Spatial Retrieval of Broadband Dielectric Spectra
Abstract
1. Introduction
- (i)
- Bulk HF-EM properties of the volume fractions (solid particles, air, aqueous pore solution),
- (ii)
- Geometrical properties of the bulk phases (particle shape, pore size distribution),
- (iii)
- Mobility of charges in the pore network (extra and intra-aggregate porosity) from nm–μm and
- (iv)
- Interactions between the aqueous pore solution and mineral phases due to interface effects.
2. Materials and Methods
2.1. Transmission Line Forward Model
2.2. Broadband Constitutive EM Model
2.3. Retrieval Approach
2.3.1. Inverse Parameter Estimation
2.3.2. Uncertainty Estimation
2.4. Experiments
2.4.1. Experiment 1: Coaxial Cell Measurements with Constant Permittivity
2.4.2. Experiment 2: Synthetic Data with Dispersive Permittivity
- (i)
- Saturation of a dike body during a flood event from bottom or infiltration by rain from the top. In such a case, the water saturation is the key parameter because porosity is constant.
- (ii)
- Salinization through groundwater intrusion in a coastal aquifer or usage of saline water in tracer tests. A high salt concentration leads to a high direct current electrical conductivity and therefore influences electrical losses, as well as losses due to interactions between the pore solution and solid particles (e.g., Maxwell–Wagner effect).
- (iii)
- The temporal hydraulic sealing of a top sandy soil layer by sedimentation of silt and clay fractions in the pore space. In such a case, porosity is reduced during the sedimentation, and the top layer of reduced becomes thicker.
- (iv)
- The temporal hydraulic sealing of an aquifer under saturated conditions caused by sedimentation from silt and clay fractions during streaming of the pore space such as an infiltration or flooding. Even in saturated soil with its high EM attenuation, the temporal evolution of porosity can be estimated.
3. Results and Discussion
3.1. Coaxial Cell Results
3.2. Synthetic Data Results
4. Conclusions
Author Contributions
Funding
Conflicts of Interest
Abbreviations
| Con | Convergence |
| CRIM | Complex Refractive Index Model |
| DUT | Device Under Test |
| EM | Electromagnetic |
| FD | Frequency Domain |
| GPR | Ground Penetrating Radar |
| GR | Gelman–Rubin criterion |
| HF | High Frequency |
| MCMC | Monte Carlo Markov Chain |
| PTFE | Polytetrafluorethylene |
| SCE | Shuffled Complex Evolution |
| SOLT | Short, Open, Load, Thru |
| TD | Time Domain |
| TDR | Time Domain Reflectometry |
| TEM | Transverse Electromagnetic |
| TRL | Thru, Reflect, Line |
| Uncert | Uncertainty Range |
| VNA | Vector Network Analyzer |
Appendix A
) and retrieved layer properties (
) for all four setups.
| Setup (i) | Setup (ii) | Setup (iii) | Setup (iv) | ||||||||||||||
|---|---|---|---|---|---|---|---|---|---|---|---|---|---|---|---|---|---|
