Quaternion-Based Signal Analysis for Motor Imagery Classification from Electroencephalographic Signals
Abstract
:1. Introduction
2. Preliminaries
2.1. Quaternions
2.2. BCI System
2.3. Description of Classifiers
3. Proposed Method
4. Description of the Experimental Tests
4.1. EEG Signal Acquisition
4.2. QSA Method Implementation
4.3. Classification
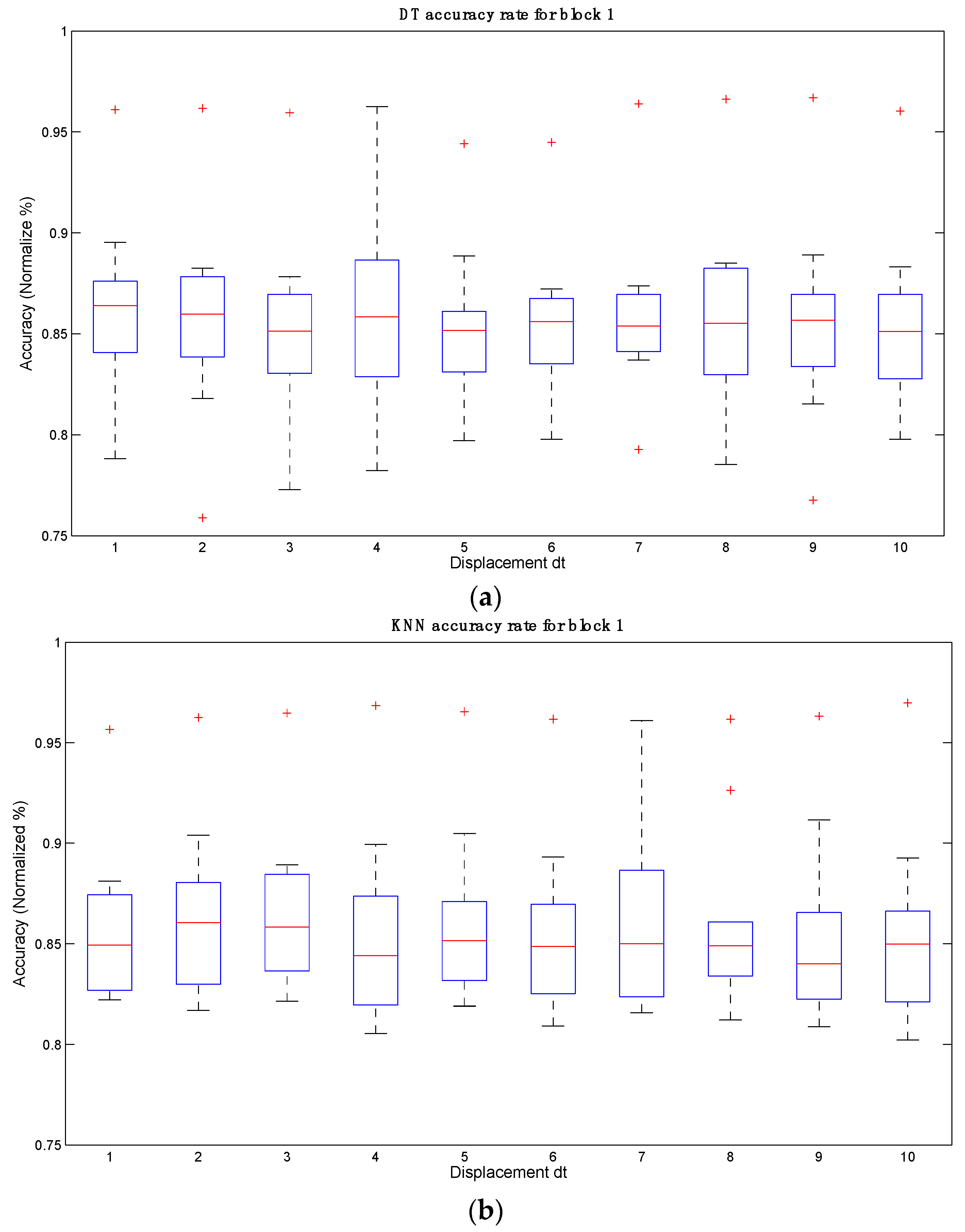
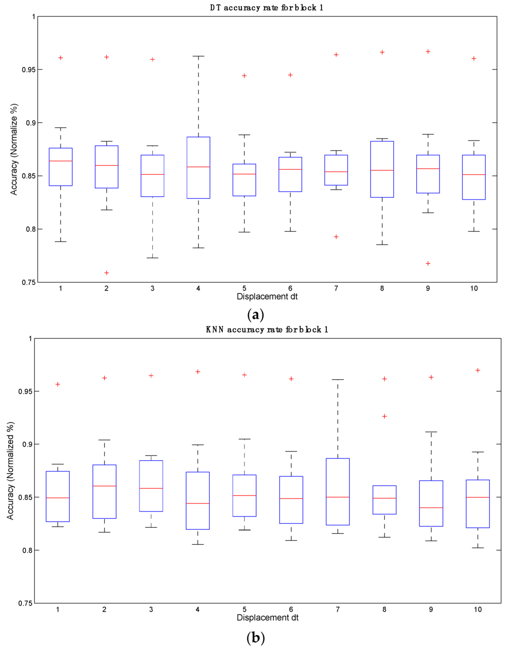
5. Results and Discussion
6. Conclusions
Acknowledgments
Author Contributions
Conflicts of Interest
Abbreviations
| EEG | Electroencephalography |
| QSA | Quaternion-based signal analysis |
| BCI | Brain computer interface |
| DT | Decision tree |
| KNN | K-nearest neighbor |
| SVM | Support vector machine |
| FFT | Fast Fourier transform |
| PSD | Power spectral density |
| DWT | Discrete wavelet transform |
| CSP | Common spatial patterns |
| QFT | Quaternion Fourier transform |
| QPCA | Quaternion principle component analysis |
| RBF | Radial basis function |
| RT | Recognition rate |
| ET | Error rate |
| S | Sensivity |
| Sp | Specificity |
| A | Accuracy |
| PP | Positive probability |
| NP | Negative probability |
| FA | False alarm |
| QDA | Quadratic discriminant analysis |
| LDA | Linear discriminant analysis |
| MSE | Multi-scale entropy |
| MMSE | Multivariate multi-scale entropy |
References
