Compressed Sensing mm-Wave SAR for Non-Destructive Testing Applications Using Multiple Weighted Side Information
Abstract
:1. Introduction
1.1. Contributions
- To the best of the authors knowledge, CS with weighted SI is applied on SAR measurements for the first time in this work.
- Extensive simulations are performed in order to evaluate the applicability of the proposed technique, the reconstruction performance when subsampling, the robustness against poor quality SI and against the use of multiple SIs with different qualities. The results are compared with common CS reconstruction and background subtraction.
- The results obtained through the synthetic measurements are confirmed with experiments on real mm-wave NDT measurements of a 3D-printed test object, proving its direct applicability and demonstrating its high performance level.
1.2. Organization
2. Compressive Sensing mm-Wave SAR with Side Information
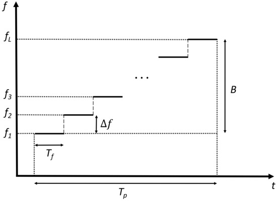
2.1. mm-Wave SAR
2.2. Compressed Sensing
2.3. CS with Side Information
2.3.1. Coherent Background Subtraction
2.3.2. -Minimization
2.3.3. Weighted -Minimization:
3. Results
3.1. Simulations
3.1.1. Setup
3.1.2. Robustness Against Subsampling
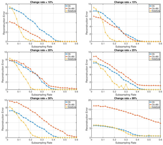
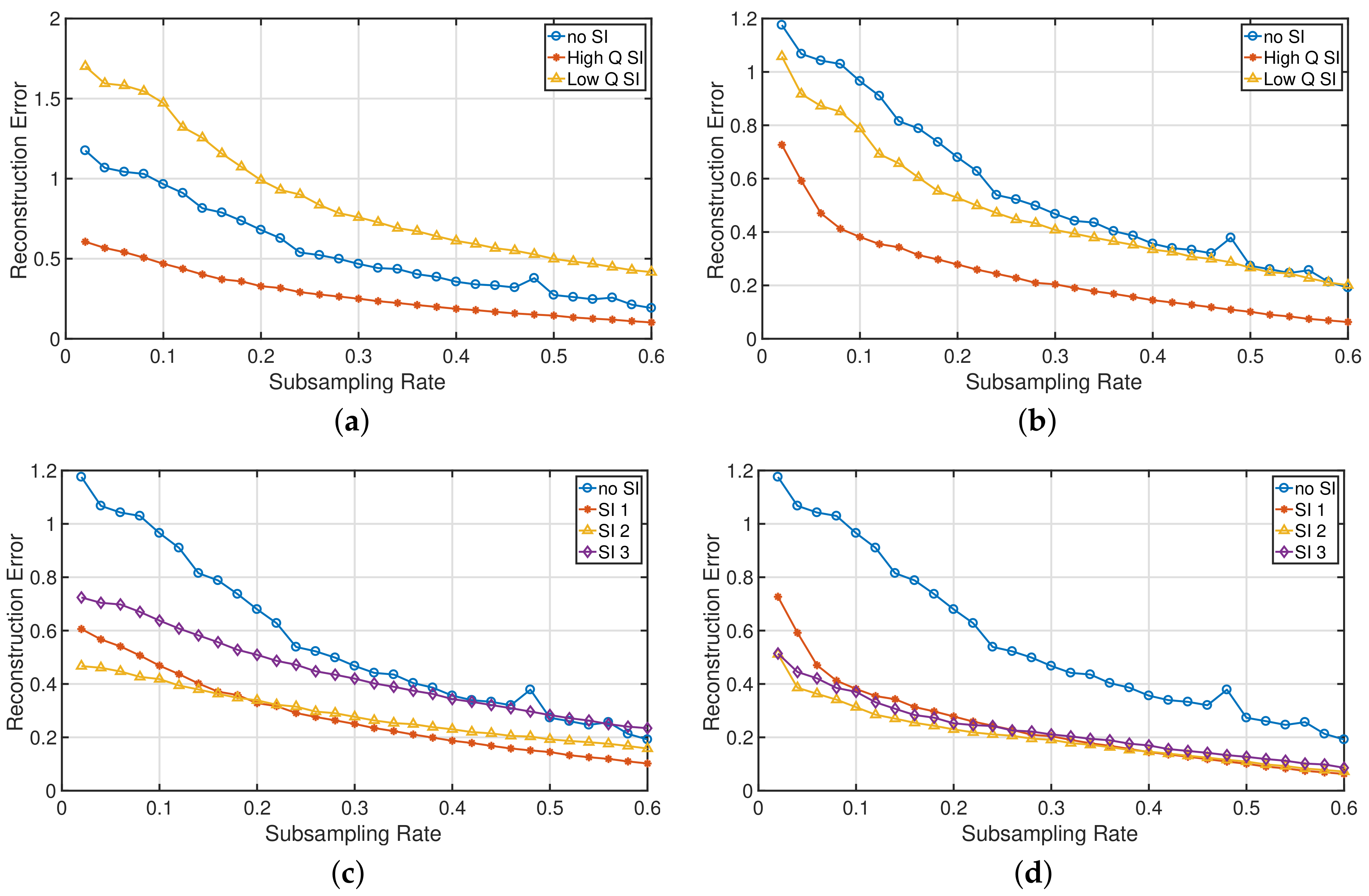
3.1.3. Robustness against Poor Quality SI
3.1.4. Multiple SI with Varying Qualities
3.1.5. Conclusions
- Both CS with coherent background subtraction and CS with weighted SI enhance the robustness against severe subsampling and show comparable performances, dependent on the relative level of sparsity of the signal and the SI.