| Layer | Parameter | Model | Fit | Uncert. | Con. | Model | Fit | Uncert. | Con. | Model | Fit | Uncert. | Con. | Model | Fit | Uncert. | Con. |
| 3.0 × 10 | 3.08 × 10 | 7.6 × 10 | 4 × 10 | 4 × 10 | 2.7 × 10 | 2 × 10 | 1.1 × 10 | 1.12 × 10 | No | 1 | 1 | 6.57 × 10 | |||||
| 1 × 10 | 1.01 × 10 | 1.1 × 10 | 3 × 10 | 3 × 10 | 9.2 × 10 | 1 × 10 | 4.8 × 10 | 2.84 × 10 | No | 1 | 1 | 5.46 × 10 | |||||
| in | 5 × 10 | 4.89 × 10 | 4.62 × 10 | 3 × 10 | 3 × 10 | 2 × 10 | 3 × 10 | 3.5 × 10 | 3.95 × 10 | 3 × 10 | 3 × 10 | 7.08 × 10 | |||||
| 2.5 × 10 | 2.5 × 10 | 3.56 × 10 | 4.5 × 10 | 4.5 × 10 | 1.9 × 10 | 5 × 10 | 4.89 × 10 | 1.9 × 10 | 3.5 × 10 | 3.5 × 10 | 3.61 × 10 | ||||||
| in m | 5 × 10 | 5 × 10 | 1.12 × 10 | 9 × 10 | 9 × 10 | 3.8 × 10 | 1 × 10 | 1 × 10 | 3.8 × 10 | 7 × 10 | 7 × 10 | 7.22 × 10 | |||||
| 3 × 10 | 3.03 × 10 | 1.6 × 10 | No | 4 × 10 | 4 × 10 | 5.4 × 10 | No | 4.5 × 10 | 4.7 × 10 | 1 × 10 | 2 × 10 | 2.06 × 10 | 7.8 × 10 | No | |||
| 5 × 10 | 4.97 × 10 | 1.63 × 10 | No | 1 | 1 | 1 × 10 | No | 1 × 10 | 1 × 10 | 1.3 × 10 | 1 | 9.83 × 10 | 5.37 × 10 | No | |||
| in | 3 × 10 | 2.96 × 10 | 7.8 × 10 | No | 3 × 10 | 3 × 10 | 7.5 × 10 | No | 5 × 10 | 5.4 × 10 | 9.6 × 10 | 3 × 10 | 2.9 × 10 | 9.6 × 10 | |||
| 5 × 10 | 5 × 10 | 1.9 × 10 | 8.5 × 10 | 8.5 × 10 | 8.4 × 10 | 5 × 10 | 5 × 10 | 6.61 × 10 | 4 × 10 | 4 × 10 | 4 × 10 | ||||||
| in m | 5 × 10 | 5 × 10 | 3.8 × 10 | 8 × 10 | 8 × 10 | 3.8 × 10 | 9 × 10 | 9 × 10 | 1.3 × 10 | 1 × 10 | 1 × 10 | 8 × 10 | |||||
| 3 × 10 | 3.04 × 10 | 3.8 × 10 | No | 4 × 10 | 4 × 10 | 6 × 10 | No | 4.5 × 10 | 4.5 × 10 | 1.81 × 10 | No | 4.5 × 10 | 4.5 × 10 | 5.26 × 10 | No | ||
| 1 | 1 | 1.6 × 10 | No | 1 | 1 | 1.2 × 10 | No | 1 | 1 | 4.11 × 10 | No | 1 | 1 | 1.4 × 10 | No | ||
| in | 3 × 10 | 3 × 10 | 1.6 × 10 | 5 | 5 | 1.2 × 10 | No | 3 × 10 | 3 × 10 | 2.5 × 10 | No | 1 × 10 | 1 × 10 | 5.66 × 10 | |||
| 1 | Fixed | - | 1 | Fixed | - | 1 | Fixed | - | 1 | Fixed | - | ||||||
| in m | 1 | Fixed | - | 3 × 10 | Fixed | - | 1 | Fixed | - | 1.2 | Fixed | - | |||||
References
- Schmugge, T.; Gloersen, P.; Wilheit, T.; Geiger, F. Remote sensing of soil moisture with microwave radiometers. J. Geophys. Res. 1974, 79, 317–323. [Google Scholar] [CrossRef]
- Njoku, E.G.; Kong, J.A. Theory for passive microwave remote sensing of near-surface soil moisture. J. Geophys. Res. 1977, 82, 3108–3118. [Google Scholar] [CrossRef]
- Wang, J.; Choudhury, B. Remote sensing of soil moisture content, over bare field at 1.4 GHz frequency. J. Geophys. Res. 1981, 86, 5277–5282. [Google Scholar] [CrossRef]
- Campbell, B. Radar Remote Sensing of Planetary Surfaces; Cambridge University Press: Cambridge, UK, 2002. [Google Scholar]
- Mätzler, C. Thermal Microwave Radiation: Applications for Remote Sensing; IET Electromagnetic Wave Series; The Institution of Electrical Engineers: London, UK, 2006; Volume 52. [Google Scholar]
