The Effect of Goat Grazing on the Biodiversity of Pannonian Dry Grassland
Abstract
1. Introduction
- Moderate goat grazing prevents shrub encroachment without reducing grass cover.
- Due to the combination of different treatments over time, the meadow is the most valuable site in terms of grassland management.
2. Materials and Methods
2.1. Study Areas
2.2. Statistical Analysis
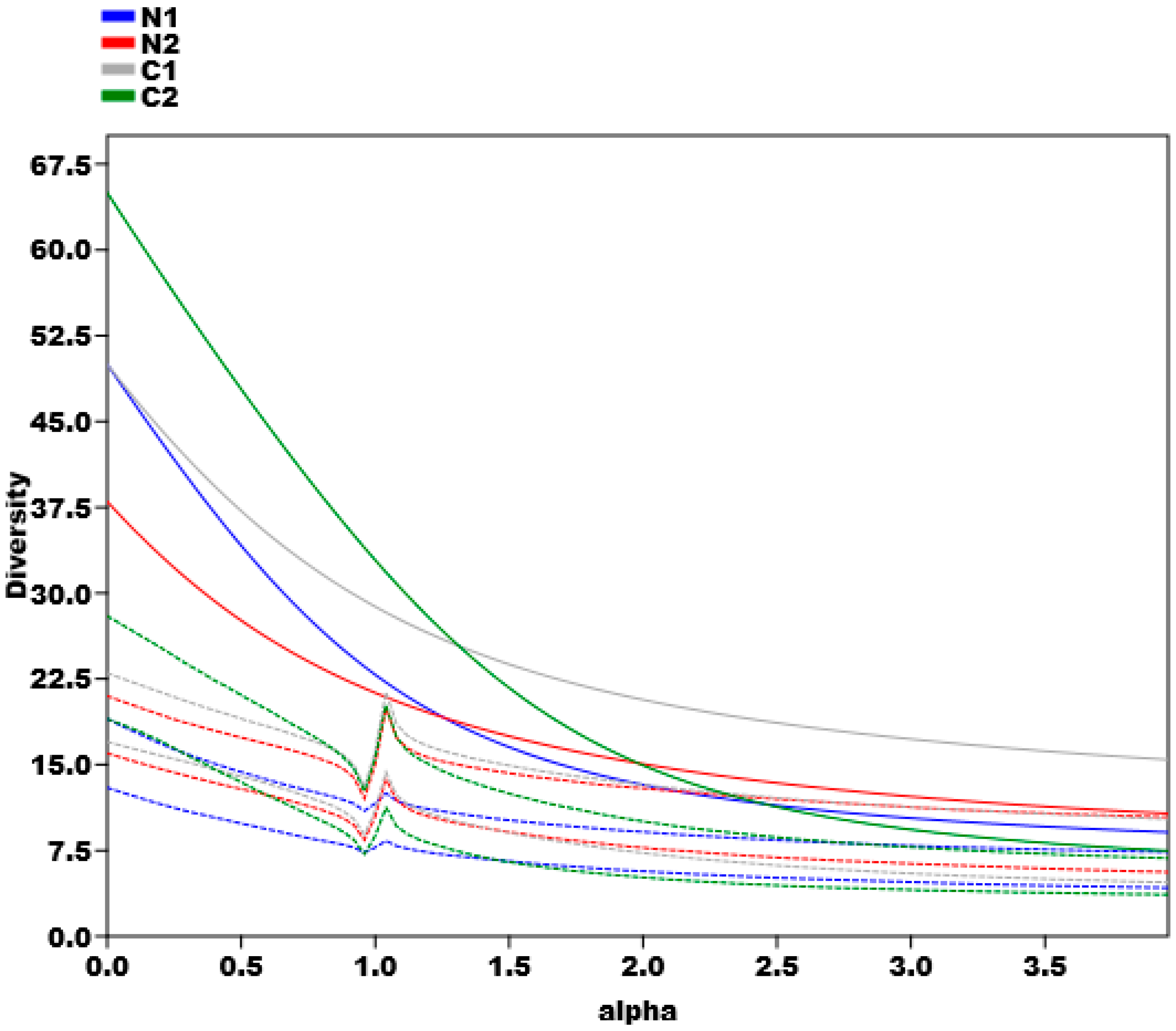
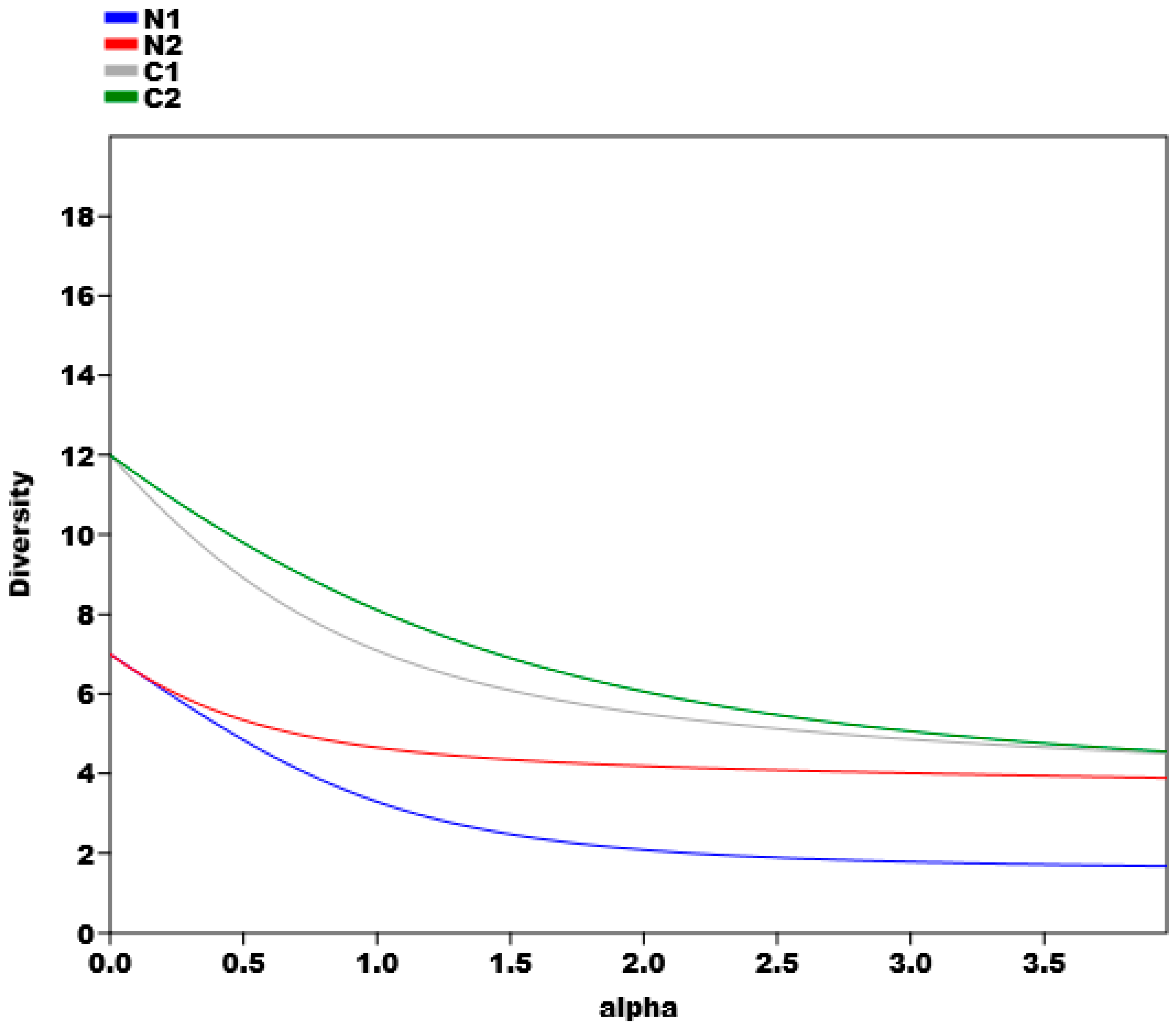
3. Results
Life Form Distributions
4. Discussion
5. Conclusions
Author Contributions
Funding
Institutional Review Board Statement
Data Availability Statement
Conflicts of Interest
References
- Sala, O.E.; Lauenroth, W.K.; McNaughton, S.J.; Rusch, G.; Zhang, X. Biodiversity and ecosystem functioning in grasslands. In Functional Roles of Biodiversity: A Global Perspective; Mooney, H.A., Cushman, J.H., Medina, E., Sala, O.E., Schulze, E.D., Eds.; Wiley: Hoboken, NJ, USA, 1996; pp. 129–149. [Google Scholar]
- Adler, P.B.; Lauenroth, W.K. Livestock exclusion increases the spatial heterogeneity of vegetation in Colorado shortgrass steppe. Appl. Veg. Sci. 2000, 3, 213–222. [Google Scholar] [CrossRef]
- Peco, B.; Sánchez, A.M.; Azcárate, F.M. Abandonment in grazing systems: Consequences for vegetation and soil. Agric. Ecosys. Environ. 2006, 113, 284–294. [Google Scholar] [CrossRef]
- Meers, T.L.; Bell, T.L.; Enright, N.J.; Kasel, S. Role of plant functional traits in determining vegetation composition of abandoned grazing land in north-eastern Victoria, Australia. J. Veg. Sci. 2008, 19, 515–524. [Google Scholar] [CrossRef]
- Milchunas, D.G.; Sala, O.E.; Laurenroth, W.K. A generalized model of grazing by large herbivores on grassland community structure. Am. Nat. 1988, 132, 87–106. [Google Scholar] [CrossRef]
- Milchunas, D.G.; Lauenroth, W. Quantitative effects of grazing on vegetation and soils over a global range of environments. Ecol. Monogr. 1993, 6, 327–366. [Google Scholar] [CrossRef]
- Chesson, P. Mechanisms of maintenance of species diversity. Annu. Rev. Ecol. Syst. 2000, 31, 343–366. [Google Scholar] [CrossRef]
- Collins, S.L.; Chung, Y.A.; Baur, L.E.; Hallmark, A.; Ohlert, T.J.; Rudgers, J.A. Press–pulse interactions and long-term community dynamics in a Chihuahuan Desert grassland. J. Veg. Sci. 2020, 31, 722–732. [Google Scholar] [CrossRef]
- Adler, P.B.; Levine, J.M. Contrasting relationships between precipitation and species richness in space and time. Oikos 2007, 116, 221–232. [Google Scholar] [CrossRef]
- Cleland, E.E.; Collins, S.L.; Dickson, T.L.; Farrer, E.C.; Gross, K.L.; Gherardi, L.A.; Hallett, L.M.; Hobbs, R.J.; Hsu, J.S.; Turnbull, L.; et al. Sensitivity of grassland plant community composition to spatial vs. temporal variation in precipitation. Ecology 2013, 94, 1687–1696. [Google Scholar] [CrossRef]
- Harrison, S.P.; Gornish, E.S.; Copeland, S. Climate-driven diversity loss in a grassland community. Proc. Natl. Acad. Sci. USA 2015, 112, 8672–8677. [Google Scholar] [CrossRef] [PubMed]