- Background subtraction can jeopardize the reconstruction of a sparse vector if the SI is of poor quality, whereas the adaptive weighting algorithm is almost immune to low quality SI and can only have a positive impact on the reconstruction performance.
- When multiple SIs are available, CS reconstruction using adaptive weighting of the SI filters out the relevant information of each SI and adds this complementary information to the reconstruction. Adding a new SI to the set of SIs cannot harm the reconstruction even if the SI has a low degree of similarity compared to the signal to be reconstructed.
3.2. Experiments on Real NDT Data
3.2.1. Setup
3.2.2. Visual Evaluation
3.2.3. Robustness against Poor Quality SI
3.2.4. Adaptive Weights
4. Conclusions
Author Contributions
Acknowledgments
Conflicts of Interest
References
- Kim, T.; Navagato, M.D.; James, R.; Narayanan, R. Design and performance of a microwave nondestructive testing system for damage analysis of FRP composites. In Proceedings of the 32nd American Society for Composites Technical Conference, West Lafayette, IN, USA, 22–25 October 2017. [Google Scholar]
- Kemp, I.; Peterson, M.; Benton, C.; Petkie, D.T. Sub-mm wave imaging techniques for non-destructive aerospace materials evaluation. In Proceedings of the IEEE 2009 National Aerospace & Electronics Conference, Dayton, OH, USA, 21–23 July 2009; pp. 166–168. [Google Scholar]
- Cristofani, E.; Becquaert, M.; Vandewal, M.; Jonusheit, J. Ultra-wideband, non-destructive testing SAR systems towards compressive sensing. In Proceedings of the 1st International Workshop on Compressed Sensing Applied to Radar (CoSeRa 2012), Bonn, Germany, 14–16 May 2012; pp. 1–4. [Google Scholar]
- Lustig, M.; Donoho, D.; Pauly, J.M. Sparse MRI: The application of compressed sensing for rapid MR imaging. Magnet. Reson. Med. 2007, 58, 1182–1195. [Google Scholar] [CrossRef] [PubMed]
- Tian, Z.; Giannakis, G.B. Compressed sensing for wideband cognitive radios. In Proceedings of the 2007 International Conference on Acoustics, Speech and Signal Processing, Honolulu, HI, USA, 15–20 April 2007; Volume 4, pp. IV–1357. [Google Scholar]
- Baraniuk, R.; Steeghs, P. Compressive radar imaging. In Proceedings of the 2007 Radar Conference, Boston, MA, USA, 17–20 April 2007; pp. 128–133. [Google Scholar]
- Rilling, G.; Davies, M.; Mulgrew, B. Compressed sensing based compression of SAR raw data. In Proceedings of the Signal Processing with Adaptive Sparse Structured Representations, Malo, France, 6–9 April 2009. [Google Scholar]
- Cevher, V.; Sankaranarayanan, A.; Duarte, M.F.; Reddy, D.; Baraniuk, R.G.; Chellappa, R. Compressive Sensing for Background Subtraction; European Conference on Computer Vision; Springer: Heidelberg/Berlin, Germany, 2008; pp. 155–168. [Google Scholar]
- Trzasko, J.; Haider, C.; Manduca, A. Practical nonconvex compressive sensing reconstruction of highly-accelerated 3D parallel MR angiograms. In Proceedings of the 2009 IEEE International Symposium Biomedical Imaging: From Nano to Macro, Boston, MA, USA, 28 June–1 July 2009; pp. 274–277. [Google Scholar]
- Martone, A.; Ranney, K.; Innocenti, R. Automatic through the wall detection of moving targets using low-frequency ultra-wideband radar. In Proceedings of the 2010 Radar Conference, Washington, DC, USA, 10–14 May 2010; pp. 39–43. [Google Scholar]