- Behari, J. Microwave Dielectric Behaviour of Wet Soils; Springer: Berlin, Germany, 2005. [Google Scholar]
- Panciera, R.; Walker, J.P.; Jackson, T.J.; Gray, D.A.; Tanase, M.A.; Ryu, D.; Monerris, A.; Yardley, H.; Rüdiger, C.; Wu, X.; et al. The soil moisture active passive experiments (SMAPEX): Toward soil moisture retrieval from the SMAP mission. IEEE Trans. Geosci. Remote Sens. 2014, 52, 490–507. [Google Scholar] [CrossRef]
- Annan, A.P.; Waller, W.M.; Strangway, D.W.; Rossiter, J.R.; Redman, J.D.; Watts, R.D. The electromagnetic response of a low-loss, 2-layer, dielectric earth for horizontal electric dipole excitation. Geophysics 1975, 40, 285–298. [Google Scholar] [CrossRef]
- Davis, J.; Annan, A. Ground-penetrating radar for high-resolution mapping of soil and rock stratigraphy. Geophys. Prospect. 1989, 37, 531–551. [Google Scholar] [CrossRef]
- Daniels, D.J. Ground Penetrating Radar; IET Radar, Sonar, Navigation and Avionics Series; The Institution of Electrical Engineers: London, UK, 2004; Volume 15. [Google Scholar]
- Huisman, J.A.; Hubbarda, S.S.; Redman, J.D.; Annan, A.P. Measuring soil water content with ground penetrating radar: A review. Vadose Zone J. 2003, 2, 476–491. [Google Scholar] [CrossRef]
- Jol, H.M. Ground Penetrating Radar: Theory and Applications; Elsevier: New York, NY, USA, 2009. [Google Scholar]
- Huisman, J.; Rings, J.; Vrugt, J.; Sorg, J.; Vereecken, H. Hydraulic properties of a model dike from coupled bayesian and multi-criteria hydrogeophysical inversion. J. Hydrol. 2010, 380, 62–73. [Google Scholar] [CrossRef]
- Ulaby, F.T.; Moore, R.K.; Fung, A.K. Microwave Remote Sensing: Active and Passive; Kansas University/NASA: Lawrence, KS, USA, 1981. [Google Scholar]
- Schoen, J.H. Physical Properties of Rocks: Fundamentals and Principles of Petrophysics; Elsevier: New York, NY, USA, 2015. [Google Scholar]
- Hoekstra, P.; Delaney, A. Dielectric properties of soils at UHF and microwave frequencies. J. Geophys. Res. 1974, 79, 1699–1708. [Google Scholar] [CrossRef]
- Rubin, Y.; Hubbard, S.S. Hydrogeophysics; Springer: Berlin, Germany, 2006; Volume 50. [Google Scholar]
- Kirsch, R. Groundwater Geophysics, A Tool for Hydrogeology; Springer: Berlin, Germany, 2006. [Google Scholar]
- Al-Yaari, A.; Wigneron, J.P.; Kerr, Y.; Rodriguez-Fernandez, N.; O’Neill, P.; Jackson, T.; De Lannoy, G.; Al Bitar, A.; Mialon, A.; Richaume, P.; et al. Evaluating soil moisture retrievals from ESA’s SMOS and NASA’s SMAP brightness temperature datasets. Remote Sens. Environ. 2017, 193, 257–273. [Google Scholar] [CrossRef] [PubMed]
- Topp, G.C.; Davis, J.L.; Annan, A. Electromagnetic determination of soil water content: Measurement in coaxial transmission lines. Water Resour. Res. 1980, 16, 574–582. [Google Scholar] [CrossRef]