- Jonas, J.L.; Buhl, D.A.; Symstad, A.J. Impacts of weather on long-term patterns of plant richness and diversity vary with location and management. Ecology 2015, 96, 2417–2432. [Google Scholar] [CrossRef]
- Wilcox, K.R.; Shi, Z.; Gherardi, L.A.; Lemoine, N.P.; Koerner, S.E.; Hoover, D.L.; Bork, E.; Byrne, K.M.; Cahill, J., Jr.; Collins, S.L.; et al. Asymmetric responses of primary productivity to precipitation extremes: A synthesis of grassland precipitation manipulation experiments. Glob. Chang Biol. Bioenergy 2017, 23, 4376–4385. [Google Scholar] [CrossRef]
- Bartha, S.; Szabó, G.; Csete, S.; Purger, D.; Házi, J.; Csathó, A.I.; Campetella, G.; Canullo, R.; Chelli, S.; Tsakalos, J.L.; et al. High-Resolution Transect Sampling and Multiple Scale Diversity Analyses for Evaluating Grassland Resilience to Climatic Extremes. Land 2022, 11, 378. [Google Scholar] [CrossRef]
- Díaz, S.; Lavorel, S.; McIntyre, S.; Falczuk, V.; Casanoves, F.; Milchunas, D.G.; Skarpe, C.; Rush, G.; Sternber, M.; Noy-Meir, I.; et al. Plant trait responses to grazing—A global synthesis. Glob. Chang Biol. Bioenergy 2007, 13, 313–341. [Google Scholar] [CrossRef]
- Wilson, J.B.; Peet, R.K.; Dengler, J.; Pärtel, M. Plant species richness: The world records. J. Veg. Sci. 2012, 23, 796–802. [Google Scholar] [CrossRef]
- Dumont, B.; Rossignol, N.; Loucougaray, G.; Carrère, P.; Chadoeuf, J.; Fleurance, G.; Bonis, A.; Farruggia, A.; Gaucherand, S.; Ginane, C.; et al. When does grazing generate stable vegetation patterns in temperate pastures? Agric. Ecosyst. Environ. 2012, 153, 50–56. [Google Scholar] [CrossRef]
- Rook, A.J.; Dumont, B.; Isselstein, J.; Osoro, K.; WallisDeVries, M.F.; Parente, G.; Mills, J. Matching type of livestock to desired biodiversity outcomes in pastures—A review. Biol. Conserv. 2004, 119, 137–150. [Google Scholar] [CrossRef]
- Marion, B.; Bonis, A.; Bouzillé, J.-B. How much does grazing-induced heterogeneity impact plant diversity in wet grasslands? Écoscience 2010, 17, 229–239. [Google Scholar] [CrossRef]
- Tonn, B.; Raab, C.; Isselstein, J. Sward patterns created by patch grazing are stable over more than a decade. Grass Forage Sci. 2019, 74, 104–114. [Google Scholar] [CrossRef]
- Wrage, N.; Strodthoff, J.; Cuchillo, H.M.; Isselstein, J.; Kayser, M. Phytodiversity of temperate permanent grasslands: Ecosystem services for agriculture and livestock management for diversity conservation. Biodivers. Conserv. 2011, 20, 3317–3339. [Google Scholar] [CrossRef]
- Olff, H.; Ritchie, M.E. Effects of herbivores on grassland plant diversity. Trends Ecol. Evol. 1998, 13, 261–265. [Google Scholar] [CrossRef] [PubMed]
- Magurran, A.E.; Baillie, S.R.; Buckland, S.T.; Dick, J.M.P.; Elston, D.A.; Scott, E.M.; Smith, R.I.; Somerfield, P.J.; Watt, A.D. Long-term datasets in biodiversity research and monitoring: Assessing change in ecological communities through time. Trends Ecol. Evol. 2010, 25, 574–582. [Google Scholar] [CrossRef]