- Wolpaw, J.R.; Birbaumer, N.; Heetderks, W.J.; McFarland, D.J.; Peckham, P.H.; Schalk, G.; Donchin, E.; Quatrano, L.A.; Robinson, C.J.; Vaughan, T.M. Brain-Computer interface technology: A review of the first international meeting. IEEE Trans. Rehabil. Eng. 2000, 8, 164–173. [Google Scholar] [CrossRef] [PubMed]
- Kanoh, S.; Miyamoto, K.; Yoshinobu, T. A P300-based BCI system for controlling computer cursor movement. In Proceedings of the 33rd Annual International Conference of the IEEE Engineering in Medicine and Biology Society (EMBC), Boston, MA, USA, 30 August–3 September 2011; pp. 6405–6408.
- Escolano, C.; Antelis, J.M.; Minguez, J. A Telepresence Mobile Robot Controlled With a Noninvasive Brain–Computer Interface. IEEE Trans. Syst. Man Cybern. B Cybern. 2012, 42, 793–804. [Google Scholar] [CrossRef] [PubMed]
- Leeb, R.; Tonin, L.; Rohm, M.; Desideri, L.; Carlson, T.; Millan, J.D.R. Towards Independence: A BCI Telepresence Robot for People With Severe Motor Disabilities. IEEE Proc. 2015, 103, 969–982. [Google Scholar] [CrossRef]
- See, A.R.; Chen, S.-C.; Ke, H.-Y.; Su, C.-Y.; Hou, P.-Y.; Liang, C.K. Hierarchical character selection for a brain computer interface spelling system. In Proceedings of the 3rd International Conference on Innovative Computing Technology (INTECH), London, UK, 29–31 August 2013; pp. 415–420.