- Robinson, D.A.; Campbell, C.S.; Hopmans, J.W.; Hornbuckle, B.K.; Jones, S.B.; Knight, R.; Ogden, F.; Selker, J.; Wendroth, O. Soil moisture measurement for ecological and hydrological watershed-scale observatories: A review. Vadose Zone J. 2008, 7, 358–389. [Google Scholar] [CrossRef]
- Robinson, D.A.; Jones, S.B.; Wraith, J.M.; Or, D.; Friedman, S.P. A review of advances in dielectric and electrical conductivity measurement in soils using time domain reflectometry. Vadose Zone J. 2003, 2, 444–475. [Google Scholar] [CrossRef]
- Scheuermann, A.; Huebner, C.; Schlaeger, S.; Wagner, N.; Becker, R.; Bieberstein, A. Spatial time domain reflectometry and its application for the measurement of water content distributions along flat ribbon cables in a full-scale levee model. Water Resour. Res. 2009, 45, W00D24. [Google Scholar] [CrossRef]
- Cosh, M.H.; Ochsner, T.E.; McKee, L.; Dong, J.; Basara, J.B.; Evett, S.R.; Hatch, C.E.; Small, E.E.; Steele-Dunne, S.C.; Zreda, M.; et al. The soil moisture active passive Marena, Oklahoma, in situ sensor testbed (SMAP-MOISST): Testbed design and evaluation of in situ sensors. Vadose Zone J. 2016, 15. [Google Scholar] [CrossRef]
- Wagner, N.; Emmerich, K.; Bonitz, F.; Kupfer, K. Experimental investigations on the frequency and temperature dependent dielectric material properties of soil. IEEE Trans. Geosci. Remote Sens. 2011, 49, 2518–2530. [Google Scholar] [CrossRef]
- Wagner, N.; Scheuermann, A. On the relationship between matric potential and dielectric properties of organic free soils: A sensitivity study. Can. Geotech. J. 2009, 46, 1202–1215. [Google Scholar] [CrossRef]
- Revil, A. Effective conductivity and permittivity of unsaturated porous materials in the frequency range 1 mHz to 1 GHz. Water Resour. Res. 2013, 49, 306–327. [Google Scholar] [CrossRef] [PubMed]
- Heimovaara, T.J. Frequency domain analysis of time domain reflectometry waveforms: 1. Measurement of the complex dielectric permittivity of soils. Water Resour. Res. 1994, 30, 189–199. [Google Scholar] [CrossRef]
- Heimovaara, T.; Huisman, J.A.; Vrugt, A.; Bouten, W. Obtaining the spatial Distribution of Water Content along a TDR Probe Using the SCEM-UA Bayesian Inverse Modeling Scheme. Vadose Zone J. 2004, 3, 1128–1145. [Google Scholar] [CrossRef]
- Schlaeger, S. A fast TDR-inversion technique for the reconstruction of spatial soil moisture content. Hydrol. Earth Syst. Sci. 2005, 9, 481–492. [Google Scholar] [CrossRef]
- Leidenberger, P.; Oswald, B.; Roth, K. Efficient reconstruction of dispersive dielectric profiles using time domain reflectometry (TDR). Hydrol. Earth Syst. Sci. 2006, 10, 1449–1502. [Google Scholar] [CrossRef]
- Huebner, C.; Kupfer, K. Modelling of electromagnetic wave propagation along transmission lines in inhomogeneous media. Meas. Sci. Technol. 2007, 18, 1147–1154. [Google Scholar] [CrossRef]