- De Bello, F.; Valencia, E.; Ward, D.; Hallett, L. Why we still need permanent plots for vegetation science. J. Veg. Sci. 2020, 31, 679–685. [Google Scholar] [CrossRef]
- Biró, M.; Révész, A.; Molnár, Z.; Horváth, F.; Czúcz, B. Regional habitat pattern of the Duna-Tisza köze in Hungary II: The sand, the steppe and the riverine vegetation; degraded and ruined habitats. Acta Bot. Hung. 2008, 50, 21–62. [Google Scholar] [CrossRef]
- Kelemen, A.; Török, P.; Valkó, O.; Deák, B.; Miglécz, T.; Tóth, K.; Ölvedi, T.; Tóthmérész, B. Sustaining recovered grasslands is not likely without proper management: Vegetation changes and large-scale evidences after cessation of mowing. Biodivers. Conserv. 2014, 23, 741–751. [Google Scholar] [CrossRef]
- Margóczi, K. Interspecific associations in different succesional stages of the vegetation in a Hungarian sandy area. Tiscia 1995, 29, 19–26. [Google Scholar]
- Valkó, O.; Török, P.; Deák, B.; Tóthmérész, B. Prospects and limitations of prescribed burning as a management tool in European grasslands. Basic Appl. Ecol. 2014, 15, 26–33. [Google Scholar] [CrossRef]
- Catorci, A.; Piermarteri, K.; Penksza, K.; Házi, J.; Tardella, F.M. Filtering effect of temporal niche fluctuation and amplitude of environmental variations on the trait-related flowering patterns: Lesson from sub-Mediterranean grasslands. Sci. Rep. 2017, 7, 12034. [Google Scholar] [CrossRef]
- Deák, B.; Valkó, O.; Török, P.; Kelemen, A.; Tóth, K.; Miglécz, T.; Tóthmérész, B. Reed cut, habitat diversity and productivity in wetlands. Ecol. Complex. 2015, 22, 121–125. [Google Scholar] [CrossRef]
- Török, P.; Valkó, O.; Deák, B.; Kelemen, A.; Tóthmérész, B. Traditional cattle grazing in a mosaic alkali landscape: Effects on grassland biodiversity along a moisture gradient. PLoS ONE 2014, 9, e97095. [Google Scholar] [CrossRef] [PubMed]
- Valkó, O.; Török, P.; Matus, G.; Tóthmérész, B. Is regular mowing the most appropriate and cost-effective management maintaining diversity and biomass of target forbs in mountain hay meadows? Flora 2012, 207, 303–309. [Google Scholar] [CrossRef]
- Házi, J.; Penksza, K.; Bartha, S.; Hufnagel, L.; Tóth, A.; Gyuricza, C.; Szentes, S. Cut mowing and grazing effects with grey cattle on plant species composition in case of Pannon wet grasslands. Appl. Ecol. Environ. Res. 2012, 10, 223–231. [Google Scholar] [CrossRef]
- Szentes, S.; Sutyinszki, Z.; Szabó, G.; Zimmermann, Z.; Házi, J.; Wichmann, B.; Hufnalgel, L.; Penksza, K.; Bartha, S. Grazed Pannonian grassland beta-diversity changes due to C4 yellow bluestem. Cent. Eur. J. Biol. 2012, 7, 1055–1065. [Google Scholar] [CrossRef]
- Milazzo, F.; Francksen, R.M.; Abdalla, M.; Ravetto Enri, S.; Zavattaro, L.; Pittarello, M.; Hejduk, S.; Newell-Price, P.; Schils, R.L.M.; Smith, P.; et al. An Overview of Permanent Grassland Grazing Management Practices and the Impacts on Principal Soil Quality Indicators. Agronomy 2023, 13, 1366. [Google Scholar] [CrossRef]
