Assessment of Reinforced Concrete Surface Breaking Crack Using Rayleigh Wave Measurement
Abstract
:1. Introduction
2. Numerical Simulations
2.1. Model Description
2.2. Waveform Results
2.3. Correlations of Waveform Parameters with Crack
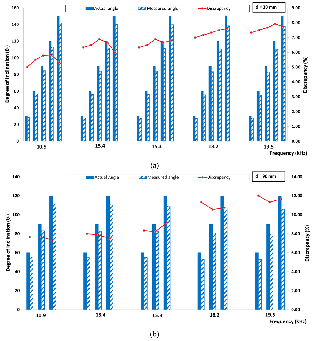
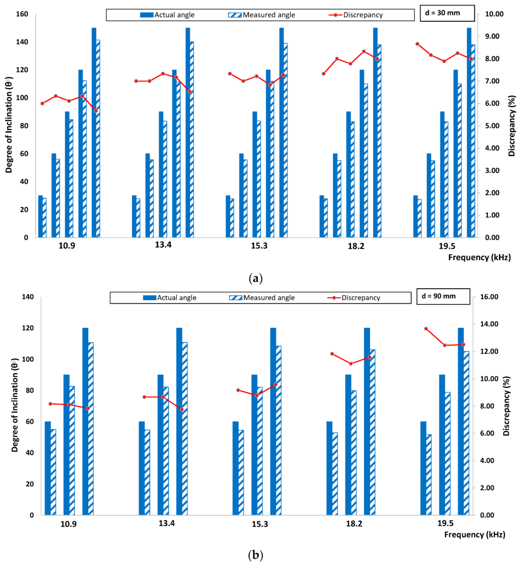
2.4. Correlations of Waveform Parameters with Degree of Inclination
3. Experimental Verification
3.1. Specimen and Instrumentation
3.2. Results Discussions
4. Conclusions
Acknowledgments
Author Contributions
Conflicts of Interest
References
- Sham, F.C.; Chen, N.; Long, L. Surface crack detection by flash thermography on concrete surface. Insight Non Destr. Test. Cond. Monit. 2008, 50, 240–243. [Google Scholar] [CrossRef]
- Matsuyama, K.; Yamada, M.; Ohtsu, M. On-site measurement of delamination and surface crack in concrete structure by visualized NDT. Constr. Build. Mater. 2010, 24, 2381–2387. [Google Scholar] [CrossRef]
- Kee, S.H.; Gucunski, N. Characterizing a Surface-Breaking Crack in Concrete Bridge Decks Using Surface Wave Measurements. In Proceedings of the Transportation Research Board 93rd Annual Meeting (No. 14-3944), Washington, DC, USA, 12–16 January 2014.
- Yin, Z.; Wu, C.; Chen, G. Concrete crack detection through full-field displacement and curvature measurements by visual mark tracking: A proof-of-concept study. Struct. Health Monit. 2014. [Google Scholar] [CrossRef]
- Hevin, G.; Abraham, O.; Pederson, H.A.; Campillo, M. Characterization of surface cracks with Rayleigh waves: A numerical model. NDT&E Int. 1998, 31, 289–297. [Google Scholar]
- Kim, J.H.; Kwak, H.G. Rayleigh wave velocity computation using principal wavelet-component analysis. NDT&E Int. 2011, 44, 47–56. [Google Scholar]
- Willcocks, M.; Veidt, M.; Palmer, G. Spectral Analysis of Surface Waves for Damage Detection in Layered Concrete Structures. In Acoustics 2011: Breaking New Ground; The Australian Acoustical Society: Gold Coast, Australia, 2011; pp. 1–7. [Google Scholar]
- Chai, H.K.; Momoki, S.; Aggelis, D.G.; Shiotani, T. Characterization of Deep Surface-Opening Cracks in Concrete: Feasibility of Impact-Generated Rayleigh-Waves. ACI Mater. J. 2010, 107, 305–311. [Google Scholar]
- Lee, F.W.; Lim, K.S.; Chai, H.K. Determination and extraction of Rayleigh-waves for concrete cracks characterization based on matched filtering of center of energy. J. Sound Vib. 2016, 363, 303–315. [Google Scholar] [CrossRef]
- Alver, N.; Ohtsu, M. Nondestructive Evaluation of Surface Crack Depth in Concrete. In Topics in Dynamics of Civil Structures; Springer: New York, NY, USA, 2013; Volume 4, pp. 269–275. [Google Scholar]
- Chai, H.K.; Aggelis, D.G.; Momoki, S.; Kobayashi, Y.; Shiotani, T. Single-side access tomography for evaluating interior defect of concrete. Constr. Build. Mater. 2010, 24, 2411–2418. [Google Scholar] [CrossRef]
- Wave2000. Available online: http://www.cyberlogic.org (accessed on 11 April 2014).
