Disposable Fluorescence Optical pH Sensor for Near Neutral Solutions
Abstract
:1. Introduction
2. Materials and Methods
2.1. Theoretical Background
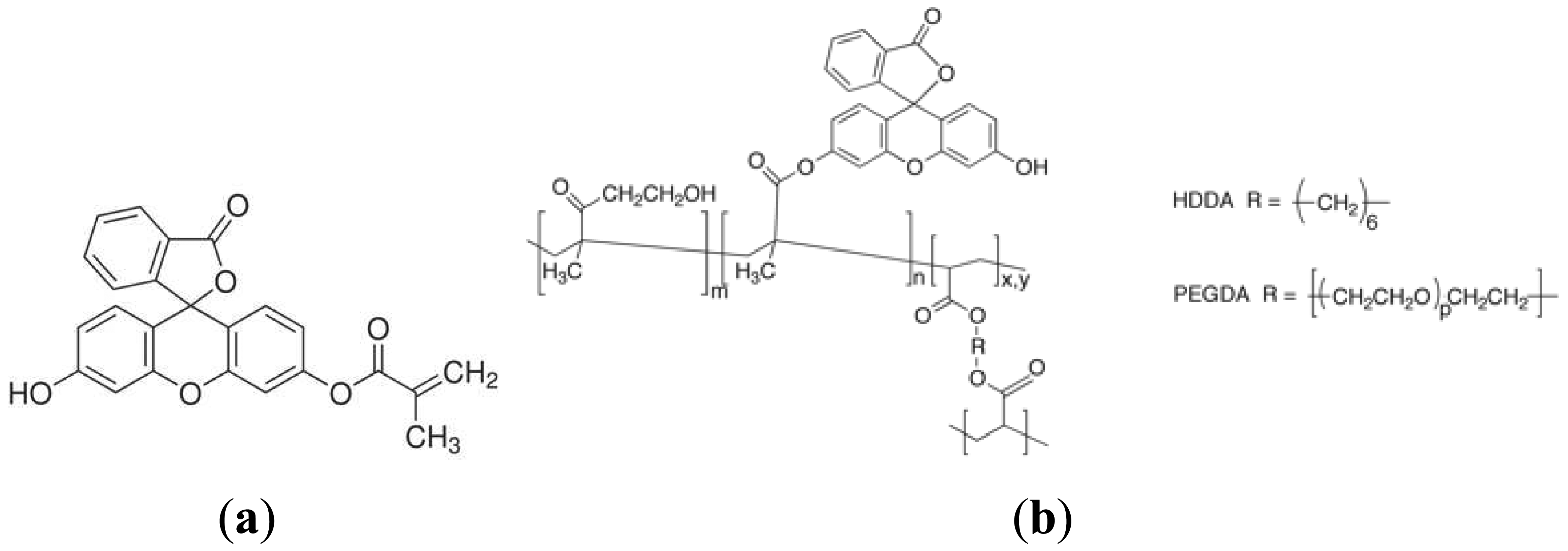
2.2. Polymer Sensing Element
2.2.1. Fabrication of the Polymer Matrix
2.3. Optical Reading Head
2.4. Front-End and Signal Elaboration Electronics
3. Experimental Results
3.1. Characterization of the Sensor pKa
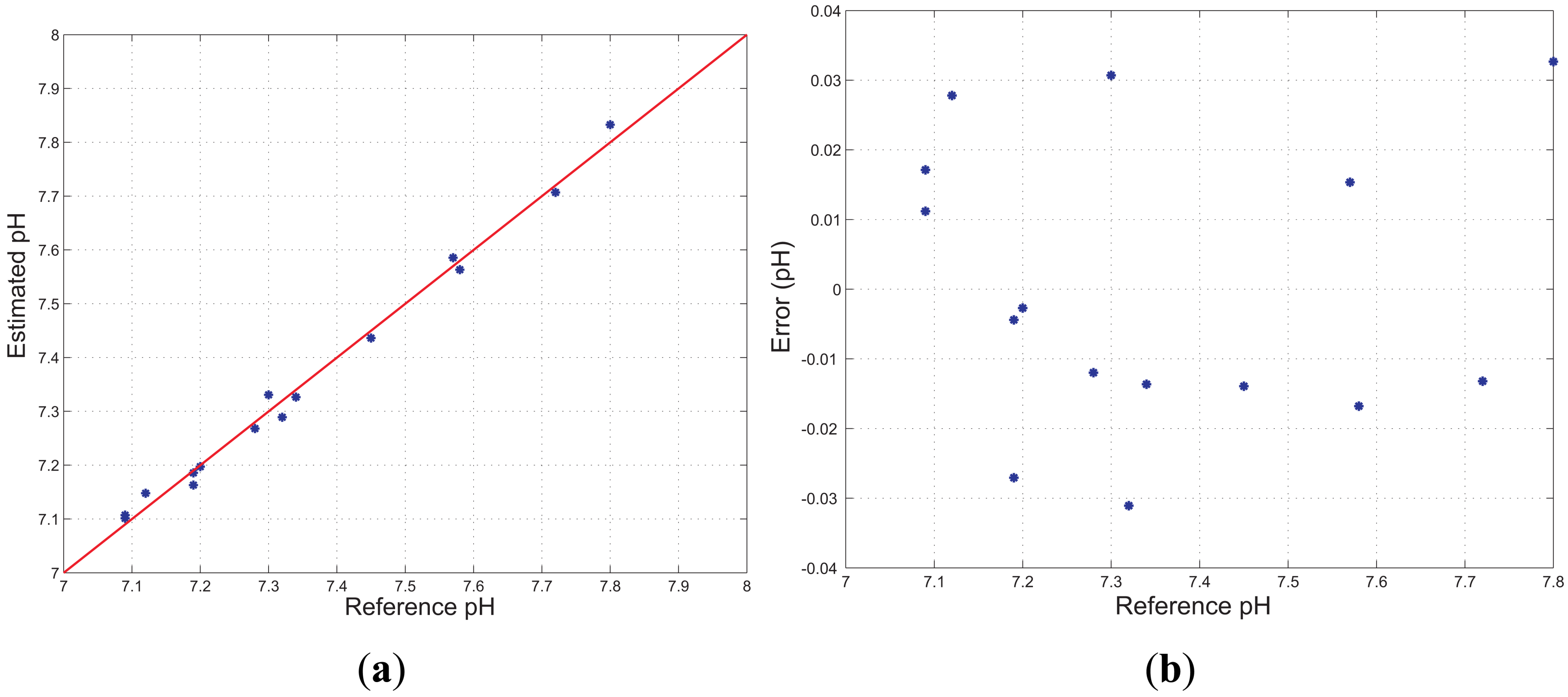
3.2. Evaluation of the Non-Linearity Error
3.3. Short Term Stability
3.4. Response Time
3.5. Reproducibility
4. Discussion and Conclusions
References
- Dybko, A.; Wroblewski, W.; Rozniecka, E.; Pozniak, K.; Maciejewski, J.; Romaniuk, R.; Brzozka, Z. Assessment of water quality based on multiparameter fiber optic probe. Sens. Actuators B Chem. 1998, 51, 208–213. [Google Scholar]
- Schirrmann, M.; Gebbers, R.; Kramer, E.; Seidel, J. Soil pH mapping with an on-the-go sensor. Sensors 2011, 11, 573–598. [Google Scholar]
- Kermis, H.R.; Kostov, Y.; Harms, P.; Rao, G. Dual excitation ratiometric fluorescent pH sensor for noninvasive bioprocess monitoring: Development and application. Biotechnol. Progr. 2002, 18, 1047–1053. [Google Scholar]
- Gannot, I.; Ron, I.; Hekmat, F.; Chernomordik, V.; Gandjbakhche, A. Functional optical detection based on pH dependent fluorescence lifetime. Lasers Surg. Med. 2004, 35, 342–348. [Google Scholar]
- Lin, J. Recent development and applications of optical and fiber-optic pH sensors. Trends Anal. Chem. 2000, 19, 541–552. [Google Scholar]
- Bilro, L.; Alberto, N.; Pinto, J.L.; Nogueira, R. Optical sensors based on plastic fibers. Sensors 2012, 12, 12184–12207. [Google Scholar]
- Johnson, I.; Spence, M.T.Z. Molecular Probes Handbook, A Guide to Fluorescent Probes and Labeling Technologies, 11th ed.; Invitrogen Life Technologies: Carlsbad, CA, USA, 2010. [Google Scholar]