- Mucina, L.; Bültmann HDierßen, K.; Theurillat, J.-P.; Raus, T.; Čarni, A.; Šumberová, K.; Willner, W.; Dengler, J.; Tichý, L. Vegetation of Europe: Hierarchical floristic classification system of plant, bryophyte, lichen, and algal communities. Appl. Veg. Sci. 2016, 19, 3–264. [Google Scholar] [CrossRef]
- Wesche, K.; Ambarlı, D.; Kamp, J.; Török, P.; Treiber, J.; Dengler, J. The Palaearctic steppe biome: A new synthesis. Biodivers. Conserv. 2016, 25, 2197–2231. [Google Scholar] [CrossRef]
- Borhidi, A.; Kevey, B.; Lendvai, G.; Seregélyes, T. Plant Communities of Hungary; Akadémiai Kiadó: Hungary, Budapest, 2012. [Google Scholar]
- Dostálek, J.; Frantík, T. Dry grassland plant diversity conservation using low-intensity sheep and goat grazing management: Case study in Prague (Czech Republic). Biodivers. Conserv. 2008, 17, 1439–1454. [Google Scholar] [CrossRef]
- Jáuregui, B.M.; García, U.; Osoro, K.; Celaya, R. Sheep and Goat Grazing Effects on Three Atlantic Heathland Types. Rangel. Ecol. Manag. 2009, 62, 119–126. [Google Scholar] [CrossRef]
- Jauregui, B.M.; Rosa-Garcia, R.; Garcia, U.; WallisDeVries, M.F.; Osoro, K.; Celaya, R. Effects of stocking density and breed of goats on vegetation and grasshopper occurrence in heathlands. Agric. Ecosyst. Environ. 2008, 123, 219–224. [Google Scholar] [CrossRef]
- Stilling, F.; Penksza, K.; Hajnáczki, S.; Szentes, S.; Fűrész, A.; Sipos, L.; Penksza, P.; Saláta, D.; Melenya, C.; Wagenhoffer, Z.; et al. Botanical and turf management evaluation in goat pastures established from Pannonian natural and abandoned arable land. Small Rumin. Res. 2023, 229, 107119. [Google Scholar] [CrossRef]
- Pajor, F.; Kerti, A.; Penksza, K.; Kuchtik, J.; Szekely, Z.H.; Béres, A.; Czinkota, I.; Szentes, S.; Póti, P. Improving nutritional quality of the goat milk by grazing. Appl. Ecol. Environ. Res. 2014, 12, 301–307. [Google Scholar] [CrossRef]
- Hajnáczki, S.; Pajor, F.; Péter, N.; Bodnár, Á.; Penksza, K.; Póti, P. Solidago gigantea Ait. and Calamagrostis epigejos (L) Roth invasive plants as potential forage for goats. Not. Bot. Horti Agrobot. Cluj Napoca 2021, 49, 12197. [Google Scholar] [CrossRef]
- Bhardwaj, J.K.; Kumar, V.; Saraf, P.; Kumari, P.; Mittal, M. Current status and changing national scenario of goat population: A review. Agric. Rev. 2018, 39, 91–103. [Google Scholar] [CrossRef]
- Benthien, O.; Braun, M.; Riemann, J.C.; Stolter, C. Long-term effect of sheep and goat grazing on plant diversity in a semi-natural dry grassland habitat. Heliyon 2018, 4, e00556. [Google Scholar] [CrossRef]
- Arévalo, J.R.; Chinea, E.; Barquin, C. Pasture management under goat grazing on Canary Islands. Agric. Ecosyst. Environ. 2007, 118, 291–296. [Google Scholar] [CrossRef]
- Fernández-Lugo, S.; Ramón Areévalo, J.; de Nascimento, L.; Mata, J.; Bermejo, L.A. Long-term vegetation responses to different goatgrazing regimes in semi-natural ecosystems: A casestudy in Tenerife (Canary Islands). Appl. Veg. Sci. 2013, 16, 74–83. [Google Scholar] [CrossRef]