- Lundstedt, J.; Norgren, M. Comparison between Frequency Domain and Time Domain Methods for Parameter Reconstruction on Nonuniform Dispersive Transmission Lines. Prog. Electromagn. Res. 2003, 43, 1–37. [Google Scholar] [CrossRef]
- Oswald, B.; Benedickter, H.R.; Baechtold, W.; Fluehler, H. Spatially resolved water content profiles from inverted time domain reflectometry signals. Water Resour. Res. 2003, 39. [Google Scholar] [CrossRef]
- Scheuermann, A.; Huebner, C.; Wienbroer, H.; Rebstock, D.; Huber, G. Fast time domain reflectometry (TDR) measurement approach for investigating the liquefaction of soils. Meas. Sci. Technol. 2010, 21, 025104. [Google Scholar] [CrossRef]
- Todoroff, P.; Luk, J.D.L. Calculation of in situ soil water content profiles from TDR signal traces. Meas. Sci. Technol. 2001, 12, 27–36. [Google Scholar] [CrossRef]
- Huisman, J.A.; Bouten, W.; Vrugt, J.A.; Ferre, P.A. Accuracy of frequency domain analysis scenarios for the determination of complex dielectric permittivity. Water Resour. Res. 2004, 40, W02401. [Google Scholar] [CrossRef]
- Oldham, K.B.; Spanier, J. The Fractional Calculus; Academic Press: Cambridge, MA, USA, 1974. [Google Scholar]
- Hilfer, R. Applications of Fractional Calculus in Physics; World Scientific: Singapore, 2000. [Google Scholar]
- Hilfer, R. H-function representations for stretched exponential relaxation and non-Debye susceptibilities in glassy systems. Phys. Rev. E 2002, 65, 061510. [Google Scholar] [CrossRef] [PubMed]
- Hilfer, R. Analytical representations for relaxation functions of glasses. J. Non-Cryst. Solids 2002, 305, 122–126. [Google Scholar] [CrossRef]
- Hilfer, R. Fitting the excess wing in the dielectric relaxation of propylene carbonate. J. Phys. Condens. Matter 2002, 14, 2297–2301. [Google Scholar] [CrossRef]
- Tarasov, V.E. Fractional Dynamics; Nonlinear Physical Science Series; Springer: Berlin, Germany, 2010; Volume 7. [Google Scholar]
- Bore, T.; Wagner, N.; Delepine Lesoille, S.; Taillade, F.; Six, G.; Daout, F.; Placko, D. Error Analysis of Clay-Rock Water Content Estimation with Broadband High-Frequency Electromagnetic Sensors—Air Gap Effect. Sensors 2016, 16, 554. [Google Scholar] [CrossRef] [PubMed]
- Schmidt, F.; Wagner, N.; Mai, J.; Lünenschloß, P.; Töpfer, H.; Bumberger, J. Dielectric Spectra Reconstruction of Layered Multi-Phase Soil. In Proceedings of the 12th International Conference on Electromagnetic Wave Interaction with Water and Moist Substances (ISEMA), Lublin, Poland, 4–7 June 2018; pp. 106–109. [Google Scholar]
- Lauer, K.; Wagner, N.; Felix-Henningsen, P. A new technique for measuring broadband dielectric spectra of undisturbed soil samples. Eur. J. Soil Sci. 2012, 63, 224–238. [Google Scholar] [CrossRef]