- Wang, Y.; Li, J.; Jian, R.; Gu, R. Channel selection based on amplitude and phase characteristics for P300-based brain-computer interface. In Proceedings of the 6th International Conference on Biomedical Engineering and Informatics (BMEI), Hangzhou, China, 16–18 December 2013; pp. 202–207.
- Samizo, E.; Yoshikawa, T.; Furuhashi, T. Improvement of spelling speed in P300 speller using transition probability of letters. In Proceedings of the Joint 6th International Conference on Soft Computing and Intelligent Systems (SCIS) and 13th International Symposium on Advanced Intelligent Systems (ISIS), Kobe, Japan, 20–24 November 2012; pp. 163–166.
- Amcalar, A.; Cetin, M. A brain-computer interface system for online spelling. In Proceedings of the IEEE 18th Signal Processing and Communications Applications Conference (SIU), Diyarbakir, Turkey, 22–24 April 2010; pp. 196–199.
- Munoz, J.E.; Chavarriaga, R.; Villada, J.F.; Sebastian Lopez, D. BCI and motion capture technologies for rehabilitation based on videogames. In Proceedings of the IEEE Global Humanitarian Technology Conference (GHTC), San Jose, CA, USA, 10–13 October 2014; pp. 396–401.
- Muñoz, J.E.; Villada, J.F.; Muñoz, C.D.; Henao, O.A. Multimodal system for rehabilitation aids using videogames. In Proceedings of the IEEE Central America and Panama Convention (CONCAPAN XXXIV), Panama City, Panama, 12–14 November 2014; pp. 1–7.
- Vourvopoulos, A.; Liarokapis, F. Robot Navigation Using Brain-Computer Interfaces. In Proceedings of the IEEE 11th International Conference on Trust, Security and Privacy in Computing and Communications (TrustCom), Liverpool, UK, 25–27 June 2012; pp. 1785–1792.
- Upadhyay, R.; Kankar, P.K.; Padhy, P.K.; Gupta, V.K. Robot motion control using Brain Computer Interface. In Proceedings of the 2013 International Conference on Control, Automation, Robotics and Embedded Systems (CARE), Jabalpur, India, 16–18 December 2013; pp. 1–5.
- Chae, Y.; Jo, S.; Jeong, J. Brain-actuated humanoid robot navigation control using asynchronous Brain-Computer Interface. In Proceedings of the IEEE/EMBS 5th International Conference on Neural Engineering (NER), Cancun, Mexico, 27 April–1 May 2011; pp. 519–524.
- Chai, R.; Ling, S.H.; Hunter, G.P.; Nguyen, H.T. Mental non-motor imagery tasks classifications of brain computer interface for wheelchair commands using genetic algorithm-based neural network. In Proceedings of the 2012 International Joint Conference on Neural Networks (IJCNN), Brisbane, Australia, 10–15 June 2012; pp. 1–7.
- Chai, R.; Ling, S.H.; Hunter, G.P.; Tran, Y.; Nguyen, H.T. Classification of wheelchair commands using brain computer interface: Comparison between able-bodied persons and patients with tetraplegia. In Proceedings of the 35th Annual International Conference of the IEEE Engineering in Medicine and Biology Society (EMBC), Osaka, Japan, 3–7 July 2013; pp. 989–992.
- Chai, R.; Ling, S.H.; Hunter, G.P.; Nguyen, H.T. Toward fewer EEG channels and better feature extractor of non-motor imagery mental tasks classification for a wheelchair thought controller. In Proceedings of the 34th Annual International Conference of the IEEE Engineering in Medicine and Biology Society (EMBC), San Diego, CA, USA, 28 August–1 September 2012; pp. 5266–5269.