- Xu, H.; Sadik, O.A. Design of a simple optical sensor for the detection of concentrated hydroxide ions in an unusual pH range. Analyst 2000, 125, 1783–1786. [Google Scholar]
- Choi, M.F. Spectroscopic behaviour of 8-hydroxy-1,3,6-pyrenetrisulphonate immobilized in ethyl cellulose. J. Photochem. Photobiol A Chem. 1997, 104, 207–212. [Google Scholar]
- Richter, A.; Paschew, G.; Klatt, S.; Lienig, J.; Arndt, K.F.; Adler, H.J.P. Review on hydrogel-based pH sensors and microsensors. Sensors 2008, 8, 561–581. [Google Scholar]
- Cajlakovic, M.; Lobnik, A.; Werner, T. Stability of new optical pH sensing material based on cross-linked poly(vinyl alcohol) copolymer. Anal. Chim. Acta 2002, 455, 207–213. [Google Scholar]
- Wencel, D.; MacCraith, B.; McDonagh, C. High performance optical ratiometric sol-gel-based pH sensor. Sens. Actuators B Chem. 2009, 139, 208–213. [Google Scholar]
- Rovati, L.; Fabbri, P.; Ferrari, L.; Pilati, F. Construction and evaluation of a disposable pH sensor based on a large core plastic optical fiber. Rev. Sci. Instrum. 2011, 82. [Google Scholar] [CrossRef]
- Kostov, Y.; Rao, G. Low-cost optical instrumentation for biomedical measurements. Rev. Sci. Instrum. 2000, 71, 4361–4374. [Google Scholar]
- Weidgans, B.M. New Fluorescent Optical pH Sensors with Minimal Effects of Ionic Strength. Ph. D. Thesis, Publikationsserver der Universitat Regensburg, Regensburg, Germany, 2004. [Google Scholar]
- Tusa, J.K.; Leiner, M.J.P. Optodes Fluorescentes Pour Analytes de L'urgence. Proceedings of the Annales de Biologie Clinique, Dossier: 2e Symposium International ‘Gazomtrie Sanguine, Biocapteurs et Mthodes Optiques’, Rennes, France, 30– 31 May 2002.