- Wagner, N.; Bore, T.; Robinet, J.C.; Coelho, D.; Taillade, F.; Delepine-Lesoille, S. Dielectric relaxation behavior of callovo-oxfordian clay rock: A hydraulic-mechanical-electromagnetic coupling approach. J. Geophys. Res. Solid Earth 2013, 18, 4729–4744. [Google Scholar] [CrossRef]
- Chen, Y.; Or, D. Effects of Maxwell-Wagner polarization on soil complex dielectric permittivity under variable temperature and electrical conductivity. Water Resour. Res. 2006, 42, W06424. [Google Scholar] [CrossRef]
- Chen, Y.; Or, D. Geometrical factors and interfacial processes affecting complex dielectric permittivity of partially saturated porous media. Water Resour. Res. 2006, 42, W06423. [Google Scholar] [CrossRef]
- Wagner, N.; Loewer, M. A broadband 3D numerical FEM study on the characterization of dielectric relaxation processes in soils. In Proceedings of the 10th International Conference on Electromagnetic Wave Interaction with Water and Moist Substances (ISEMA), Weimar, Germany, 25–27 September 2013; pp. 231–241. [Google Scholar]
- Schwing, M.; Wagner, N.; Karlovsek, J.; Chen, Z.; Williams, D.J.; Scheuermann, A. Radio to microwave dielectric characterisation of constitutive electromagnetic soil properties using vector network analyses. J. Geophys. Eng. 2016, 13, S28. [Google Scholar] [CrossRef]
- Gorriti, A.G.; Slob, E.C. Comparison of the Different Reconstruction Techniques of Permittivity from S-Parameters. IEEE Trans. Geosci. Remote Sens. 2005, 43, 2051–2057. [Google Scholar] [CrossRef]
- Zhang, K.; Li, D. Electromagnetic Theory for Microwaves and Optoelectronics; Springer: Berlin, Germany, 2008. [Google Scholar]
- Sihvola, A.H. Electromagnetic Mixing Formulas and Applications; Electromagnetic Wave Series; The Institution of Electrical Engineers: London, UK, 1999. [Google Scholar]
- Hasted, J.B. Aqueous Dielectrics; Chapman & Hall: London, UK, 1973. [Google Scholar]
- Ellison, W.J.; Lamkaouchi, K.; Moreau, J.M. Water: A dielectric reference. J. Mol. Liq. 1996, 68, 171–279. [Google Scholar] [CrossRef]
- Feldman, Y.; Puzenko, A.; Ishai, P.B. The State of Water in Complex Materials. In Proceedings of the 9th International Conference on Electromagnetic Wave Interaction with Water and Moist Substances (ISEMA), Kansas City, MO, USA, 31 May–3 June 2011; pp. 79–86. [Google Scholar]
- Popov, I.; Ishai, P.B.; Khamzin, A.; Feldman, Y. The mechanism of the dielectric relaxation in water. Phys. Chem. Chem. Phys. 2016, 18, 13941–13953. [Google Scholar] [CrossRef] [PubMed]
- Duan, Q.; Sorooshian, S.; Gupta, V. Effective and efficient global optimization for conceptual rainfall-runoff models. Water Resour. Res. 1992, 28, 1015–1031. [Google Scholar] [CrossRef]
- Behrangi, A.; Khakbaz, B.; Vrugt, J.A.; Duan, Q.; Sorooshian, S. Comment on “dynamically dimensioned search algorithm for computationally efficient watershed model calibration” by Bryan A. T. and Christine A. S. Water Resour. Res. 2008, 44, W12603. [Google Scholar] [CrossRef]