- Kim, H.S.; Chang, M.H.; Lee, H.J.; Park, K.S. A comparison of classification performance among the various combinations of motor imagery tasks for brain-computer interface. In Proceedings of the 6th International IEEE/EMBS Conference on Neural Engineering (NER), San Diego, CA, USA, 6–8 November 2013; pp. 435–438.
- Ofner, P.; Muller-Putz, G.R. Using a Noninvasive Decoding Method to Classify Rhythmic Movement Imaginations of the Arm in Two Planes. IEEE Trans. Biomed. Eng. 2015, 62, 972–981. [Google Scholar] [CrossRef] [PubMed]
- Tavella, M.; Leeb, R.; Rupp, R.; del Millan, J.R. Towards natural non-invasive hand neuroprostheses for daily living. In Proceedings of the 32nd Annual International Conference of the IEEE Engineering in Medicine and Biology Society (EMBC), Buenos Aires, Argentina, 1–4 September 2010; pp. 126–129.
- Ofner, P.; Muller-Putz, G.R. Decoding of velocities and positions of 3D arm movement from EEG. In Proceedings of the 34th Annual International Conference of the IEEE Engineering in Medicine and Biology Society (EMBC), San Diego, CA, USA, 28 August–1 September 2012; pp. 6406–6409.
- Sun, H.; Xiang, Y.; Sun, Y.; Zhu, H.; Zeng, J. On-line EEG classification for brain-computer interface based on CSP and SVM. In Proceedings of the 3rd International Congress on Image and Signal Processing (CISP), Yantai, China, 16–18 October 2010; pp. 4105–4108.
- Bhattacharyya, S.; Khasnobish, A.; Chatterjee, S.; Konar, A.; Tibarewala, D.N. Performance Analysis of LDA, QDA and KNN Algorithms in Left-Right Limb Movement Classification from EEG Data. In Proceedings of the 2010 International Conference on Systems in Medicine and Biology (ICSMB), Kharagpur, India, 16–18 December 2010; pp. 126–131.
- Jiralerspong, T.; Liu, C.; Ishikawa, J. Identification of three mental states using a motor imagery based brain machine interface. In Proceedings of the 2014 IEEE Symposium on Computational Intelligence in Brain Computer Interfaces (CIBCI), Orlando, FL, USA, 9–12 December 2014; pp. 49–56.
- Costa, M.D.; Goldberger, A.L. Generalized Multiscale Entropy Analysis: Application to Quantifying the Complex Volatility of Human Heartbeat Time Series. Entropy 2015, 17, 1197–1203. [Google Scholar] [CrossRef]
- Ahmed, M.U.; Mandic, D.P. Multivariate multiscale entropy: A tool for complexity analysis of multichannel data. Phys. Rev. E Stat. Nonlinear Soft Matter Phys. 2011, 84, 3067–3076. [Google Scholar] [CrossRef] [PubMed]
- Morabito, F.C.; Labate, D.; La Foresta, F.; Bramanti, A.; Morabito, G.; Palamara, I. Multivariate Multi-Scale Permutation Entropy for Complexity Analysis of Alzheimer’s Disease EEG. Entropy 2012, 14, 1186–1202. [Google Scholar] [CrossRef]
- Ell, T.A. Quaternion Fourier Transform: Re-tooling Image and Signal Processing Analysis. In Quaternion and Clifford Fourier Transforms and Wavelets, 1st ed.; Hitzer, E., Sangwine, S.J., Eds.; Birkhäuser Basel: Basel, Switzerland, 2013; pp. 3–14. [Google Scholar]
- Zhao, Y.; Hong, W.; Xu, Y.; Zhang, T. Multichannel Epileptic EEG Classification Using Quaternions and Neural Network. In Proceedings of the First International Conference on Pervasive Computing Signal Processing and Applications (PCSPA), Harbin, China, 17–19 September 2010; pp. 568–571.