- Landau, S.; Perevolotsky, A.; Bonfils, D.; Barkai, D.; Silanikove, N. Utilization of low quality resources by small ruminants in Mediterranean agro-pastoral systems: The case of browse and aftermath cereal stubble. Livest. Prod. Sci. 2000, 64, 39–49. [Google Scholar] [CrossRef]
- Mahieu, M.; Archimède, H.; Fleury, J.; Mandonn, N.; Alexandre, G. Intensive grazing system for small ruminants in the Tropics: The French West Indies experience and perspectives. Small Rumin. Res. 2008, 77, 195–207. [Google Scholar] [CrossRef]
- Schlecht, E.; Dickhöfer, U.; Predotova, M.; Buerkert, A. The importance of semi-arid natural mountain pastures for feed intake and recycling of nutrients by traditionally managed goats on the Arabian Peninsula. J. Arid. Environ. 2011, 75, 1136–1146. [Google Scholar] [CrossRef]
- Lo Presti, V.; Tudisco, R.; Di Rosa, A.R.; Musco, N.; Iommelli, P.; Infascelli, F.; Grossi, M.; Ferrara, M.; Chiofalo, B.; Lombardi, P.; et al. Influence of season on milk fatty acid profile and sensory characteristics of grazing goats in a Mediterranean environment: A sustainable agro-food system. Anim. Prod. Sci. 2023, 63, 689–703. [Google Scholar] [CrossRef]
- Cissé, M.; Lya, I.; Nianogo, A.J.; Sané, I.; Sawadogo, J.G.; N’Diaye, M.; Awad, C.; Fall, Y. Grazing behavior and milk yield of Senegalese Sahel goat. Small Rumin. Res. 2002, 43, 85–95. [Google Scholar] [CrossRef]
- Braun-Blanquet, J. Pflanzensoziologie II.; Springer: Wien, Austria, 1964. [Google Scholar]
- Simon, T. A Magyar Edényes Flóra Határozója [Definier of the Hungarian Vascular Flora]; Tankönyvkiadó: Hungary, Budapest, 2000. [Google Scholar]
- Borhidi, A. Social behavior types, the naturalness and relative ecological indicator values of the highre plants in the Hungarian Flora. Acta Bot. Acad. Sci. Hung. 1995, 39, 97–181. [Google Scholar]
- Pignatti, S. Valori di bioindicazione delle piante vascolari della flora d’Italia. Braun Blanquetia 2005, 39, 1–97. [Google Scholar]
- Király, G. (Ed.) New Hungarian Herbal. The Vascular Plants of Hungary. Identification Key; Aggteleki Nemzeti Park Igazgatóság: Jósvafő, Hungary, 2009. [Google Scholar]
- Saitou, N.; Nei, M. The neighbor-joining method: A new method for reconstructing phylogenetic trees. Mol. Biol. Evol. 1987, 4, 406–425. [Google Scholar] [CrossRef] [PubMed]
- Balázs, F. Botanical and Economic Evaluation of Grasslands; Mezőgazdasági kiadó: Budapest, Hungary, 1960. [Google Scholar]
- Klapp, E.; Boeker, P.; König, F.; Stählin, A. Wertzahlen der Grünlandpflanzen. Grünland 1953, 2, 38–40. [Google Scholar]
- Briemle, G.; Nitsche, S.; Nitsche, L. Nutzungswertzahlen für Gefäßpflanzen des Grünlandes. Schriftenreihe für Vegetationskunde; Bundesamt für Naturschutz: Bonn, Germany, 2002; pp. 203–225. [Google Scholar]
- Addinsoft, XLSTAT. Data Analysis and Statistical Solution for Microsoft Excel. Long Island, NY, USA. 2016. Available online: https://www.xlstat.com/fr/ (accessed on 5 January 2023).
