Cutting Forces Measurement for Milling Process by Using Working Tables with Integrated PVDF Thin-Film Sensors
Abstract
1. Introduction
2. Conceptual Designs for Instrumented Working Table
2.1. The Design Conception
2.2. PVDF Based Cutting Force Sensing
2.2.1. Cutting Force Sensing System with PVDF Sensors
2.2.2. Charge Calculation for PVDF Sensors
2.2.3. Forces Calculation Based on Generated Charges
3. Cutting Force Decoupling Model
3.1. Synthesis and Decomposition of Forces
3.2. Calculation of Forces in X and Y Directions
3.3. Calculation of Force in Z Direction
4. Experimental Validation and Discussion
4.1. Realization of Instrumented Working Table
4.2. Experimental Set-Up
4.3. Results and Discussion
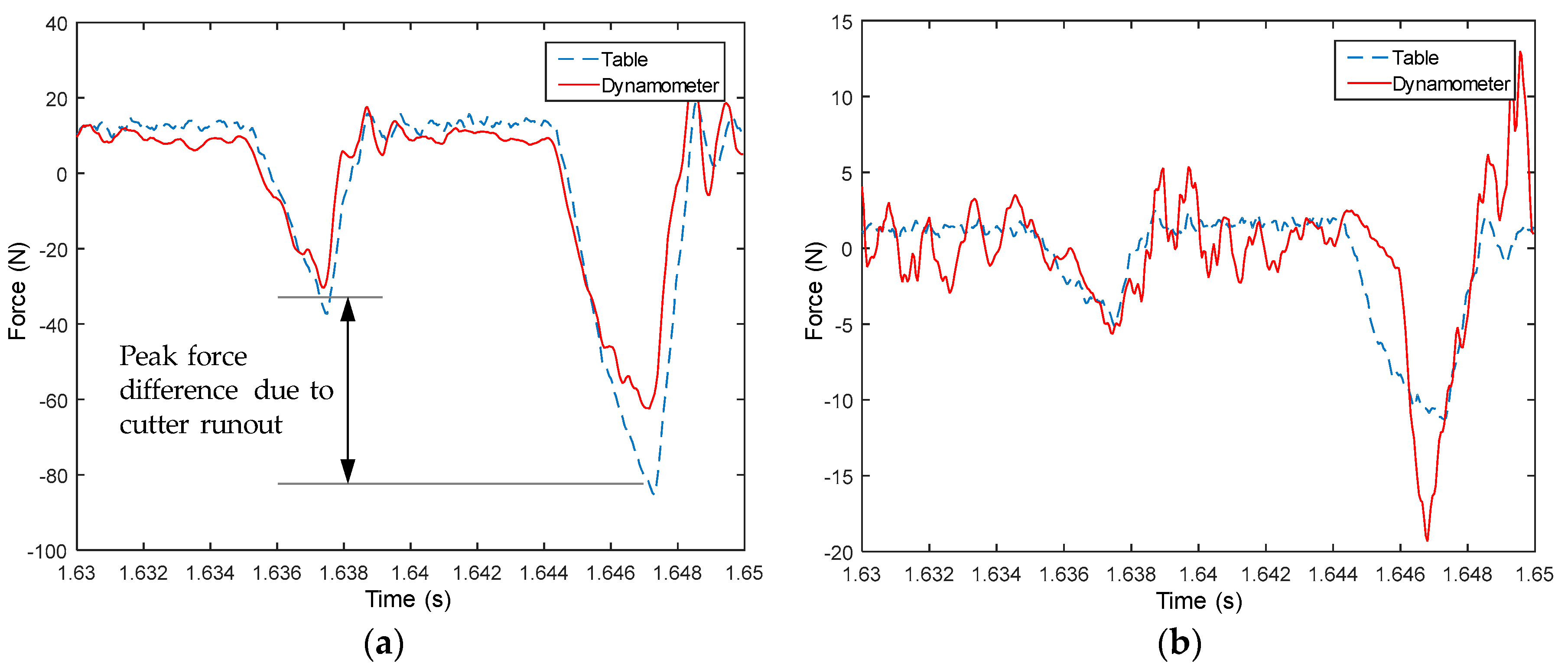
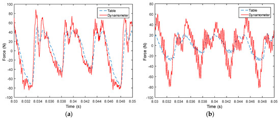
4.3.1. Cutting Forces
4.3.2. Force Signal Spectrum Analysis
5. Conclusions
- (1)
- PVDF thin-film sensors are integrated into the working table to pick up the dynamic normal strain and to form an instrumented table for milling force measurement.