- Lee, F.W.; Chai, H.K.; Tan, T.O. Feasibility Study on Evaluating Surface Opening Cracks in Concrete by Multi-Channel Instrumented Surface Rayleigh Wave Propagation. Adv. Struct. Eng. 2014, 17, 785–800. [Google Scholar]
- Aggelis, D.G.; Shiotani, T. Repair evaluation of concrete cracks using surface and through-transmission wave measurements. Cem. Concr. Compos. 2007, 29, 700–711. [Google Scholar] [CrossRef]
- Dutton, B.; Clough, A.R.; Rosli, M.H.; Edwards, R.S. Non-contact ultrasonic detection of angled surface defects. NDT&E Int. 2011, 44, 353–360. [Google Scholar]
- Aggelis, D.G.; Shiotani, T.; Polyzos, D. Characterization of surface crack depth and repair evaluation using Rayleigh waves. Cem. Concr. Compos. 2009, 31, 77–83. [Google Scholar] [CrossRef]
- Doyle, P.A.; Scala, C.M. Crack depth measurement by ultrasonics: A review. Ultrasonics 1978, 16, 164–170. [Google Scholar] [CrossRef]
- Pecorari, C. Rayleigh wave dispersion due to a distribution of semi-elliptical surface-breaking cracks. J. Acoust. Soc. Am. 1998, 103, 1383–1387. [Google Scholar] [CrossRef]
- Pecorari, C. Scattering of a Rayleigh wave by a surface-breaking crack with faces in partial contact. Wave Motion 2001, 33, 259–270. [Google Scholar] [CrossRef]
- Arias, I.; Achenbach, J.D. A model for the ultrasonic detection of surface-breaking cracks by the scanning laser source technique. Wave Motion 2004, 39, 61–75. [Google Scholar] [CrossRef]
- Tsutsumi, T.; Wu, J.; Wu, J.; Huang, X.; Wu, Z. Introduction to a new surface-wave based NDT method for crack detection and its application in large dam monitoring. In Proceedings of the International Symposium on Dam Safety and Detection of Hidden Troubles of Dams and Dikes, Xi’an, China, 1–3 November 2005; pp. 1–3.
- Zewer, A.; Polak, M.A.; Santamaria, J.C. Detection of surface breaking cracks in concrete members using Rayleigh waves. J. Environ. Eng. Geophys. 2005, 10, 295–306. [Google Scholar] [CrossRef]
- Chaix, J.F.; Garnier, V.; Corneloup, G. Ultrasonic wave propagation in heterogeneous solid media: Theoretical analysis and experimental validation. Ultrasonics 2006, 44, 200–210. [Google Scholar] [CrossRef] [PubMed]
- Philippidis, T.P.; Aggelis, D.G. Experimental study of wave dispersion and attenuation in concrete. Ultrasonics 2005, 43, 584–595. [Google Scholar] [CrossRef] [PubMed]
- Aggelis, D.G.; Shiotani, T. Experimental study of surface wave propagation in strongly heterogeneous media. J. Acoust. Soc. Am. 2007, 122, EL151–EL157. [Google Scholar] [CrossRef] [PubMed]
- Selleck, S.F.; Landis, E.N.; Peterson, M.L.; Shah, S.P.; Achenbach, J.D. Ultrasonic investigation of concrete with distributed damage. ACI Mater. J. 1998, 95, 27–36. [Google Scholar]
- Shah, S.P.; Popovics, J.S.; Subramaniam, K.V.; Aldea, C.M. New directions in concrete health monitoring technology. J. Eng. Mech. 2000, 126, 754–760. [Google Scholar] [CrossRef]






















| Material | First Lame Constant, λm (GPa) | Second Lame Constant, µm (GPa) | Density, ρ (kg/m3) | Poisson Ratio, v | P-Wave Velocity, CP (m/s) | R-Wave Velocity, CR (m/s) |
|---|---|---|---|---|---|---|
| Concrete | 10.82 | 15.98 | 2313 | 0.202 | 4300 | 2311 |
| Steel | 124.82 | 83.59 | 7850 | 0.299 | 6099 | 3219 |
| Depth of Crack, d (mm) | Frequency of Wave, F (kHz) | Corresponding R-Wave Wavelength, λ (mm) | Degree of Inclination θ against the Horizontal Plane, (°) |
|---|---|---|---|
| 30 to 150 at 30 increment | 10, 20, 30, 40, 50, 60, 80, 100, 150 | 221, 114, 78, 59, 47, 39, 29, 24, 16 | 30, 60, 90, 120, 150 |
© 2016 by the authors; licensee MDPI, Basel, Switzerland. This article is an open access article distributed under the terms and conditions of the Creative Commons by Attribution (CC-BY) license (http://creativecommons.org/licenses/by/4.0/).
Share and Cite
Lee, F.W.; Chai, H.K.; Lim, K.S. Assessment of Reinforced Concrete Surface Breaking Crack Using Rayleigh Wave Measurement. Sensors 2016, 16, 337. https://doi.org/10.3390/s16030337
Lee FW, Chai HK, Lim KS. Assessment of Reinforced Concrete Surface Breaking Crack Using Rayleigh Wave Measurement. Sensors. 2016; 16(3):337. https://doi.org/10.3390/s16030337
Chicago/Turabian StyleLee, Foo Wei, Hwa Kian Chai, and Kok Sing Lim. 2016. "Assessment of Reinforced Concrete Surface Breaking Crack Using Rayleigh Wave Measurement" Sensors 16, no. 3: 337. https://doi.org/10.3390/s16030337
APA StyleLee, F. W., Chai, H. K., & Lim, K. S. (2016). Assessment of Reinforced Concrete Surface Breaking Crack Using Rayleigh Wave Measurement. Sensors, 16(3), 337. https://doi.org/10.3390/s16030337