- Tóthmérész, B. Comparison of different methods for diversity ordering. J. Veg. Sci. 1995, 6, 283–290. [Google Scholar] [CrossRef]
- Bartha, S. Életre keltett mintázatok. A JNP modellekről. In Teremtő Sokféleség. Emlékezések Juhász-Nagy Pálra; Oborny, B., Ed.; Acad. Press: Budapest, Hungary, 2001; pp. 61–95. [Google Scholar]
- Bartha, S. A vegetáció leírásának módszertani alapjai. In Agrártájak Növényzetének Monitorozása. A Hatás-Monitorozás Elméleti Alapjai és Gyakorlati Lehetőségei; Horváth, A., Szitár, K., Eds.; MTA ÖBKI: Vácrátót, Hungary, 2007; pp. 92–113. [Google Scholar]
- Li, Z.; Ma, W.; Liang, C.; Liu, Z.; Wang, W.; Wang, L. Long-term vegetation dynamics driven by climatic variations in the Inner Mongolia grassland: Findings from 30-year monitoring. Landsc. Ecol. 2015, 30, 1701–1711. [Google Scholar] [CrossRef]
- Herrero-Jáuregui, C.; Oesterheld, M. Effects of grazing intensity on plant richness and diversity: A meta-analysis. Oikos 2018, 127, 757–766. [Google Scholar] [CrossRef]
- van Klink, R.; Nolte, S.; Mandema, F.S.; Lagendijk, D.D.G.; WallisDeVries, M.F.; Bakker, J.P.; Esselink, P.; Smit, C. Effects of grazing management on biodiversity across trophic levels–The importance of livestock species and stocking density in salt marshes. Agric. Ecosyst. Environ. 2016, 235, 329–339. [Google Scholar] [CrossRef]
- Milchunas, D.G.; Varnamkhasti, A.S.; Lauenroth, W.K.; Goetz, H. Forage quality in relation to long-term grazing history, current-year defoliation, and water resource. Oecologia 1995, 101, 366–374. [Google Scholar] [CrossRef] [PubMed]
- Pauler, C.M.; Isselstein, J.; Suter, M.; Berard, J.; Braunbeck, T.; Schneider, M.K. Choosy grazers: Influence of plant traits on forage selection by three cattle breeds. Funct. Ecol. 2020, 34, 980–992. [Google Scholar] [CrossRef]
- Klimek, S.; Anne Richter gen Kemmermann, A.R.; Hofmann, M.; Isselstein, J. Plant species richness and composition in managed grasslands: The relative importance of field management and environmental factors. Biol. Conserv. 2007, 134, 559–570. [Google Scholar] [CrossRef]
- Farruggia, A.; Dumont, B.; D’Hour, P.; Egal, D. Petit M Diet selection of dry and lactating beef cows grazing extensive pastures in late autumn. Grass For. Sci. 2006, 61, 347–353. [Google Scholar] [CrossRef]
- Koczura, M.; Martin, B.; Bouchon, M.; Turille, G.; Berard, J.; Farruggia, A.; Kreuzer, M.; Coppa, M. Grazing behaviour of dairy cows on biodiverse mountain pastures is more influenced by slope than cow breed. Animal 2019, 13, 2594–2602. [Google Scholar] [CrossRef] [PubMed]
- Niderkorn, V.; Baumont, R. Associative effects between forages on feed intake and digestion in ruminants. Animal 2009, 3, 951–960. [Google Scholar] [CrossRef]
- Steiner, J.J.; Grabe, D.F. Sheep grazing effects on subterranean clover (Trifolium subterraneum) Development and seed production in western Oregon (USA). Crop Sci. 1986, 26, 367–372. [Google Scholar] [CrossRef]