- (2)
- By applying the force translation theorem and force balance theory, cutting force decoupling models are developed to identify force component in each direction based on the measured signals.
- (3)
- The developed working table is validated by implementation of real milling experiments. Results show that measured forces match well with those from the dynamometer in terms of profile. From the monitored force signals, it can clearly identify the cutter runout in the milling process since the developed working table can capture the force details.
- (4)
- The force signal spectrum analysis indicates that the main frequencies of the measured forces are the multipliers of tool passing frequency, thus the developed working table is suitable for the milling force measurement. Furthermore, the developed system can capture the high frequency signal portion of the cutting forces.
Author Contributions
Funding
Conflicts of Interest
References
- Thakur, D.; Ramamoorthy, B.; Vijayaraghavan, L. Machinability investigation of Inconel 718 in high-speed turning. Int. J. Adv. Manuf. Technol. 2009, 45, 421–429. [Google Scholar] [CrossRef]
- Hidayah, M.T.N.; Ghani, J.A.; Nuawi, M.Z.; Haron, C.H.C. A review of utilisation of cutting force analysis in cutting tool condition monitoring. Int. J. Eng. Tech. 2015, 15, 28–35. [Google Scholar]
- Cheng, K. Machining Dynamics: Fundamentals, Applications and Practices; Springer-Verlag London Limited: London, UK, 2009. [Google Scholar]
- Liu, C.; Zhu, L.; Ni, C. Chatter detection in milling process based on VMD and energy entropy. Mech. Syst. Sig. Process. 2018, 105, 169–182. [Google Scholar] [CrossRef]
- Yu, J.; Liang, S.; Tang, D.; Liu, H. A weighted hidden Markov model approach for continuous-state tool wear monitoring and tool life prediction. Int. J. Adv. Manuf. Technol. 2017, 91, 201–211. [Google Scholar] [CrossRef]
- Han, C.; Luo, M.; Zhang, D.; Wu, B. Iterative learning method for drilling depth optimization in peck deep-hole drilling. J. Manuf. Sci. Eng. 2018, 140, 121009. [Google Scholar] [CrossRef]
- Luo, M.; Han, C.; Hafeez, H.M. Four-axis trochoidal toolpath planning for rough milling of aero-engine blisks. Chin. J. Aeronaut. 2018. [Google Scholar] [CrossRef]
- Fujishima, M.; Ohno, K.; Nishikawa, S.; Nishimura, K.; Sakamoto, M.; Kawai, K. Study of sensing technologies for machine tools. CIRP J. Manuf. Sci. Technol. 2016, 14, 71–75. [Google Scholar] [CrossRef]
- Fiorillo, A.S.; Critello, C.D.; Pullano, S.A. Theory, technology and applications of piezoresistive sensors: A review. Sens. Actuator Phys. 2018, 281, 156–175. [Google Scholar] [CrossRef]
- Zhao, Y.; Zhao, Y.; Liang, S.; Zhou, G. A high performance sensor for triaxial cutting force measurement in turning. Sensors 2015, 15, 7969. [Google Scholar] [CrossRef] [PubMed]
- Yu, P.; Liu, W.; Gu, C.; Cheng, X.; Fu, X. Flexible piezoelectric tactile sensor array for dynamic three-axis force measurement. Sensors 2016, 16, 819. [Google Scholar] [CrossRef] [PubMed]
- Li, Y.; Zhao, Y.; Fei, J.; Qin, Y.; Zhao, Y.; Cai, A.; Gao, S. Design and development of a three-component force sensor for milling process monitoring. Sensors 2017, 17, 949. [Google Scholar] [CrossRef] [PubMed]
- Shi, D.; Gindy, N.N. Industrial applications of online machining process monitoring system. IEEE/ASME Trans. Mechatron. 2007, 12, 561–564. [Google Scholar] [CrossRef]
- Luo, M.; Liu, D.; Luo, H. Real-time deflection monitoring for milling of a thin-walled workpiece by using pvdf thin-film sensors with a cantilevered beam as a case study. Sensors 2016, 16, 1470. [Google Scholar] [CrossRef] [PubMed]
