NUV-Sensitive Silicon Photomultiplier Technologies Developed at Fondazione Bruno Kessler
Abstract
1. Introduction
2. NUV-HD SiPM Technology
2.1. NUV-HD: PDE and Noise
2.2. Operational Limit of SiPM—Divergence of Correlated Noise
2.3. NUV-HD: Timing Performance
3. NUV-HD Low-Crosstalk
- 1.
- Secondary photons can exit the SiPM surface and be guided to other cells by SiPM packaging, for example, protective resin;
- 2.
- DeCT may be not affected;
- 3.
- It has also been hypothesized that secondary photons with longer wavelengths might travel through the bulk and be reflected from the backside, usually metal finish of the detector [24].
4. NUV-HD–Cryo SiPM Technology
4.1. Reduction of DCR at Cryogenic Temperatures
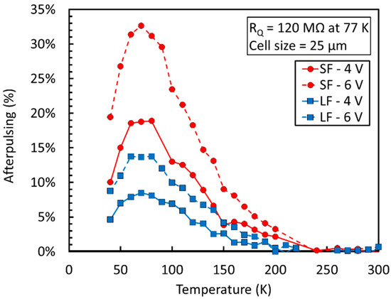
4.2. Reduction of Afterpulsing Probability at Cryogenic Temperatures
4.3. Stability of Quenching Resistor with Temperature
4.4. NUV-HD–Cryo: PDE and Noise
- 1.
- Low electric field inside the junction for reduced DCR;
- 2.
- LowAP split for reduced afterpulsing probability;
- 3.
- Modified quenching resistor with reduced temperature coefficient and further reduced value of 6.5 MOhm at 77 K.
5. VUV-HD SiPM Technology
- Presence of antireflective coating (ARC) not optimized for VUV light detection. Typical ARC consists of a multilayer stack of SiO2 and Si3N4, which minimize light reflection in the visible spectral range. On the other hand, these materials, transparent to the visible light, start to absorb at wavelength <250 nm and <150 nm, for Si3N4 and SiO2, respectively, affecting the external Quantum Efficiency (QE) of the sensor.
- Low penetration depth of VUV photons in silicon. Photons in this spectral range are thus absorbed in the first few nanometers from the front surface, where the generated electron–hole pairs have a high probability to recombine at the highly defective front surface. This effect may strongly affect the collection probability of generated carriers and, thus, the internal QE.
6. Conclusions
Author Contributions
Funding
Acknowledgments
Conflicts of Interest
References
- Gundacker, S.; Auffray, E.; Jarron, P.; Meyer, T.; Lecoq, P. On the comparison of analog and digital SiPM readout in terms of expected timing performance. Nucl. Instrum. Methods Phys. Res. Sect. A 2015, 787, 6–11. [Google Scholar] [CrossRef]
- Piemonte, C.; Acerbi, F.; Ferri, A.; Gola, A.; Paternoster, G.; Regazzoni, V.; Zappala, G.; Zorzi, N. Performance of NUV-HD silicon photomultiplier technology. IEEE Trans. Electron Devices 2016, 63, 1111–1116. [Google Scholar] [CrossRef]
- Single-element MPPCs (SiPMs). Available online: https://www.hamamatsu.com/eu/en/product/optical-sensors/mppc/mppc_single/index.html (accessed on 10 December 2018).
- SiPM. Available online: https://www.ketek.net/sipm/ (accessed on 10 December 2018).
- Silicon Photomultipliers (SiPM). Available online: https://sensl.com/products/ (accessed on 10 December 2018).