- Kirkpatrick, S.; Gelatt, C.D.; Vecchi, M.P. Optimization by simulated annealing. Science 1983, 220, 671–680. [Google Scholar] [CrossRef] [PubMed]
- Tolson, B.A.; Shoemaker, C.A. Dynamically dimensioned search algorithm for computationally efficient watershed model calibration. Water Resour. Res. 2007, 43, W01413. [Google Scholar] [CrossRef]
- Gelman, A.; Carlin, J.B.; Stern, H.S.; Dunson, D.B.; Vehtari, A.; Rubin, D.B. Bayesian Data Analysis; Chapman & Hall/CRC Texts in Statistical Science; Chapman and Hall/CRC: London, UK, 2013. [Google Scholar]
- Tautenhahn, S.; Heilmeier, H.; Jung, M.; Kahl, A.; Kattge, J.; Moffat, A.; Wirth, C. Beyond distance-invariant survival in inverse recruitment modeling: A case study in Siberian Pinus sylvestris forests. Ecol. Model. 2012, 233, 90–103. [Google Scholar] [CrossRef]
- Kupfer, K.; Bieberstein, A.; Scheuermann, A.; Wagner, N.; Schlaeger, S.; Becker, R.; Huebner, C. Assessment and prediction of the stability of river dykes by monitoring using Time Domain Reflectometry (TDR). Technical Report (Grant Agreement BMBF 02WH0487, 02WH0479). 2009. (In German) [Google Scholar]
- Engen, G.F.; Hoer, C.A. Thru-Reflect-Line: An Improved Technique for Calibrating the Dual Six-Port Automatic Network Analyzer. IEEE Trans. Microw. Theory Tech. 1979, 27, 987–993. [Google Scholar] [CrossRef]
- Lewandowski, A.; Szypłowska, A.; Kafarski, M.; Wilczek, A.; Barmuta, P.; Skierucha, W. 0.05–3 GHz VNA characterization of soil dielectric properties based on the multiline TRL calibration. Meas. Sci. Technol. 2017, 28, 024007. [Google Scholar] [CrossRef]
- Ellison, W. Permittivity of pure water, at standard atmospheric pressure, over the frequency range 0–25 THz and the temperature range 0–100 °C. J. Phys. Chem. Ref. Data 2007, 36, 1–18. [Google Scholar] [CrossRef]
- Wagner, N.; Schwing, M.; Scheuermann, A. Numerical 3-D FEM and Experimental Analysis of the Open-Ended Coaxial Line Technique for Microwave Dielectric Spectroscopy on Soil. IEEE Trans. Geosci. Remote Sens. 2014, 52, 880–893. [Google Scholar] [CrossRef]
- Minet, J.; Lambot, S.; Delaide, G.; Huisman, J.A.; Vereecken, H.; Vanclooster, M. A generalized frequency domain reflectometry modeling technique for soil electrical properties determination. Vadose Zone J. 2010, 9, 1063–1072. [Google Scholar] [CrossRef]



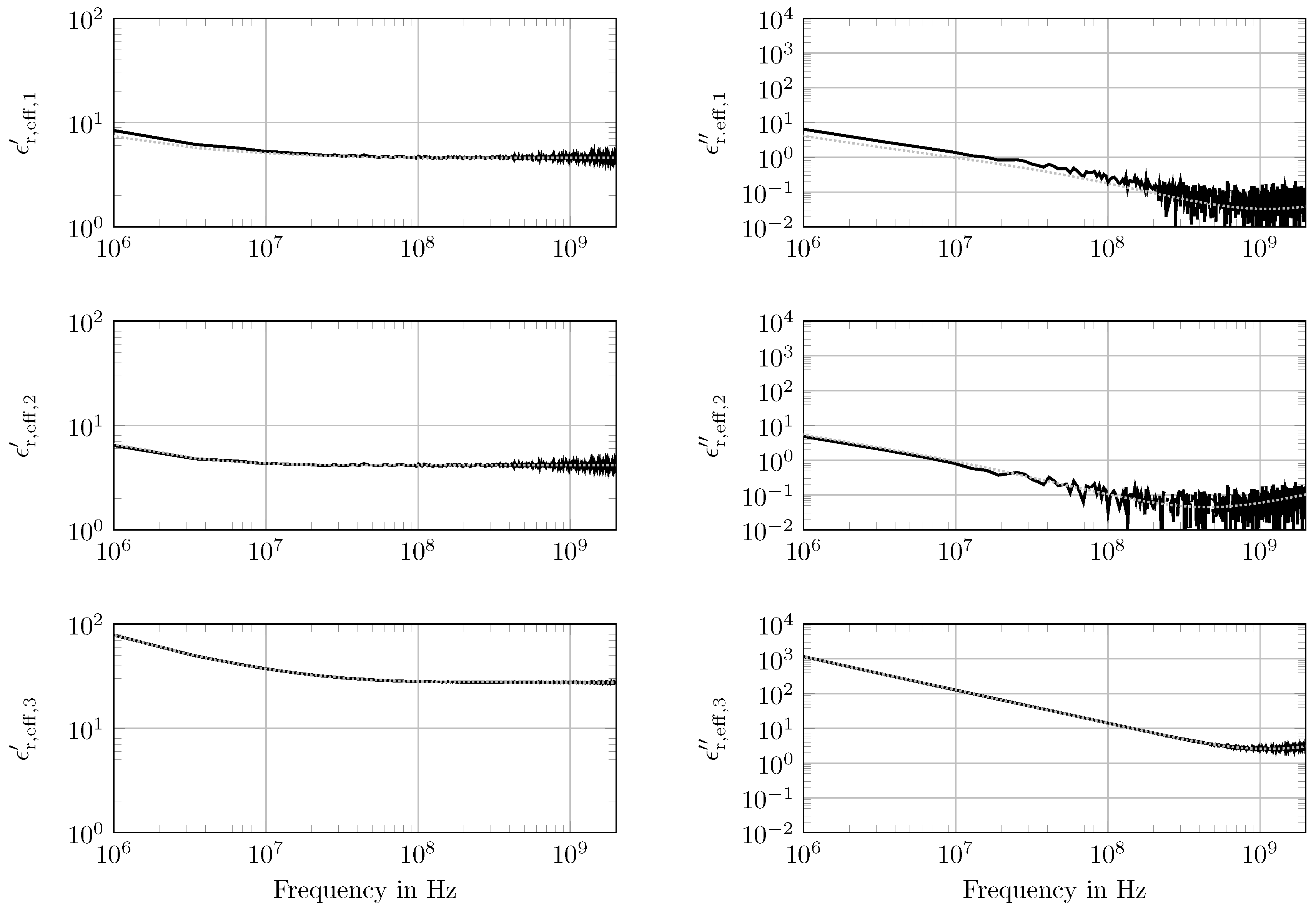
) measured with the coaxial cell (three-layered setup: 50 mm PTFE, 100 mm air, 50 mm PTFE) and the corresponding fit (
).
) measured with the coaxial cell (three-layered setup: 50 mm PTFE, 100 mm air, 50 mm PTFE) and the corresponding fit (
).
) of the three-layered setup (iii) and the corresponding fit (
). The resulting noise within the synthetic S-parameters together are added to the synthetically-generated spectral -parameters on each layer.