- Chen, G.H.; Tang, J.; Leng, S. Prior image constrained compressed sensing (PICCS): A method to accurately reconstruct dynamic CT images from highly undersampled projection data sets. Med. Phys. 2008, 35, 660–663. [Google Scholar] [CrossRef] [PubMed]
- Mota, J.F.; Deligiannis, N.; Rodrigues, M.R. Compressed sensing with prior information: Strategies, geometry, and bounds. IEEE Trans. Inf. Theory 2017, 63, 4472–4496. [Google Scholar] [CrossRef]
- Scarlett, J.; Evans, J.S.; Dey, S. Compressed sensing with prior information: Information-theoretic limits and practical decoders. IEEE Trans. Signal Process. 2013, 61, 427–439. [Google Scholar] [CrossRef]
- Weizman, L.; Eldar, Y.C.; Ben Bashat, D. Compressed sensing for longitudinal MRI: An adaptive-weighted approach. Med. Phys. 2015, 42, 5195–5208. [Google Scholar] [CrossRef] [PubMed]
- Van Luong, H.; Seiler, J.; Kaup, A.; Forchhammer, S. Sparse signal reconstruction with multiple side information using adaptive weights for multiview sources. In Proceedings of the 2016 IEEE International Conference on Image Processing (ICIP), Phoenix, AZ, USA, 25–28 September 2016; pp. 2534–2538. [Google Scholar]
- Van Luong, H.; Deligiannis, N.; Seiler, J.; Forchhammer, S.; Kaup, A. Compressive online robust principal component analysis with multiple prior information. In Proceedings of the IEEE Global Conference on Signal and Information Processing, Montreal, QC, Canada, 14–16 November 2017. [Google Scholar]
- Van Luong, H.; Deligiannis, N.; Forchhammer, S.; Kaup, A. Compressive online robust principal component analysis via n-l1 minimization. IEEE Trans. Image Process. 2018. [Google Scholar] [CrossRef]
- Zimos, E.; Mota, J.F.; Rodrigues, M.R.; Deligiannis, N. Bayesian compressed sensing with heterogeneous side information. In Proceedings of the Data Compression Conference (DCC), Snowbird, UT, USA, 30 March–1 April 2016; pp. 191–200. [Google Scholar]
- Wong, K.V.; Hernandez, A. A review of additive manufacturing. ISRN Mech. Eng. 2012, 2012, 30–38. [Google Scholar] [CrossRef]
- Gorelik, M. Additive manufacturing in the context of structural integrity. Int. J. Fatigue 2017, 94, 168–177. [Google Scholar] [CrossRef]
- Tofail, S.A.; Koumoulos, E.P.; Bandyopadhyay, A.; Bose, S.; O’Donoghue, L.; Charitidis, C. Additive manufacturing: Scientific and technological challenges, market uptake and opportunities. Mater. Today 2017, 21, 22–37. [Google Scholar] [CrossRef]
- Cooper, D.; Thornby, J.; Blundell, N.; Henrys, R.; Williams, M.; Gibbons, G. Design and manufacture of high performance hollow engine valves by additive layer manufacturing. Mater. Des. 2015, 69, 44–55. [Google Scholar] [CrossRef]
- Lasagni, F.; Zorrilla, A.; Periñán, T.S.; Vilanova, J. On the investigation of processing parameters and NDT inspection on additive manufacturing materials for future launchers. In Proceedings of the Workshop on Additive Manufacturing for Space Applications, ESA-ESTEC, Noordwijk, The Netherlands, 14–15 October 2014. [Google Scholar]
- Cumming, I.G.; Wong, F.H. Digital processing of synthetic aperture radar data. Artech House 2005, 1, 3. [Google Scholar]
- Anitori, L.; Otten, M.; Hoogeboom, P. Compressive sensing for high resolution radar imaging. In Proceedings of the 2010 Asia-Pacific Microwave Conference Proceedings (APMC), Yokohama, Japan, 7–10 December 2010; pp. 1809–1812. [Google Scholar]
- Cands, E.J.; Tao, T. Decoding by linear programming. IEEE Trans. Inf. Theory 2005, 51, 4203–4215. [Google Scholar] [CrossRef]