- Collazuol, G.; Ambrosi, G.; Boscardin, M.; Corsi, F.; Dalla Betta, G.F.; Del Guerra, A.; Dinu, N.; Galimberti, M.; Giulietti, D.; Gizzi, L.A.; et al. Single photon timing resolution and detection efficiency of the IRST silicon photo-multipliers. Nucl. Instrum. Meth. Phys. Res. Sect. A 2007. [Google Scholar] [CrossRef]
- Gola, A.; Piemonte, C.; Tarolli, A. The DLED algorithm for timing measurements on large area SiPMs coupled to scintillators. IEEE Trans. Nucl. Sci. 2012, 59, 358–365. [Google Scholar] [CrossRef]
- Aalseth, C.E.; Acerbi, F.; Agnes, P.; Albuquerque, I.F.M.; Alexander, T.; Alici, A.; Alton, A.K.; Antonioli, P.; Arcelli, S.; Arnquist, I.J. DarkSide-20k: A 20 tonne two-phase LAr TPC for direct dark matter detection at LNGS. Eur. Phys. J. Plus 2018, 133, 131. [Google Scholar] [CrossRef]
- Ostrovskiy, I.; Retiere, F.; Auty, D.; Dalmasson, J.; Didberidze, T.; DeVoe, R.; Gratta, G.; Huth, L.; James, L.; Ohmart, N.; et al. Characterization of silicon photomultipliers for nEXO. IEEE Trans. Nucl. Sci. 2015, 62, 1825–1836. [Google Scholar] [CrossRef]
- Ambrosi, G.; Ambrosio, M.; Aramo, C.; Bissaldi, E.; Boiano, A.; Bonavolontà, A.; de Lisio, C.; di Venere, L.; Fiandrini, E.; Giordano, F.; et al. Development of a SiPM based camera for Cherenkov Telescope Array. Nucl. Part. Phys. Proc. 2017, 291, 55–58. [Google Scholar] [CrossRef]
- Adams, J.H., Jr.; Anchordoqui, L.A.; Apple, J.A.; Bertaina, M.E.; Christl, M.J.; Fenu, F.; Evgeny, K.; Andrii, N.; Angela, O.; Paul, T.C.; et al. White paper on EUSO-SPB2. arXiv, 2017; arXiv:1703.04513. [Google Scholar]
- Ghioni, M.; Gulinatti, A.; Rech, I.; Zappa, F.; Cova, S. Progress in silicon single-photon avalanche diodes. IEEE J. Sel. Top. Quantum Electron. 2007, 13, 852–862. [Google Scholar] [CrossRef]
- Vinogradov, S.; Arodzero, A.; Lanza, R.C.; Welsch, C.P. SiPM response to long and intense light pulses. Nucl. Instrum. Methods Phys. Res. Sect. A 2015, 787, 148–152. [Google Scholar] [CrossRef]
- Pro, T.; Ferri, A.; Gola, A.; Serra, N.; Tarolli, A.; Zorzi, N.; Piemonte, C. New developments of near-UV SiPMs at FBK. IEEE Trans. Nucl. Sci. 2013, 60, 2247–2253. [Google Scholar] [CrossRef]
- Zappalà, G.; Acerbi, F.; Ferri, A.; Gola, A.; Paternoster, G.; Zorzi, N.; Piemonte, C. Set-up and methods for SiPM Photo-Detection Efficiency measurements. J. Instrum. 2016, 11, P08014. [Google Scholar] [CrossRef]
- LYSO. Available online: https://www.crystals.saint-gobain.com/products/prelude-420-LYSO (accessed on 10 December 2018).
- Nemallapudi, M.V.; Gundacker, S.; Lecoq, P.; Auffray, E.; Ferri, A.; Gola, A.; Piemonte, C. Sub-100 ps coincidence time resolution for positron emission tomography with LSO: Ce codoped with Ca. Phys. Med. Biol. 2015, 60, 4635. [Google Scholar] [CrossRef]
- Piemonte, C.; Ferri, A.; Gola, A.; Picciotto, A.; Pro, T.; Serra, N.; Tarolli, A.; Zorzi, N. Development of an automatic procedure for the characterization of silicon photomultipliers. In Proceedings of the 2012 IEEE Nuclear Science Symposium and Medical Imaging Conference (NSS/MIC), Anaheim, CA, USA, 27 October–3 November 2012; pp. 428–432. [Google Scholar]
- Acerbi, F.; Ferri, A.; Zappala, G.; Paternoster, G.; Picciotto, A.; Gola, A.; Zorzi, N.; Piemonte, C. NUV silicon photomultipliers with high detection efficiency and reduced delayed correlated-noise. IEEE Trans. Nucl. Sci. 2015, 62, 1318–1325. [Google Scholar] [CrossRef]
- Otte, A.N.; Garcia, D.; Nguyen, T.; Purushotham, D. Characterization of three high efficiency and blue sensitive silicon photomultipliers. Nucl. Instrum. Methods Phys. Res. Sect. A 2017, 846, 106–125. [Google Scholar] [CrossRef]
