A Low-Profile High-Gain and Wideband Log-Periodic Meandered Dipole Array Antenna with a Cascaded Multi-Section Artificial Magnetic Conductor Structure
Abstract
1. Introduction
2. Antenna Design and Experimental Results
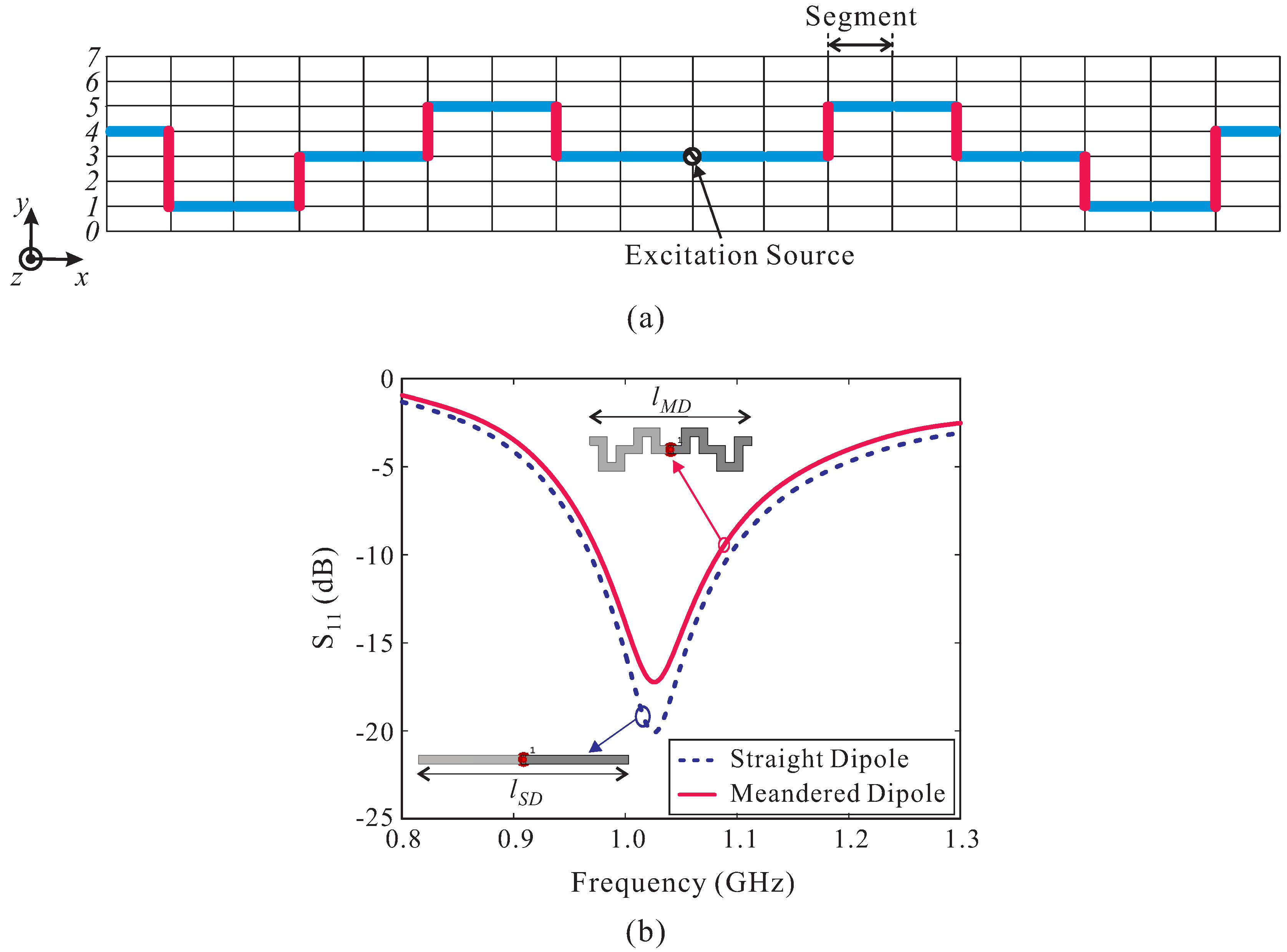
2.1. Log-Periodic Meandered Dipole Array (LPMDA) Antenna Design
2.2. Design of the Cascaded Multi-Section AMC Structure
2.3. The Proposed AMC-Backed LPMDA Antenna
3. Conclusions
Author Contributions
Funding
Conflicts of Interest
References
- Kim, S.-W.; Noh, S.-K.; Yu, H.-G.; Choi, D.-Y. Design and analysis of a quasi-Yagi antenna for an indoor location tracking system. Sensors 2018, 18, 4246. [Google Scholar] [CrossRef] [PubMed]
- Yoon, S.J.; Choi, J. A low-profile broadband array antenna for home repeater applications. J. Electromagn. Eng. Sci. 2018, 18, 261–266. [Google Scholar] [CrossRef]
- Bang, J.; Lee, J.; Choi, J. Design of a wideband antipodal vivaldi antenna with an asymmetric parasitic patch. J. Electromagn. Eng. Sci. 2018, 18, 29–34. [Google Scholar] [CrossRef]
- Kwon, T.-S.; Lee, J.-G.; Lee, J.-H. The gain estimation of a Fabry-Perot Cavity (FPC) antenna with a finite dimension. J. Electromagn. Eng. Sci. 2017, 17, 241–243. [Google Scholar] [CrossRef]
- Isbell, D. Log periodic dipole arrays. IRE Trans. Antennas Propag. 1960, 8, 260–267. [Google Scholar] [CrossRef]
- Anagnostou, D.E.; Papapolmerou, J.; Tentzeris, M.M.; Christodoulou, C.G. A printed log-periodic Koch-dipole array (LPKDA). IEEE Antennas Wirel. Propag. Lett. 2008, 7, 456–460. [Google Scholar] [CrossRef]
- Jardon-Aguilar, H.; Tirado-Mendez, J.A.; Flore-Leal, R.; Linares-Miranda, R. Reduced log-periodic dipole antenna using cylindrical-hat cover. Microw. Antennas Propag. 2011, 5, 1697–1702. [Google Scholar] [CrossRef]
- Chang, L.; He, H.; Zhang, J.Q.; Li, D. A compact dielectric-loaded log-periodic dipole array (LPDA) antenna. IEEE Antennas Wirel. Propag. Lett. 2017, 16, 2759–2762. [Google Scholar] [CrossRef]
- Chen, J.; Ludwig, J.; Lim, S. Design of a compact log-periodic dipole array using T-shaped top loadings. IEEE Antennas Wirel. Propag. Lett. 2017, 16, 1585–1588. [Google Scholar] [CrossRef]
- Lee, J.M.; Ham, H.J.; Ryu, H.K.; Woo, J.M.; Park, B.J.; Lee, K.S. Miniaturization of log-periodic dipole array antenna using triangular meander structure. In Proceedings of the IEEE International Conference on Wireless Information Technology and Systems, Maui, HI, USA, 11–16 November 2012; pp. 1–4. [Google Scholar]
- Kwon, O.H.; Lee, S.; Lee, J.M.; Hwang, K.C. A compact, low-profile log-periodic meandered dipole array antenna with an artificial magnetic conductor. Int. J. Antennas Propag. 2018, 2018, 7261076. [Google Scholar] [CrossRef]
