Femtosecond FBG Written through the Coating for Sensing Applications
Abstract
:1. Introduction
2. Materials and Methods
3. Results
3.1. Mechanical Strength
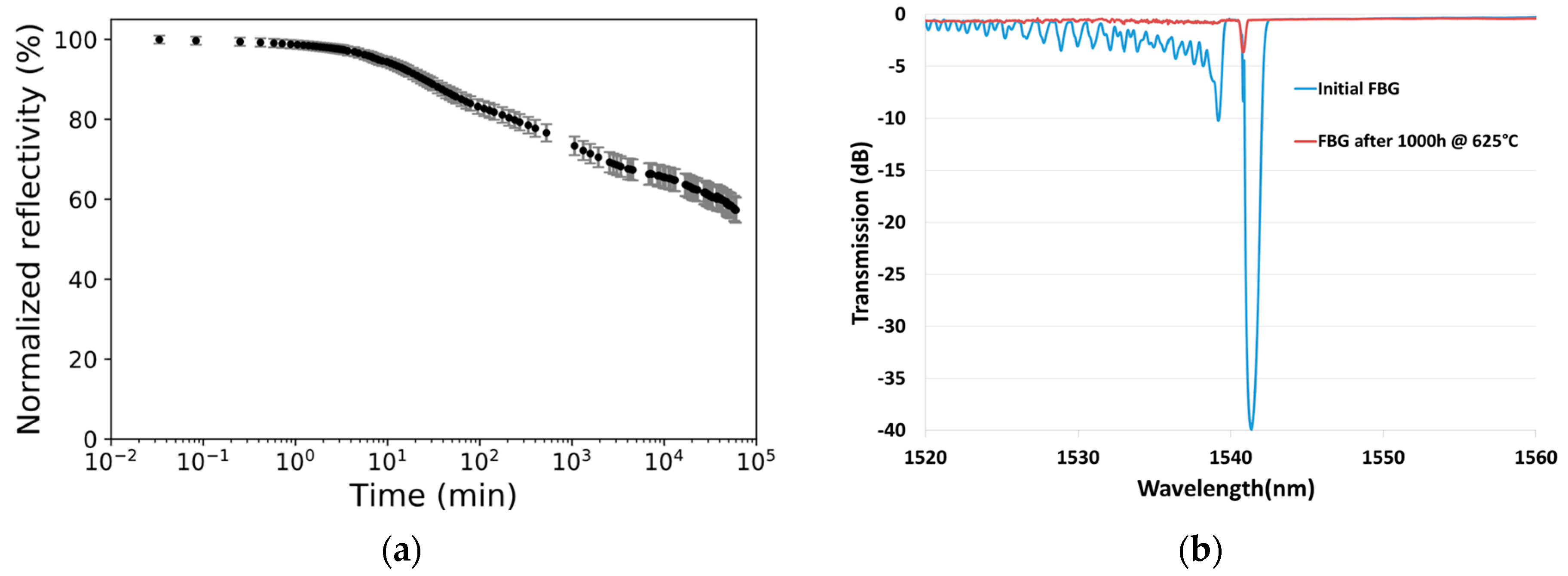
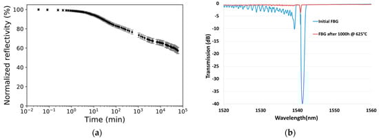
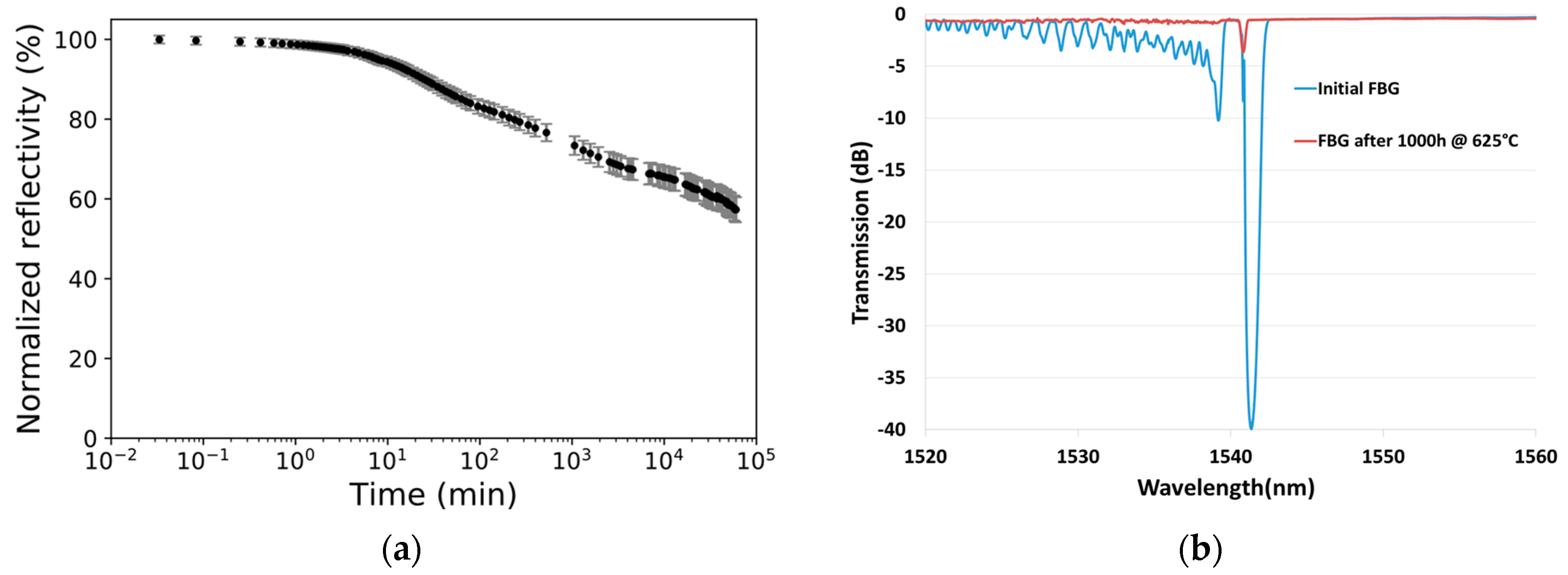
3.2. High Temperature Limits of Type I FBG
3.3. Writing through Various Coating Composition and Fiber Geometry
3.4. Strain Testing
4. Conclusions
Acknowledgments
Author Contributions
Conflicts of Interest
References
- Hill, K.O.; Fujii, Y.; Johnson, D.C.; Kawasaki, B.S. Photosensitivity in optical waveguides: Application to reflection filter fabrication. Appl. Phys. Lett. 1978, 32, 647–649. [Google Scholar] [CrossRef]
- Meltz, G.; Morey, W.W.; Glenn, W.H.; Farina, J.D. In-fiber Bragg-grating sensors. Opt. Fiber Sens. 1988, 2, 163–166. [Google Scholar] [CrossRef]
- Mihailov, S.J. Fiber Bragg Grating Sensors for Harsh Environments. Sensors 2012, 12, 1898–1918. [Google Scholar] [CrossRef] [PubMed]
- Meltz, G.; Morey, W.W.; Glenn, W.H. Formation of Bragg gratings in optical fibres by transverse holographic method. Opt. Lett. 1989, 14, 823. [Google Scholar] [CrossRef] [PubMed]
- Albert, J.; Malo, B.; Hill, K.O.; Johnson, D.C.; Bilodeau, F.; Thériault, S. Comparison of one-photon and two-photon effects in the photosensitivity of germanium-doped silica optical fibers exposed to intense ArF excimer laser pulses. Appl. Phys. Lett. 1995, 67, 3529. [Google Scholar] [CrossRef]
- Lancry, M.; Poumellec, B. UV laser processing and multiphoton absorption processes in optical telecommunication fiber materials. Phys. Rep. 2013, 523, 207–229. [Google Scholar] [CrossRef]
- Davis, K.M.; Miura, K.; Sugimoto, N.; Hirao, K. Writing waveguides in glass with a femtosecond laser. Opt. Lett. 1996, 21, 1729. [Google Scholar] [CrossRef] [PubMed]
- Mihailov, S.J.; Smelser, C.W.; Grobnic, D.; Walker, R.B.; Lu, P.; Ding, H.; Unruh, J. Bragg gratings written in all-SiO2 and Ge-doped core fibers with 800 nm femtosecond radiation and a phase mask. J. Lightw. Technol. 2004, 22, 94. [Google Scholar] [CrossRef]
- Kashyap, R. Fiber Bragg Gratings, 2nd ed.; Academic Press: Salt Lake City, UT, USA, 2009. [Google Scholar]
- Seward, T.P.; Smith, C.; Borrelli, N.F.; Allan, D.C. Densification of synthetic fused silica under ultraviolet irradiation. J. Non-Cryst. Solids 1997, 222, 407–414. [Google Scholar] [CrossRef]