- Corsi, F.; Dragone, A.; Marzocca, C.; Del Guerra, A.; Delizia, P.; Dinu, N.; Piemonte, C.; Boscardin, M.; Dalla Betta, G.F. Modelling a silicon photomultiplier (SiPM) as a signal source for optimum front-end design. Nucl. Instrum. Methods Phys. Res. Sect. A 2007, 572, 416–418. [Google Scholar] [CrossRef]
- Vinogradov, S. Perfomance of Silicon Photomultipliers in photon number and time resolution. In Proceedings of the International Conference on New Photo-Detectors, Moscow, Russia, 6–9 July 2015; Volume 252, p. 002. [Google Scholar]
- Vinogradov, S.; Arodzero, A.; Lanza, R.C. Performance of X-ray detectors with SiPM readout in cargo accelerator-based inspection systems. In Proceedings of the 2013 IEEE Nuclear Science Symposium and Medical Imaging Conference (2013 NSS/MIC), Seoul, Korea, 27 October–2 November 2013; pp. 1–6. [Google Scholar]
- Rech, I.; Ingargiola, A.; Spinelli, R.; Labanca, I.; Marangoni, S.; Ghioni, M.; Cova, S. Optical crosstalk in single photon avalanche diode arrays: A new complete model. Opt. Express 2008, 16, 8381–8394. [Google Scholar] [CrossRef]
- Gola, A.; Ferri, A.; Tarolli, A.; Zorzi, N.; Piemonte, C. SiPM optical crosstalk amplification due to scintillator crystal: Effects on timing performance. Phys. Med. Biol. 2014, 59, 3615. [Google Scholar] [CrossRef]
- Ferri, A.; Gola, A.; Serra, N.; Tarolli, A.; Zorzi, N.; Piemonte, C. Performance of FBK high-density SiPM technology coupled to Ce: LYSO and Ce: GAGG for TOF-PET. Phys. Med. Biol. 2014, 59, 869. [Google Scholar] [CrossRef] [PubMed]
- Moses, W.W. Recent advances and future advances in time-of-flight PET. Nucl. Instrum. Methods Phys. Res. Sect. A 2007, 580, 919–924. [Google Scholar] [CrossRef]
- Kwon, S.I.; Gola, A.; Ferri, A.; Piemonte, C.; Cherry, S.R. Bismuth germanate coupled to near ultraviolet silicon photomultipliers for time-of-flight PET. Phys. Med. Biol. 2016, 61, L38. [Google Scholar] [CrossRef] [PubMed]
- Actis, M.; Agnetta, G.; Aharonian, F.; Akhperjanian, A.; Aleksić, J.; Aliu, E.; Allan, D.; Allekotte, I.; Antico, F.; Antoranz, P.; et al. Design concepts for the Cherenkov Telescope Array CTA: An advanced facility for ground-based high-energy gamma-ray astronomy. Exp. Astron. 2011, 32, 193–316. [Google Scholar] [CrossRef]
- Bonardi, A.; Pühlhofer, G.; Hermanutz, S.; Santangelo, A. A new solution for mirror coating in γ-ray Cherenkov astronomy. Exp. Astron. 2014, 38, 1–9. [Google Scholar] [CrossRef]
- Vinogradov, S. Analytical models of probability distribution and excess noise factor of solid state photomultiplier signals with crosstalk. Nucl. Instrum. Methods Phys. Res. Sect. A 2012, 695, 247–251. [Google Scholar] [CrossRef]
- Bonanno, G.; Marano, D.; Romeo, G.; Garozzo, S.; Grillo, A.; Timpanaro, M.C.; Catalano, O.; Giarrusso, S.; Impiombato, D.; La Rosa, G.; et al. Advances in multi-pixel photon counter technology: First characterization results. Nucl. Instrum. Methods Phys. Res. Sect. A 2016, 806, 383–394. [Google Scholar] [CrossRef]
- Cattaneo, P.W.; De Gerone, M.; Gatti, F.; Nishimura, M.; Ootani, W.; Rossella, M.; Uchiyama, Y. Development of high precision timing counter based on plastic scintillator with SiPM readout. IEEE Trans. Nucl. Sci. 2014, 61, 2657–2666. [Google Scholar] [CrossRef]
- D’Incecco, M.; Galbiati, C.; Giovanetti, G.K.; Korga, G.; Li, X.; Mandarano, A.; Razeto, A.; Sablone, D.; Savarese, C. Development of a novel single-channel, 24 cm 2, SiPM-based, cryogenic photodetector. IEEE Trans. Nucl. Sci. 2018, 65, 591–596. [Google Scholar] [CrossRef]
- Agnes, P.; Alexander, T.; Alton, A.; Arisaka, K.; Back, H.O.; Baldin, B.; Biery, K.; Bonfini, G.; Bossa, M.; Brigatti, A.; et al. First results from the DarkSide-50 dark matter experiment at Laboratori Nazionali del Gran Sasso. Phys. Lett. B 2015, 743, 456–466. [Google Scholar] [CrossRef]