) of the three-layered setup (iii) and the corresponding fit (
). The resulting noise within the synthetic S-parameters together are added to the synthetically-generated spectral -parameters on each layer.
) and the retrieved broadband dielectric spectra (
).
) and the retrieved broadband dielectric spectra (
).

| Layer | Material | Thickness | Fraction |
|---|---|---|---|
| PTFE | 50 mm | 0.25 | |
| Air | 100 mm | 0.75 | |
| PTFE | 50 mm | 1 |
| Setup | Layer | Description | |||||
|---|---|---|---|---|---|---|---|
| (i) | Dry | 0.5 m | 0.25 | 0.3 | 0.1 | 0.05 S m−1 | |
| Partly saturated with tap water | 0.5 m | 0.5 | 0.3 | 0.5 | 0.3 S m−1 | ||
| Saturated with tap water | 1 m | 1 | 0.3 | 1 | 0.3 S m−1 | ||
| (ii) | Partly saturated with tap water | 0.9 m | 0.45 | 0.4 | 0.3 | 0.3 S m−1 | |
| Saturated with tap water | 0.8 m | 0.85 | 0.4 | 0.1 | 0.3 S m−1 | ||
| Saturated with sea water | 0.3 m | 1 | 0.4 | 1 | 1 S m−1 | ||
| (iii) | Dry clay | 0.1 m | 0.05 | 0.2 | 0.1 | 0.3 S m−1 | |
| Dry sand | 0.9 m | 0.5 | 0.45 | 0.1 | 0.05 S m−1 | ||
| Saturated sand with tap water | 1 | 1 | 0.45 | 1 | 0.3 S m−1 | ||
| (iv) | Stream water | 0.7 m | 0.35 | 1 | 1 | 0.3 S m−1 | |
| Saturated sand with sedimentation | 0.1 m | 0.4 | 0.2 | 1 | 0.3 S m−1 | ||
| Saturated sand with water | 1.2 m | 1 | 0.45 | 1 | 0.1 S m−1 |
| Layer | Parameter | Fit | Uncertainty Range | Expected |
|---|---|---|---|---|
| 1 | 2.00 | 1.57 × 10−3 | 2 | |
| 9.69 × 10−8 | 1.51 × 10−3 | 4 × 10−4 | ||
| 0.25 | 0.16 × 10−3 | 0.25 | ||
| in mm | 50 | 3.2 × 10−2 | 50 | |
| 2 | 1.01 | 0.54 × 10−3 | 1 | |
| 1.99 × 10−3 | 0.53 × 10−3 | 0 | ||
| 0.75 | 0.16 × 10−3 | 0.75 | ||
| in mm | 100 | 3.2 × 10−2 | 100 | |
| 3 | 2.04 | 1.64 × 10−3 | 2 | |
| 9.71 × 10−7 | 1.50 × 10−3 | 4 × 10−4 | ||
| Fixed | - | 1 | ||
| in mm | Fixed | - | 50 |
© 2018 by the authors. Licensee MDPI, Basel, Switzerland. This article is an open access article distributed under the terms and conditions of the Creative Commons Attribution (CC BY) license (http://creativecommons.org/licenses/by/4.0/).
Share and Cite
Bumberger, J.; Mai, J.; Schmidt, F.; Lünenschloß, P.; Wagner, N.; Töpfer, H. Spatial Retrieval of Broadband Dielectric Spectra. Sensors 2018, 18, 2780. https://doi.org/10.3390/s18092780
Bumberger J, Mai J, Schmidt F, Lünenschloß P, Wagner N, Töpfer H. Spatial Retrieval of Broadband Dielectric Spectra. Sensors. 2018; 18(9):2780. https://doi.org/10.3390/s18092780
Chicago/Turabian StyleBumberger, Jan, Juliane Mai, Felix Schmidt, Peter Lünenschloß, Norman Wagner, and Hannes Töpfer. 2018. "Spatial Retrieval of Broadband Dielectric Spectra" Sensors 18, no. 9: 2780. https://doi.org/10.3390/s18092780
APA StyleBumberger, J., Mai, J., Schmidt, F., Lünenschloß, P., Wagner, N., & Töpfer, H. (2018). Spatial Retrieval of Broadband Dielectric Spectra. Sensors, 18(9), 2780. https://doi.org/10.3390/s18092780