- Nikogosyan, D.N. Multi-photon high-excitation-energy approach to fibre grating inscription. Meas. Sci. Technol. 2006, 18, R1. [Google Scholar] [CrossRef]
- Albert, J.; Fokine, M.; Margulis, W. Grating formation in pure silica-core fibers. Opt. Lett. 2002, 27, 809–811. [Google Scholar] [CrossRef] [PubMed]
- Cook, K.; Canning, J.; Pohl, A.A.P.; Holdsworth, J.; Stevenson, M.; Bandyopadhyay, S.; Groothoff, N. Bragg grating writing in photonic crystal fibres. Proc. SPIE Photonic Cryst. Fibers III 2009, 73570H. [Google Scholar] [CrossRef]
- Bernier, M.; Faucher, D.; Vallée, R.; Saliminia, A.; Androz, G.; Sheng, Y.; Chin, S.L. Bragg gratings photoinduced in ZBLAN fibers by femtosecond pulses at 800 nm. Opt. Lett. 2007, 32, 454–456. [Google Scholar] [CrossRef] [PubMed]
- Bernier, M.; El-Amraoui, M.; Couillard, J.F.; Messaddeq, Y.; Vallée, R. Writing of Bragg gratings through the polymer jacket of low-loss As2S3 fibers using femtosecond pulses at 800 nm. Opt. Lett. 2012, 37, 3900–3902. [Google Scholar] [CrossRef] [PubMed]
- Martinez, A.; Dubov, M.; Khrushchev, I.Y.; Bennion, I. Photoinduced modifications in fiber gratings inscribed directly by infrared femtosecond irradiation. IEEE Photon. Technol. Lett. 2006, 18, 2266–2268. [Google Scholar] [CrossRef]
- Grobnic, D.; Mihailov, S.J.; Smelser, C.W.; Ramos, R.T. Ultrafast IR laser writing of strong Bragg gratings through the coating of high Ge-doped optical fibers. IEEE Photonic Technol. Lett. 2008, 20, 973–975. [Google Scholar] [CrossRef]
- Starodubov, D.S.; Grubsky, V.; Feinberg, J. Efficient Bragg grating fabrication in a fiber through its polymer jacket using near-UV light. Electron. Lett. 1997, 33, 1331–1333. [Google Scholar] [CrossRef]
- Espindola, R.P.; Atkins, R.M.; Wang, N.P.; Simoff, D.A.; Paczkowski, M.A.; Windeler, R.S.; Brownlow, D.L.; Shenk, D.S.; Glodis, P.A.; Strasser, T.A.; et al. Highly reflective fiber Bragg gratings written through a vinyl ether fiber coating. IEEE Photonic Technol. Lett. 1999, 11, 833–835. [Google Scholar] [CrossRef]
- Chao, L.; Reekie, L.; Ibsen, M. Grating writing through fibre coating at 244 and 248 nm. Electron. Lett. 1999, 35, 924–926. [Google Scholar] [CrossRef]
- Rothhardt, M.W.; Chojetzki, C.; Mueller, H.R. High-mechanical-strength single-pulse draw tower gratings. Proc. SPIE Photonic Appl. Telecommun. Sensors Softw. Lasers 2004, 5579, 127. [Google Scholar] [CrossRef]