- Pfurtscheller, G.; Neuper, C. Motor imagery and direct brain-computer communication. IEEE Proc. 2001, 89, 1123–1134. [Google Scholar] [CrossRef]
- Hamilton, W.R. On quaternions. Proc. R. Ir. Acad. 1847, 3, 1–16. [Google Scholar]
- Pujol, J. Hamilton, Rodrigues, Gauss, Quaternions, and Rotations: A Historical Reassessment. Commun. Math. Anal. 2012, 13, 1–14. [Google Scholar]
- Kotsiantis, S. A hybrid decision tree classifier. J. Intell. Fuzzy Syst. 2014, 26, 327–336. [Google Scholar]
- White, R.L. Astronomical Applications of Oblique Decision Trees. AIP Conf. Proc. 2008, 1082, 37–43. [Google Scholar]
- Elnaggar, A.A.; Noller, J.S. Application of Remote-sensing Data and Decision-Tree Analysis to Mapping Salt-Affected Soils over Large Areas. Remote Sens. 2010, 2, 151–165. [Google Scholar] [CrossRef]
- Xu, H.; Song, W.; Hu, Z.; Chen, C.; Zhao, X.; Zhang, J. A speedup SVM decision method for online EEG processing in motor imagery BCI. In Proceedings of the 10th International Conference on Intelligent Systems Design and Applications (ISDA), Cairo, Egypt, 29 November–1 December 2010; pp. 149–153.
- Labate, D.; Palamara, I.; Mammone, N.; Morabito, G.; La Foresta, F.; Morabito, F.C. SVM classification of epileptic EEG recordings through multiscale permutation entropy. In Proceedings of the 2013 International Joint Conference on Neural Networks (IJCNN), Dallas, TX, USA, 4–9 August 2013; pp. 1–5.
- Li, K.; Zhang, X.; Du, Y. A SVM based classification of EEG for predicting the movement intent of human body. In Proceedings of the 10th International Conference on Ubiquitous Robots and Ambient Intelligence (URAI), Jeju, Korea, 30 October–2 November 2013; pp. 402–406.
- NirmalaDevi, M.; Appavu, S.; Swathi, U.V. An amalgam KNN to predict diabetes mellitus. In Proceedings of the 2013 International Conference on Emerging Trends in Computing, Communication and Nanotechnology (ICE-CCN), Tuticorin, India, 25–26 March 2013; pp. 691–695.
- Diebel, J. Representing Attitude: Euler Angles, Unit Quaternions, and Rotation Vectors; Technical Report; Stanford University: Stanford, CA, USA, 2006. [Google Scholar]
- Haralick, R.M.; Shanmugam, K.; Dinstein, I. Textural Features for Image Classification. IEEE Trans. Syst. Man Cybern. 1973, 3, 610–621. [Google Scholar] [CrossRef]
- Ibarra-Manzano, M. Vision Multi-Caméras Pour la Detection d´obstacles sur un Robot de Service: Des Algorithms à un Système Integer. Ph.D. Thesis, University of Toulouse, Toulouse, France, January 2011. [Google Scholar]









| Operation | Formulae |
|---|---|
| Addition | |
| Multiplication | |