- Steinshamn, H.; Gronmyr, F.; Tweit, H. Seasonal changes in botanical composition of an organically managed pasture. In Organic Grassland Farming, Proceedings of the International Occusional Symposium of the European Grassland Federation, Wirzenhausen, Germany, 10–12 July 2001; Mecke Duderstadt.: Duderstadt, Germany, 2001. [Google Scholar]
- Orr, D.M. Effects of sheep grazing Astrebla grssland in central western Queensland, Australia: 1. Effect of grazing pressuer and livestock distribution. Aust. J. Agric. Res. 1980, 31, 797–806. [Google Scholar] [CrossRef]
- Renzhong, W.; Ripley, E.A. Effect of grazing on a Leymus chinensis grassland on the Sonnen plain of north-eastern China. J. Arid. Environ. 1997, 36, 307–318. [Google Scholar] [CrossRef]
- Sala, O.E. The effect of herbivory on vegetation structure. In Plant form and Vegetation Structure; Werger, M.J.A., van der Aart, P.J.M., During, H.J., Verhoeven, J.T.A., Eds.; SPB: The Hague, The Netherlands, 1988; pp. 317–330. [Google Scholar]
- Oba, G. Effects of excluding goat herbivory on Acacia tortilis woodland around pastoralist settlements in northwest Kenya. Acta Oecol. 1998, 19, 395–404. [Google Scholar] [CrossRef]
- Haumann, P. Biotope conservetion with ruminants in Germany: The example of goats on shrub-infested slopes. In Proceedings of the 2nd LSIRD Conference on Livestock production in the Europen LFAs, Bray, Ireland, 5–7 December 1998; pp. 186–196. [Google Scholar]
- Oba, G.; Post, E. Browse production and offtake by free-ranging goats in an arid zone, Kenya. J. Arid. Environ. 1999, 43, 183–195. [Google Scholar] [CrossRef]
- DeMalach, N.; Kigel, J.; Voet, H.; Ungar, E.D. Are semiarid shrubs resilient to drought and grazing? Differences and similarities among species and habitats in a long-term study. J. Arid. Environ. 2014, 102, 1–8. [Google Scholar] [CrossRef]
- Ramirez, R.G. Feed resources and feeding techniques of small ruminants under extensive management conditions. Small Rumin. Res. 1999, 34, 215–230. [Google Scholar] [CrossRef]
- Anderson, P.; Radford, E. Changes in vegetation following reduction in grazing pressure on the National Trust’s Kinder Estate, Peak District, Derbyshire, England. Biol. Conserv. 1994, 69, 55–63. [Google Scholar] [CrossRef]
- Anderson, P.M.L.; Hoffman, M.T. The impacts of sustained heavy grazing on plant diversity and composition in lowland and upland habitats across the Kamiesberg mountain range in the Succulent Karoo, South Africa. J. Arid. Environ 2007, 70, 686–700. [Google Scholar] [CrossRef]
- Baraza, E.; Valiente-Benuet, A. Seed dispersal by domestic goats in a semiarid thornscrub of Mexico. J. Arid. Environ. 2008, 72, 1973–1976. [Google Scholar] [CrossRef]
- Kahmen, S.; Poschlod, P.; Schreiber, K.F. Conservation management of calcareous grasslands. Changes in plant species composition and response of functional traits during 25 years. Biol. Conserv. 2002, 104, 319–328. [Google Scholar] [CrossRef]
- Pykälä, J. Effects of restoration with cattle grazing on plant species composition and richness of semi-natural grasslands. Biodivers. Conserv. 2003, 12, 2211–2226. [Google Scholar] [CrossRef]