- Askins, C.G.; Putnam, M.A.; Williams, G.M.; Friebele, E.J. Stepped-wavelength optical-fiber Bragg grating arrays fabricated in line on a draw tower. Opt. Lett. 1994, 19, 147–149. [Google Scholar] [CrossRef] [PubMed]
- Bernier, M.; Trépanier, F.; Carrier, J.; Vallée, R. High mechanical strength fiber Bragg gratings made with infrared femtosecond pulses and a phase mask. Opt. Lett. 2014, 39, 3646–3649. [Google Scholar] [CrossRef] [PubMed]
- Skolianos, G.; Arora, A.; Bernier, M.; Digonnet, M.J.F. Photonics sensing at the thermodynamic limit. Opt. Lett. 2017, 42, 2018–2021. [Google Scholar] [CrossRef] [PubMed]
- Tu, Y.; Ye, L.; Zhou, S.P.; Tu, S.T. An Improved Metal-Packaged Strain Sensor Based on A Regenerated Fiber Bragg Grating in Hydrogen-Loaded Boron–Germanium Co-Doped Photosensitive Fiber for High-Temperature Applications. Sensors 2017, 17, 431. [Google Scholar] [CrossRef] [PubMed]
- Douay, M.; Xie, W.X.; Taunay, T.; Bernage, P.; Niay, P.; Cordier, P.; Poumellec, B.; Dong, L.; Bayon, J.F.; Poignant, H.; Delevaque, E. Densification involved in the UV-based photosensitivity of silica glasses and optical fibers. J. Lightw. Technol. 1997, 15, 1329–1342. [Google Scholar] [CrossRef]
- Cook, K.; Smelser, C.; Canning, J.; Le Garff, G.; Lancry, M.; Mihailov, S. Regenerated femtosecond fiber Bragg gratings. Proc. SPIE 2012, 8351, 835111. [Google Scholar] [CrossRef]
- Canning, J. Regeneration, regenerated gratings and composite glass properties: The implications for high temperature micro and nano milling and optical sensing. Measurement 2016, 79, 236–249. [Google Scholar] [CrossRef]
- Lindner, E.; Canning, J.; Chojetzki, C.; Brückner, S.; Becker, M.; Rothhardt, M.; Bartelt, H. Post-hydrogen-loaded draw tower fiber Bragg gratings and their thermal regeneration. Appl. Opt. 2011, 50, 2519–2522. [Google Scholar] [CrossRef] [PubMed]
- Fokine, M. Formation of thermally stable chemical composition gratings in optical fibers. J. Opt. Soc. Am. B 2002, 19, 1759–1765. [Google Scholar] [CrossRef]
- Groothoff, N.; Canning, J. Enhanced type IIA gratings for high-temperature operation. Opt. Lett. 2004, 29, 2360–2362. [Google Scholar] [CrossRef] [PubMed]