| Scalar product | |
| Conjugate | |
| Norm | |
| Inverse |
| Algorithm 1 |
|---|
|
End for
|
| Statistical Features | Equation |
|---|---|
| Mean | |
| Variance | |
| Contrast | |
| Homogeneity | |
| Cluster Shade | = |
| Cluster prominence | = |
| Block | BCI Channel | |||
|---|---|---|---|---|
| 1 | FC5 | FC6 | P7 | P8 |
| 2 | FC5 | FC6 | T7 | T8 |
| 3 | FC6 | FC5 | P7 | P8 |
| 4 | FC6 | FC5 | T7 | T8 |
| 5 | F3 | F4 | FC5 | FC6 |
| 6 | F3 | F4 | FC5 | FC6 |
| 7 | F4 | F3 | FC5 | FC6 |
| 8 | F4 | F3 | T7 | T8 |
| 9 | T7 | T8 | FC5 | FC6 |
| 10 | T7 | T8 | P7 | P8 |
| dt | Classification Accuracy | ||||||||
|---|---|---|---|---|---|---|---|---|---|
| DT | KNN | SVM | |||||||
| MAX | MEAN | MIN | MAX | MEAN | MIN | MAX | MEAN | MIN | |
| 1 | 0.9572 | 0.8490 | 0.7662 | 0.9440 | 0.8418 | 0.7857 | 0.7815 | 0.7748 | 0.0000 |
| 2 | 0.9551 | 0.8473 | 0.7633 | 0.9490 | 0.8439 | 0.7852 | 0.7843 | 0.7749 | 0.0000 |
| 3 | 0.9471 | 0.8476 | 0.7660 | 0.9474 | 0.8429 | 0.7851 | 0.7837 | 0.7754 | 0.7662 |
| 4 | 0.9507 | 0.8492 | 0.7686 | 0.9487 | 0.8434 | 0.7826 | 0.7828 | 0.7749 | 0.7633 |
| 5 | 0.9516 | 0.8478 | 0.7628 | 0.9468 | 0.8432 | 0.7836 | 0.7822 | 0.7750 | 0.7660 |
| 6 | 0.9468 | 0.8463 | 0.7658 | 0.9457 | 0.8412 | 0.7777 | 0.7809 | 0.7743 | 0.7686 |
| 7 | 0.9534 | 0.8474 | 0.7638 | 0.9484 | 0.8424 | 0.7876 | 0.7836 | 0.7749 | 0.7628 |
| 8 | 0.9495 | 0.8478 | 0.7760 | 0.9473 | 0.8418 | 0.7837 | 0.7820 | 0.7753 | 0.7658 |
| 9 | 0.9504 | 0.8471 | 0.7722 | 0.9499 | 0.8427 | 0.7849 | 0.7855 | 0.7748 | 0.7638 |
| 10 | 0.9568 | 0.8475 | 0.7649 | 0.9490 | 0.8433 | 0.7879 | 0.7828 | 0.7747 | 0.7753 |
| Classifier | Signal Blocks | |||||||||
|---|---|---|---|---|---|---|---|---|---|---|
| 1 | 2 | 3 | 4 | 5 | 6 | 7 | 8 | 9 | 10 | |
| DT | 0.8644 | 0.8519 | 0.8635 | 0.8514 | 0.8520 | 0.8437 | 0.8516 | 0.8485 | 0.8509 | 0.8531 |
| KNN | 0.8651 | 0.8101 | 0.8609 | 0.8418 | 0.8457 | 0.8396 | 0.8451 | 0.8431 | 0.8394 | 0.8490 |
| SVM | 0.7781 | 0.7770 | 0.7790 | 0.7799 | 0.7780 | 0.7774 | 0.7784 | 0.7784 | 0.7784 | 0.7775 |
| Classifier | Signal Blocks | |||||||||
|---|---|---|---|---|---|---|---|---|---|---|
| 1 | 2 | 3 | 4 | 5 | 6 | 7 | 8 | 9 | 10 | |
| DT | 0.8584 | 0.8472 | 0.8575 | 0.8467 | 0.8477 | 0.8398 | 0.8489 | 0.8417 | 0.8463 | 0.8478 |
| KNN | 0.8599 | 0.8370 | 0.8553 | 0.8371 | 0.8408 | 0.8357 | 0.8432 | 0.8363 | 0.8357 | 0.8457 |
| SVM | 0.7752 | 0.7752 | 0.7760 | 0.7753 | 0.7741 | 0.7741 | 0.7739 | 0.7739 | 0.7754 | 0.7746 |
| Classifier | Subjects | |||||||||
|---|---|---|---|---|---|---|---|---|---|---|
| 1 | 2 | 3 | 4 | 5 | 6 | 7 | 8 | 9 | 10 | |