- Povrozin, Y.A.; Markova, L.I.; Tatarets, A.L.; Sidorov, V.I.; Terpetschnig, E.A.; Patsenker, L.D. Near-infrared, dual-ratiometric fluorescent label for measurement of pH. Anal. Biochem. 2009, 390, 136–140. [Google Scholar]
- Vasylevska, A.S.; Karasyov, A.A.; Borisov, S.M.; Krause, C. Novel coumarin-based fluorescent pH indicators, probes and membranes covering a broad pH range. Anal. Bioanal. Chem. 2007, 387, 2131–2141. [Google Scholar]
- Szabelski, M.; Guzow, K.; Rzeska, A.; Malicka, J.; Przyborowska, M.; Wiczk, W. Acidity of carboxyl group of tyrosine and its analogues and derivatives studied by steady-state fluorescence spectroscopy. J. Photochem. Photobiol. A Chem. 2002, 152, 73–78. [Google Scholar]
- Li, L.; Lee, L.J. Photopolymerization of HEMA/DEGDMA hydrogels in solution. Polymer 2005, 46, 11540–11547. [Google Scholar]
- Son, Y.K.; Jung, Y.P.; Kim, J.H.; Chung, D.J. Preparation and properties of PEG-modified PHEMA hydrogel and the morphological effect. Macromol. Res. 2006, 14, 394–399. [Google Scholar]
- Tian, Y.; Su, F.; Weber, W.; Nandakumar, V.; Shumway, B.R.; Jin, Y.; Zhou, X.; Holl, M.R.; Johnson, R.H.; Meldrum, D.R. A series of naphthalimide derivatives as intra and extracellular pH sensors. Biomaterials 2010, 31, 7411–7422. [Google Scholar]
- Lu, H.; Jin, Y.; Tian, Y.; Zhang, W.; Holl, M.R.; Meldrum, D.R. New ratiometric optical oxygen and pH dual sensors with three emission colors for measuring photosynthetic activity in cyanobacteria. J. Mater. Chem. 2011, 21, 19293–19301. [Google Scholar]
- Ferrari, L.; Fabbri, P.; Rovati, L.; Pilati, F. Photobleaching Effects in Organic Thin Film Sensing Probes. Proceedings of the 2012 IEEE International Instrumentation and Measurement Technology Conference, Graz, Austria, 13– 16 May 2012; pp. 1235–1239.
- Klonis, N.; Sawyer, W.H. Spectral properties of the prototropic forms of fluorescein in aqueous solution. J. Fluorescence 1996, 6, 147–157. [Google Scholar]














| Rise timeτ90(min) | Fall timeτ90(min) | |
|---|---|---|
| pH = 7.0 → 8.0 | 54.0 | 23.0 |
| pH = 8.0 → 9.0 | 9.5 | 17.0 |
| pH = 7.0 → 9.0 | 14.0 | 26.0 |
© 2013 by the authors; licensee MDPI, Basel, Switzerland. This article is an open access article distributed under the terms and conditions of the Creative Commons Attribution license (http://creativecommons.org/licenses/by/3.0/).
Share and Cite
Ferrari, L.; Rovati, L.; Fabbri, P.; Pilati, F. Disposable Fluorescence Optical pH Sensor for Near Neutral Solutions. Sensors 2013, 13, 484-499. https://doi.org/10.3390/s130100484
Ferrari L, Rovati L, Fabbri P, Pilati F. Disposable Fluorescence Optical pH Sensor for Near Neutral Solutions. Sensors. 2013; 13(1):484-499. https://doi.org/10.3390/s130100484
Chicago/Turabian StyleFerrari, Luca, Luigi Rovati, Paola Fabbri, and Francesco Pilati. 2013. "Disposable Fluorescence Optical pH Sensor for Near Neutral Solutions" Sensors 13, no. 1: 484-499. https://doi.org/10.3390/s130100484
APA StyleFerrari, L., Rovati, L., Fabbri, P., & Pilati, F. (2013). Disposable Fluorescence Optical pH Sensor for Near Neutral Solutions. Sensors, 13(1), 484-499. https://doi.org/10.3390/s130100484