- Li, Y.; Liu, C.; Hao, X.; Gao, J.X.; Maropoulos, P.G. Responsive fixture design using dynamic product inspection and monitoring technologies for the precision machining of large-scale aerospace parts. CIRP Ann. 2015, 64, 173–176. [Google Scholar] [CrossRef]
- Wan, M.; Gao, T.-Q.; Feng, J.; Zhang, W.-H. On improving chatter stability of thin-wall milling by prestressing. J. Mater. Process. Technol. 2019, 264, 32–44. [Google Scholar] [CrossRef]
- Wang, C.; Cheng, K.; Chen, X.; Minton, T.; Rakowski, R. Design of an instrumented smart cutting tool and its implementation and application perspectives. Smart Mater. Struct. 2014, 23, 035019. [Google Scholar] [CrossRef]
- Nguyen, V.; Melkote, S.; Deshamudre, A.; Khanna, M.; Walker, D. PVDF sensor based monitoring of single-point cutting. J. Manuf. Processes 2016, 24, 328–337. [Google Scholar] [CrossRef]
- Totis, G.; Wirtz, G.; Sortino, M.; Veselovac, D.; Kuljanic, E.; Klocke, F. Development of a dynamometer for measuring individual cutting edge forces in face milling. Mech. Syst. Sig. Process. 2010, 24, 1844–1857. [Google Scholar] [CrossRef]
- Liang, Q.; Zhang, D.; Coppola, G.; Mao, J.; Sun, W.; Wang, Y.; Ge, Y. Design and analysis of a sensor system for cutting force measurement in machining processes. Sensors 2016, 16, 70. [Google Scholar] [CrossRef] [PubMed]
- Ma, L.; Melkote, S.N.; Castle, J.B. PVDF sensor-based monitoring of milling torque. Int. J. Adv. Manuf. Technol. 2014, 70, 1603–1614. [Google Scholar] [CrossRef]
- Luo, M.; Luo, H.; Axinte, D.; Liu, D.; Mei, J.; Liao, Z. A wireless instrumented milling cutter system with embedded PVDF sensors. Mech. Syst. Sig. Process. 2018, 110, 556–568. [Google Scholar] [CrossRef]
- Liu, M.; Bing, J.; Xiao, L.; Yun, K.; Wan, L. Development and testing of an integrated rotating dynamometer based on fiber bragg grating for four-component cutting force measurement. Sensors 2018, 18, 1254. [Google Scholar] [CrossRef] [PubMed]
- Sirohi, J.; Chopra, I. Fundamental understanding of piezoelectric strain sensors. J. Intell. Mater. Syst. Struct. 2000, 11, 246–257. [Google Scholar] [CrossRef]
- Hibbeler, R.C. Mechanics of Materials; Pearson Prentice Hall: Upper Saddle River, NJ, USA, 2004. [Google Scholar]
- Piezo Film Sensors Technical Manual. Measurement Specialties. Available online: https://www.sparkfun.com/datasheets/Sensors/Flex/MSI-techman.pdf (accessed on 17 November 2018).
















| Test No. | Spindle Speed (rpm) | Feedrate (mm/min) | Axial Cutting Depth (mm) | Radial Cutting Depth (mm) |
|---|---|---|---|---|
| 1 | 2000 | 250 | 2.0 | 1.0 |
| 2 | 2000 | 250 | 3.0 | 2.0 |
| 3 | 2000 | 250 | 3.0 | 3.0 |
| 4 | 3000 | 500 | 3.0 | 3.0 |
| 5 | 3000 | 250 | 3.0 | 3.0 |
| 6 | 4000 | 500 | 1.0 | 3.0 |
| 7 | 4000 | 500 | 3.0 | 3.0 |
© 2018 by the authors. Licensee MDPI, Basel, Switzerland. This article is an open access article distributed under the terms and conditions of the Creative Commons Attribution (CC BY) license (http://creativecommons.org/licenses/by/4.0/).
Share and Cite
Luo, M.; Chong, Z.; Liu, D. Cutting Forces Measurement for Milling Process by Using Working Tables with Integrated PVDF Thin-Film Sensors. Sensors 2018, 18, 4031. https://doi.org/10.3390/s18114031
Luo M, Chong Z, Liu D. Cutting Forces Measurement for Milling Process by Using Working Tables with Integrated PVDF Thin-Film Sensors. Sensors. 2018; 18(11):4031. https://doi.org/10.3390/s18114031
Chicago/Turabian StyleLuo, Ming, Zenghui Chong, and Dongsheng Liu. 2018. "Cutting Forces Measurement for Milling Process by Using Working Tables with Integrated PVDF Thin-Film Sensors" Sensors 18, no. 11: 4031. https://doi.org/10.3390/s18114031
APA StyleLuo, M., Chong, Z., & Liu, D. (2018). Cutting Forces Measurement for Milling Process by Using Working Tables with Integrated PVDF Thin-Film Sensors. Sensors, 18(11), 4031. https://doi.org/10.3390/s18114031