- Marshall, G.D.; Ams, M.; Withford, M.J. Direct laser written waveguide-Bragg gratings in bulk fused silica. Opt. Lett. 2006, 31, 2690–2691. [Google Scholar] [CrossRef] [PubMed]
- Mihailov, S.J.; Grobnic, D.; Smelser, C.W. High-temperature multiparameter sensor based on sapphire fiber Bragg gratings. Opt. Lett. 2010, 35, 2810–2812. [Google Scholar] [CrossRef] [PubMed]
- Busch, M.; Ecke, W.; Latka, I.; Fischer, D.; Willsch, R.; Bartelt, H. Inscription and characterization of Bragg gratings in single-crystal sapphire optical fibres for high-temperature sensor applications. Meas. Sci. Technol. 2009, 20, 115301. [Google Scholar] [CrossRef]
- Grobnic, D.; Mihailov, S.J.; Smelser, C.W.; Ding, H. Sapphire fiber Bragg grating sensor made using femtosecond laser radiation for ultrahigh temperature applications. IEEE Photonic Technol. Lett. 2004, 16, 2505–2507. [Google Scholar] [CrossRef]
- Wang, Y.; Qiao, X.; Yang, H.; Su, D.; Li, L.; Guo, T. Sensitivity-improved strain sensor over a large range of temperatures using an etched and regenerated fiber Bragg grating. Sensors 2014, 14, 18575–18582. [Google Scholar] [CrossRef] [PubMed]
- Morey, W.W.; Meltz, G.; Glenn, W.H. Fiber Optic Bragg Grating Sensors. Proc. SPIE Fiber Opt. Laser Sens. VII 1990, 1169. [Google Scholar] [CrossRef]












© 2017 by the authors. Licensee MDPI, Basel, Switzerland. This article is an open access article distributed under the terms and conditions of the Creative Commons Attribution (CC BY) license (http://creativecommons.org/licenses/by/4.0/).
Share and Cite
Habel, J.; Boilard, T.; Frenière, J.-S.; Trépanier, F.; Bernier, M. Femtosecond FBG Written through the Coating for Sensing Applications. Sensors 2017, 17, 2519. https://doi.org/10.3390/s17112519
Habel J, Boilard T, Frenière J-S, Trépanier F, Bernier M. Femtosecond FBG Written through the Coating for Sensing Applications. Sensors. 2017; 17(11):2519. https://doi.org/10.3390/s17112519
Chicago/Turabian StyleHabel, Joé, Tommy Boilard, Jean-Simon Frenière, François Trépanier, and Martin Bernier. 2017. "Femtosecond FBG Written through the Coating for Sensing Applications" Sensors 17, no. 11: 2519. https://doi.org/10.3390/s17112519
APA StyleHabel, J., Boilard, T., Frenière, J.-S., Trépanier, F., & Bernier, M. (2017). Femtosecond FBG Written through the Coating for Sensing Applications. Sensors, 17(11), 2519. https://doi.org/10.3390/s17112519