| DT | 0.9427 | 0.8425 | 0.8324 | 0.8291 | 0.8662 | 0.8672 | 0.8649 | 0.8098 | 0.7632 | 0.8574 |
| KNN | 0.9471 | 0.8313 | 0.7946 | 0.8122 | 0.8534 | 0.8508 | 0.8642 | 0.7875 | 0.7735 | 0.8473 |
| SVM | 0.7625 | 0.7702 | 0.7710 | 0.7797 | 0.7811 | 0.7687 | 0.7818 | 0.7788 | 0.7581 | 0.7831 |
| Performance Measures | DT | KNN | SVM |
|---|---|---|---|
| RT | 0.8475 | 0.8362 | 0.7735 |
| ET | 0.1525 | 0.1638 | 0.2265 |
| S0 | 1 | 1 | 1 |
| S1 | 0.6505 | 0.6344 | 0.8775 |
| S2 | 0.6701 | 0.6349 | 0.0938 |
| Sp0 | 0.6598 | 0.6343 | 0.4948 |
| Sp1 | 0.9064 | 0.8964 | 0.7427 |
| Sp2 | 0.8972 | 0.8926 | 0.9638 |
| A0 | 0.9978 | 0.9979 | 0.9979 |
| A1 | 0.6944 | 0.6548 | 0.6317 |
| A2 | 0.6663 | 0.5002 | 0.1404 |
| FA0 | 0.3402 | 0.3657 | 0.5052 |
| FA1 | 0.0936 | 0.1036 | 0.2573 |
| FA2 | 0.1028 | 0.1074 | 0.0362 |
| PP0 | 4.1122 | 3.5360 | 1.9911 |
| PP1 | 8.3456 | 6.6754 | 3.3885 |
| PP2 | 8.6331 | 8.4926 | 0.9183 |
| NP0 | 0 | 0 | 0 |
| NP1 | 0.3830 | 0.4094 | 0.1524 |
| NP2 | 0.3647 | 0.4107 | 0.9343 |
© 2016 by the authors; licensee MDPI, Basel, Switzerland. This article is an open access article distributed under the terms and conditions of the Creative Commons by Attribution (CC-BY) license (http://creativecommons.org/licenses/by/4.0/).
Share and Cite
Batres-Mendoza, P.; Montoro-Sanjose, C.R.; Guerra-Hernandez, E.I.; Almanza-Ojeda, D.L.; Rostro-Gonzalez, H.; Romero-Troncoso, R.J.; Ibarra-Manzano, M.A. Quaternion-Based Signal Analysis for Motor Imagery Classification from Electroencephalographic Signals. Sensors 2016, 16, 336. https://doi.org/10.3390/s16030336
Batres-Mendoza P, Montoro-Sanjose CR, Guerra-Hernandez EI, Almanza-Ojeda DL, Rostro-Gonzalez H, Romero-Troncoso RJ, Ibarra-Manzano MA. Quaternion-Based Signal Analysis for Motor Imagery Classification from Electroencephalographic Signals. Sensors. 2016; 16(3):336. https://doi.org/10.3390/s16030336
Chicago/Turabian StyleBatres-Mendoza, Patricia, Carlos R. Montoro-Sanjose, Erick I. Guerra-Hernandez, Dora L. Almanza-Ojeda, Horacio Rostro-Gonzalez, Rene J. Romero-Troncoso, and Mario A. Ibarra-Manzano. 2016. "Quaternion-Based Signal Analysis for Motor Imagery Classification from Electroencephalographic Signals" Sensors 16, no. 3: 336. https://doi.org/10.3390/s16030336
APA StyleBatres-Mendoza, P., Montoro-Sanjose, C. R., Guerra-Hernandez, E. I., Almanza-Ojeda, D. L., Rostro-Gonzalez, H., Romero-Troncoso, R. J., & Ibarra-Manzano, M. A. (2016). Quaternion-Based Signal Analysis for Motor Imagery Classification from Electroencephalographic Signals. Sensors, 16(3), 336. https://doi.org/10.3390/s16030336