- Zhao, Y.; Chen, Z.; Wu, W. Wideband and low-profile H-plane ridged SIW horn antenna mounted on a large conducting plane. IEEE Trans. Antennas Propag. 1914, 62, 5895–5900. [Google Scholar] [CrossRef]
- Eberle, J.W.; Levis, C.A.; McCoy, D. The flared slot: A moderately directive fluh-mounted broad-band antenna. IRE Trans. Antennas Propag. 1960, 8, 461–468. [Google Scholar] [CrossRef]
- Chen, Z.; Shen, Z. Wideband flush-mounted surface wave antenna of very low profile. IEEE Trans. Antennas Propag. 2015, 63, 2430–2438. [Google Scholar] [CrossRef]
- Hu, Z.; Shen, Z.; Wu, W.; Lu, J. Low-profile log-periodic monopole antenna. IEEE Trans. Antennas Propag. 2015, 63, 5484–5491. [Google Scholar] [CrossRef]
- Chen, Q.; Hu, Z.; Shen, Z.; Wu, W. 2–18 GHz conformal low-profile Log-periodic array on a cylindrical conductor. IEEE Trans. Antennas Propag. 2018, 66, 729–739. [Google Scholar] [CrossRef]
- Almutawa, A.T.; Mumcu, G. Small artificial magnetic conductor backed log-periodic microstrip patch antenna. IET Microw. Antennas Propag. 2013, 7, 1137–1144. [Google Scholar] [CrossRef]
- Yang, F.; Rahmat-Samii, Y. Electromagnetic Band Gap Structures in Antenna Engineering; Cambridge University Press: Cambridge, UK, 2009. [Google Scholar]
- Feresidis, A.P.; Goussetis, G.; Wang, S.; Vardaxoglou, J.C. Artificial magnetic conductor surfaces and their application to low-profile high-gain planar antennas. IEEE Trans. Antennas Propag. 2005, 53, 209–215. [Google Scholar] [CrossRef]
- Foroozesh, A.; Shafai, L. Investigation into the application of artificial magnetic conductors to bandwidth broadening, gain enhancement and beam shaping of low profile and conventional monopole antennas. IEEE Trans. Antennas Propag. 2011, 59, 4–20. [Google Scholar] [CrossRef]
- Haupt, R.L.; Haupt, S.E. Practical Genetic Algorithms, 2nd ed.; John Wiley & Sons, Inc.: Hoboken, NJ, USA, 2004. [Google Scholar]
- Kim, J.-Y.; Chun, D.-W.; Ryu, C.J.; Lee, H.-Y. Optimization methodology of multiple air hole effects in substrate integrated waveguide applications. J. Electromagn. Eng. Sci. 2018, 18, 160–168. [Google Scholar] [CrossRef]
- Kim, S.; Hwang, S.; Kim, S.; Lee, B. Investigation of single-input multiple-output wireless power transfer systems based on optimization of receiver loads for maximum efficiencies. J. Electromagn. Eng. Sci. 2018, 18, 145–153. [Google Scholar] [CrossRef]
- Trinh-Van, S.; Hwang, K.C. Miniaturised broadband top-loaded planar monopole antenna with binary-encoded sleeves. Electron. Lett. 2015, 51, 958–970. [Google Scholar] [CrossRef]
- Bayraktar, Z.; Werner, P.L.; Werner, D.H. The design of miniature three-element stochastic Yagi-Uda arrays using particle swarm optimization. IEEE Antennas Wireless Propag. Lett. 2006, 5, 22–26. [Google Scholar] [CrossRef]
- Carrel, R. The design of log-periodic dipole antennas. IRE Int. Conv. Rec. 1961, 9, 61–75. [Google Scholar] [CrossRef]