- Arjoune, Y.; Kaabouch, N.; El Ghazi, H.; Tamtaoui, A. A performance comparison of measurement matrices in compressive sensing. Int. J. Commun. Syst. 2018, 31, e3576. [Google Scholar] [CrossRef]
- Chandrasekaran, V.; Recht, B.; Parrilo, P.A.; Willsky, A.S. The convex geometry of linear inverse problems. Found. Comput. Math. 2012, 12, 805–849. [Google Scholar] [CrossRef]
- Arjoune, Y.; Kaabouch, N.; El Ghazi, H.; Tamtaoui, A. Compressive sensing: Performance comparison of sparse recovery algorithms. In Proceedings of the 7th Annual Computing and Communication Workshop and Conference (CCWC), Las Vegas, NV, USA, 9–11 Januray 2017; pp. 1–7. [Google Scholar]
- Mota, J.; Deligiannis, N.; Sankaranarayanan, A.C.; Cevher, V.; Rodrigues, M. Dynamic sparse state estimation using a l1-l1 minimization: Adaptive-rate measurement bounds, algorithms and applications. In Proceedings of the 2015 IEEE International Conference on Acoustics, Speech and Signal Processing (ICASSP), Brisbane, Australia, 19–24 April 2015; pp. 3332–3336. [Google Scholar]
- Mota, J.F.; Deligiannis, N.; Rodrigues, M.R. Compressed sensing with side information: Geometrical interpretation and performance bounds. In Proceedings of the 2014 IEEE Global Conference on Signal and Information Processing (GlobalSIP), Atlanta, Georgia, 3–5 December 2014; pp. 512–516. [Google Scholar]
- Beck, A.; Teboulle, M. A fast iterative shrinkage-thresholding algorithm for linear inverse problems. SIAM J. Imaging Sci. 2009, 2, 183–202. [Google Scholar] [CrossRef]
- Becquaert, M.; Cristofani, E.; Vandewal, M. On the applicability of compressive sensing on FMCW synthetic aperture radar data for sparse scene recovery. In Proceedings of the 2013 European Radar Conference (EuRAD), Nuremberg, Germany, 9–11 October 2013; pp. 9–12. [Google Scholar]










| NDT Sensor Parameter | Value |
|---|---|
| Starting frequency | 45 GHz |
| Bandwidth | 30 GHz |
| Frequency step | 731.7 MHz |
| Scanning distance | 0.30 m |
| Number of cross-range measurements | 30 |
| Number of frequencies | 41 |
| Aperture angle (−3 dB) | 15° |
© 2018 by the authors. Licensee MDPI, Basel, Switzerland. This article is an open access article distributed under the terms and conditions of the Creative Commons Attribution (CC BY) license (http://creativecommons.org/licenses/by/4.0/).
Share and Cite
Becquaert, M.; Cristofani, E.; Van Luong, H.; Vandewal, M.; Stiens, J.; Deligiannis, N. Compressed Sensing mm-Wave SAR for Non-Destructive Testing Applications Using Multiple Weighted Side Information. Sensors 2018, 18, 1761. https://doi.org/10.3390/s18061761
Becquaert M, Cristofani E, Van Luong H, Vandewal M, Stiens J, Deligiannis N. Compressed Sensing mm-Wave SAR for Non-Destructive Testing Applications Using Multiple Weighted Side Information. Sensors. 2018; 18(6):1761. https://doi.org/10.3390/s18061761
Chicago/Turabian StyleBecquaert, Mathias, Edison Cristofani, Huynh Van Luong, Marijke Vandewal, Johan Stiens, and Nikos Deligiannis. 2018. "Compressed Sensing mm-Wave SAR for Non-Destructive Testing Applications Using Multiple Weighted Side Information" Sensors 18, no. 6: 1761. https://doi.org/10.3390/s18061761
APA StyleBecquaert, M., Cristofani, E., Van Luong, H., Vandewal, M., Stiens, J., & Deligiannis, N. (2018). Compressed Sensing mm-Wave SAR for Non-Destructive Testing Applications Using Multiple Weighted Side Information. Sensors, 18(6), 1761. https://doi.org/10.3390/s18061761