- Acerbi, F.; Davini, S.; Ferri, A.; Galbiati, C.; Giovanetti, G.; Gola, A.; Korga, G.; Mandarano, A.; Marcante, M.; Piemonte, C.; et al. Cryogenic characterization of FBK HD near-UV sensitive SiPMs. IEEE Trans. Electron Devices 2017, 64, 521–526. [Google Scholar] [CrossRef]
- Sze, S.M.; Ng, K.K. Physics of Semiconductor Devices; John Wiley & Sons: Hoboken, NJ, USA, 2006. [Google Scholar]
- Ianni, A.; Lombardi, P.; Ranucci, G.; Smirnov, O.J. The measurements of 2200 ETL9351 type photomultipliers for the Borexino experiment with the photomultiplier testing facility at LNGS. Nucl. Instrum. Methods Phys. Res. A 2005, 537, 683–697. [Google Scholar] [CrossRef]
- D’Incecco, M.; Galbiati, C.; Giovanetti, G.K.; Korga, G.; Li, X.; Mandarano, A.; Razeto, A.; Sablone, D.; Savarese, C. Development of a Very Low-Noise Cryogenic Preamplifier for Large-Area SiPM Devices. IEEE Trans. Nucl. Sci. 2018, 65, 1005–1011. [Google Scholar] [CrossRef]
- Cova, S.; Ghioni, M.; Lacaita, A.; Samori, C.; Zappa, F. Avalanche photodiodes and quenching circuits for single-photon detection. Appl. Opt. 1996, 35, 1956–1976. [Google Scholar] [CrossRef] [PubMed]
- Jamil, A.; Ziegler, T.; Hufschmidt, P.; Li, G.; Lupin-Jimenez, L.; Michel, T.; Ostrovskiy, I.; Retiere, F.; Schneider, J.; Albert, J.B.; et al. VUV-sensitive Silicon Photomultipliers for Xenon Scintillation Light Detection in nEXO. arXiv, 2018; arXiv:1806.02220. [Google Scholar] [CrossRef]
- Acerbi, F.; Gola, A.; Regazzoni, V.; Paternoster, G.; Borghi, G.; Piemonte, C.; Zorzi, N. Ultra-high cell-density silicon photomultipliers with high detection efficiency. In Advanced Photon Counting Techniques XI; International Society for Optics and Photonics: Anaheim, CA, USA, 2017; Volume 10212, p. 102120I. [Google Scholar]

























| NUV-HD | NUV-HD–Cryo | |||
|---|---|---|---|---|
| 293 K | 77 K | 293 K | 77 K | |
| Breakdown Voltage (VBD) | 26.5 V | 21.5 V | 32.8 V | 27.1 V |
| VBD temperature coefficient | 27 mV/°C | 20 mV/°C | 35 mV/°C | 21 mV/°C |
| DCR (5 V) | 100 kHz/mm2 | 0.2 Hz/mm2 | 100 kHz/mm2 | 2 mHz/mm2 |
| Quenching resistor | 1.9 MΩ | 120 MΩ | 1.6 MΩ | 6.5 MΩ |
| CT probability (5 V) | 20% | 16% | 9% | 13% |
| AP probability (5 V) | <1% | 25% | <1% | 12% |
| OVmax | 12 V | 8 V | 25 V | 20 V |
| Recharge time constant | 80 ns | 3.5 µs | 65 ns | 270 ns |
| Peak PDE (5 V, 410 nm) | 48% | - | 37% | - |
© 2019 by the authors. Licensee MDPI, Basel, Switzerland. This article is an open access article distributed under the terms and conditions of the Creative Commons Attribution (CC BY) license (http://creativecommons.org/licenses/by/4.0/).
Share and Cite
Gola, A.; Acerbi, F.; Capasso, M.; Marcante, M.; Mazzi, A.; Paternoster, G.; Piemonte, C.; Regazzoni, V.; Zorzi, N. NUV-Sensitive Silicon Photomultiplier Technologies Developed at Fondazione Bruno Kessler. Sensors 2019, 19, 308. https://doi.org/10.3390/s19020308
Gola A, Acerbi F, Capasso M, Marcante M, Mazzi A, Paternoster G, Piemonte C, Regazzoni V, Zorzi N. NUV-Sensitive Silicon Photomultiplier Technologies Developed at Fondazione Bruno Kessler. Sensors. 2019; 19(2):308. https://doi.org/10.3390/s19020308
Chicago/Turabian StyleGola, Alberto, Fabio Acerbi, Massimo Capasso, Marco Marcante, Alberto Mazzi, Giovanni Paternoster, Claudio Piemonte, Veronica Regazzoni, and Nicola Zorzi. 2019. "NUV-Sensitive Silicon Photomultiplier Technologies Developed at Fondazione Bruno Kessler" Sensors 19, no. 2: 308. https://doi.org/10.3390/s19020308
APA StyleGola, A., Acerbi, F., Capasso, M., Marcante, M., Mazzi, A., Paternoster, G., Piemonte, C., Regazzoni, V., & Zorzi, N. (2019). NUV-Sensitive Silicon Photomultiplier Technologies Developed at Fondazione Bruno Kessler. Sensors, 19(2), 308. https://doi.org/10.3390/s19020308