| Parameter | Value | Parameter | Value | Parameter | Value | Parameter | Value |
|---|---|---|---|---|---|---|---|
| W | 100 | 1.335 | 41.58 | 45.57 | |||
| L | 300 | 1.135 | 35.71 | 32.98 | |||
| 2.45 | 0.965 | 30.72 | 26.04 | ||||
| 4.90 | 0.820 | 26.48 | 19.21 | ||||
| 4.165 | 0.697 | 22.88 | 19.26 | ||||
| 3.540 | 0.592 | 19.81 | 15.55 | ||||
| 3.009 | 90.65 | 17.21 | 10.21 | ||||
| 2.558 | 77.42 | 15.00 | 9.55 | ||||
| 2.174 | 66.17 | 13.12 | 6.59 | ||||
| 1.848 | 56.62 | 50.24 | 5.65 | ||||
| 1.571 | 48.49 | 44.26 | 4.45 |
| Ref. | Ratio Bandwidth | Peak Gain (dBi) | Overall Dimensions W × L () | 3 dB Gain Bandwidth (%) |
|---|---|---|---|---|
| [7] | 1.58:1 | 6.2 | 0.39 × 0.35 | 44.83 |
| [9] | 2.55:1 | 6.4 | 0.24 × 0.44 | 87.29 |
| [10] | 4.15:1 | 6.69 | Not Given | Not Given |
| [11] | 2.34:1 | 7.17 | 0.37 × 0.62 | 83.87 |
| This work | 5.02:1 | 7.64 | 0.31 × 1.04 | 88.88 |
| Ref. | Ratio Bandwidth | Realized Gain (dBi) | Number of Elements | Dimensions () |
|---|---|---|---|---|
| [14] | 2.98:1 | 4–12 | N.A. | 1.686 × 0.611 × 0.065 |
| [15] * | 4.53:1 | 4.5–10 | 15 | 2.1 × 1.2 × 0.047 |
| [16] | 9.15:1 | 7.2–9.2 | 21 | 1.93 × 0.67 × 0.053 |
| This work | 6.13:1 | 7.15–11.43 | 14 | 1.078 × 0.784 × 0.138 |
© 2019 by the authors. Licensee MDPI, Basel, Switzerland. This article is an open access article distributed under the terms and conditions of the Creative Commons Attribution (CC BY) license (http://creativecommons.org/licenses/by/4.0/).
Share and Cite
Trinh-Van, S.; Kwon, O.H.; Jung, E.; Park, J.; Yu, B.; Kim, K.; Seo, J.; Hwang, K.C. A Low-Profile High-Gain and Wideband Log-Periodic Meandered Dipole Array Antenna with a Cascaded Multi-Section Artificial Magnetic Conductor Structure. Sensors 2019, 19, 4404. https://doi.org/10.3390/s19204404
Trinh-Van S, Kwon OH, Jung E, Park J, Yu B, Kim K, Seo J, Hwang KC. A Low-Profile High-Gain and Wideband Log-Periodic Meandered Dipole Array Antenna with a Cascaded Multi-Section Artificial Magnetic Conductor Structure. Sensors. 2019; 19(20):4404. https://doi.org/10.3390/s19204404
Chicago/Turabian StyleTrinh-Van, Son, Oh Heon Kwon, Euntae Jung, Jinwoo Park, Byunggil Yu, Kichul Kim, Jongwoo Seo, and Keum Cheol Hwang. 2019. "A Low-Profile High-Gain and Wideband Log-Periodic Meandered Dipole Array Antenna with a Cascaded Multi-Section Artificial Magnetic Conductor Structure" Sensors 19, no. 20: 4404. https://doi.org/10.3390/s19204404
APA StyleTrinh-Van, S., Kwon, O. H., Jung, E., Park, J., Yu, B., Kim, K., Seo, J., & Hwang, K. C. (2019). A Low-Profile High-Gain and Wideband Log-Periodic Meandered Dipole Array Antenna with a Cascaded Multi-Section Artificial Magnetic Conductor Structure. Sensors, 19(20), 4404. https://doi.org/10.3390/s19204404

