio, A., Cocuzza, M., Piatti, E., Fra, V., Pirri, C. F., & Marasso, S. L. (2019). P3HT Processing Study for In-Liquid EGOFET Biosensors: Effects of the Solvent and the Surface. Sensors, 19(20), 4497. https://doi.org/10.3390/s19204497