- Pykälä, J.; Luoto, M.; Heikkinen, R.K.; Kontula, T. Plant species richness and persistence of rare plants in abandoned semi-natural grasslands in northern Europe. Basic Appl. Ecol. 2005, 6, 25–33. [Google Scholar] [CrossRef]
- Hodgson, J.G. Grazing Management: Science into Practice; Burnt Mill: Harlow, UK; Longman Scientific & Technical: New York, NY, USA; Wiley: Berlin, Germany, 1990. [Google Scholar]
- Zanon, T.; Komainda, M.; Ammer, S.; Isselstein, J.; Gauly, M. Diverse Feed, Diverse Benefits—The Multiple Roles of Feed Diversity at Pasture on Ruminant Livestock Production—A Review. J. Vet. Sci. Anim. Husb. 2022, 10, 101. [Google Scholar]









| Items and Sample Sites | N1 | N2 | ||||||||||||||
| No of Quadrats | 1 | 2 | 3 | 4 | 5 | 6 | mean | SD | 1 | 2 | 3 | 4 | 5 | 6 | mean | SD |
| No of speceis | 27 | 36 | 28 | 26 | 35 | 33 | 31 | 4.36 | 19 | 28 | 22 | 24 | 24 | 24 | 24 | 2.95 |
| C1 | C2 | |||||||||||||||
| No of quadrats | 1 | 2 | 3 | 4 | 5 | 6 | mean | SD | 1 | 2 | 3 | 4 | 5 | 6 | mean | SD |
| No of speceis | 21 | 37 | 33 | 28 | 39 | 39 | 33 | 7.17 | 29 | 46 | 35 | 42 | 46 | 44 | 40 | 6.89 |
Disclaimer/Publisher’s Note: The statements, opinions and data contained in all publications are solely those of the individual author(s) and contributor(s) and not of MDPI and/or the editor(s). MDPI and/or the editor(s) disclaim responsibility for any injury to people or property resulting from any ideas, methods, instructions or products referred to in the content. |
© 2024 by the authors. Licensee MDPI, Basel, Switzerland. This article is an open access article distributed under the terms and conditions of the Creative Commons Attribution (CC BY) license (https://creativecommons.org/licenses/by/4.0/).
Share and Cite
Penksza, K.; Pajor, F.; Kevi, A.; Wagenhoffer, Z.; Sipos, L.; Salata-Falusi, E.; Penksza, P.; Poti, P.; Berke, J.; Salata, D.; et al. The Effect of Goat Grazing on the Biodiversity of Pannonian Dry Grassland. Diversity 2025, 17, 13. https://doi.org/10.3390/d17010013
Penksza K, Pajor F, Kevi A, Wagenhoffer Z, Sipos L, Salata-Falusi E, Penksza P, Poti P, Berke J, Salata D, et al. The Effect of Goat Grazing on the Biodiversity of Pannonian Dry Grassland. Diversity. 2025; 17(1):13. https://doi.org/10.3390/d17010013
Chicago/Turabian StylePenksza, Karoly, Ferenc Pajor, Andrea Kevi, Zsombor Wagenhoffer, Laszló Sipos, Eszter Salata-Falusi, Peter Penksza, Peter Poti, Jozsef Berke, Denes Salata, and et al. 2025. "The Effect of Goat Grazing on the Biodiversity of Pannonian Dry Grassland" Diversity 17, no. 1: 13. https://doi.org/10.3390/d17010013
APA StylePenksza, K., Pajor, F., Kevi, A., Wagenhoffer, Z., Sipos, L., Salata-Falusi, E., Penksza, P., Poti, P., Berke, J., Salata, D., Bajnok, M., & Szentes, S. (2025). The Effect of Goat Grazing on the Biodiversity of Pannonian Dry Grassland. Diversity, 17(1), 13. https://doi.org/10.3390/d17010013

