You are currently on the new version of our website. Access the old version .
MolbankMolbank
  • Short Note
  • Open Access

21 November 2025

Mixed-Ligand Copper(II) Complex with Ethyl (2-(Methylcarbamoyl)phenyl)carbamate and 3-Methylquinazoline-2,4(1H,3H)-dione

,
,
,
and
1
Department of General and Inorganic Chemistry with Methodology of Chemistry Education, Faculty of Chemistry, University of Plovdiv, 24 Tzar Assen Str., 4000 Plovdiv, Bulgaria
2
Department of Organic Chemistry and Pharmacognosy, Faculty of Chemistry and Pharmacy, University of Sofia, 1 J. Bourchier Av., 1164 Sofia, Bulgaria
3
Department of Analytical Chemistry and Computer Chemistry, Faculty of Chemistry, University of Plovdiv, 24 Tzar Assen Str., 4000 Plovdiv, Bulgaria
4
Department of Organic Chemistry, Faculty of Chemistry, University of Plovdiv, 4000 Plovdiv, Bulgaria

Abstract

(This paper presents the synthesis of a novel copper(II) metal complex with ethyl (2-(methylcarbamoyl)phenyl)carbamate and 3-methylquinazoline-2,4(1H,3H)-dione. The characterization of the compound was conducted through various techniques, including melting point determination, microwave plasma atomic emission spectrometry (MP-AES) for Cu, attenuated total reflection (ATR), IR, 1H NMR, and 13C NMR spectroscopy. The coordination compound was obtained after mixing water solutions of the metal salt and the ligand dissolved in DMSO and water solutions of NaOH, in a metal-to-ligand-to-base ratio of 1:2:2. The ligand and the metal chloride were brought into the reaction at room temperature in DMSO and H2O as solvents, respectively. The results indicate the successful formation of a stable mixed-ligand Cu(II) coordination compound involving N,O-donor ligands. Based on the obtained data, we assumed that the ligands are coordinated through N- and O-donor atoms. Spectroscopic data suggested that the ligand (3-methylquinazoline-2,4(1H,3H)-dione), by using (NaOH), coordinated to a metal ion as a monodentate ligand through the nitrogen atom of the NH group and ethyl (2-(methylcarbamoyl)phenyl)carbamate coordinated in a bidentate fashion through the N- and O-donor atoms of ester group. Additionally, two hydroxyl groups were bridged for two metal ions into the formed dimer structure.

1. Introduction

Copper (Cu2+) is an essential trace element involved in key biological processes, including mitochondrial respiration, antioxidant defense, connective tissue formation, and neurotransmitter synthesis. Its redox activity enables function in enzymes such as cytochrome c oxidase, lysyl oxidase, and superoxide dismutase (SOD) [1,2]. Proper Cu2+ homeostasis is crucial, as deficiency leads to impaired neurodevelopment and immunity, while excess induces oxidative stress and tissue damage [3]. Disorders such as Wilson’s and Menkes diseases underscore the importance of copper regulation [4,5,6,7,8]. Ongoing clinical trials are assessing the anticancer potential of copper complexes, and significant advances have been achieved in clarifying their pharmacological properties [9,10].
Anthranilic acid (2-aminobenzoic acid), on the other hand, is a valuable component of polymer systems, improving solubility, stability in neutral/alkaline media, and enabling easy modification via its carboxyl group. Its use has shown benefits in corrosion resistance, electronics, solar cells, and biosensors [11]. Recently, Rio et al. presented a series of 16 anthranilic acid derivatives with different substituents [12]. Prasher and Sharma cover the therapeutic potential of anthranilic acid derivatives, surveying their biological profiles and analyzing key drug candidates [13]. The role of anthranilic acid derivatives as pharmacophoric elements in drug discovery should be noted. Figure 1 presents the structures of biologically important compounds used as rational therapeutic agents. Ganeshpurkar et al. described nucleoside and non-nucleoside RdRP inhibitors, based on scaffolds such as anthranilic acid, benzimidazole, indole, and others [14]. Recently, various anthranilic acid analogs with potential anticancer, antimicrobial, insecticidal, antiviral, and anti-inflammatory activities have been reported [15].
Figure 1. Anthranilic acid derivatives as key scaffolds in rational drug design.
A series of metal complexes were obtained by reaction of anthranilic acid and various metal salts, including Ag(I), Cu(II), Ni(II), Co(II), Zn(II), Fe(II), Mn(II), VO(II), Al(III), Bi(III), and Cr(III) [16,17,18,19,20]. Recently, Marinova and Hristov presented the synthesis and biological application of new complexes with anthranilic acid and its analogs [21]. Additionally, Tsoneva et al. discussed the structure and antibacterial and cytotoxic activities of Ni(II) and Co(II) complexes with ethyl (2-(Methylcarbamoyl)phenyl)carbamate [22].
Therefore, the objective of the current study is to synthesize and characterize the structure of a novel copper(II) complex of ethyl (2-(methylcarbamoyl)phenyl)carbamate.

2. Results and Discussion

2.1. Synthesis of the Metal Complex

Copper coordination compounds continue to be an active area of research, due to their structural diversity, accessible redox states, and functional properties [23,24,25,26]. Among other metals, Cu is an excellent option for the synthesis of complexes with biological and therapeutic uses since it is an essential trace metal [27].
N-donor ligands are among the many potential ligands that are essential for the construction of copper coordination compounds. This allows for the formation of stable complexes with a variety of geometries, which facilitates applications in materials science, catalysis, and medicine [28].
Copper(II) complexes with bidentate ligands represent an important and extensively researched family of coordination compounds from a structural standpoint, with carboxylates being among the most common [29].
Therefore, the current study aims to synthesize and characterize a novel copper(II) complex of ethyl (2-(methylcarbamoyl)phenyl)carbamate.
The metal complex was prepared by combining aqueous solutions of the metal salt and NaOH with the ligand dissolved in DMSO, using a metal-to-ligand-to-base ratio of 1:2:2. The only ligand added in the reaction mixture was L1.
We found that the copper complex is stable in air and moisture, and its solubility is limited. The reaction of L1 with the transition metal ion afforded a 35% yield of a stable solid compound. The obtained complex has a bright blue color and limited solubility in DMSO and was insoluble in water, acetone (CH3COCH3), tetrahydrofuran (THF), ethanol (C2H5OH), ethyl acetate (EtOAc), and cyclohexane. The analytical data, including the yield percentage of the complex, are presented in Table 1.
Table 1. Analytical and physical characteristics of copper(II) complex ethyl (2-(methylcarbamoyl)phenyl)carbamate (L1) and 3-methylquinazoline-2,4(1H,3H)-dione (L2).
It should be noted that a mixed ligand copper(II) complex of ethyl (2-(methylcarbamoyl)phenyl)carbamate and 3-methylquinazoline-2,4(1H,3H)-dione was obtained for the first time.

2.2. Spectral Data of the Cu(II) Complex

IR- and ATR-Spectra

The structure of the metal complex was readily confirmed by comparing the IR spectra of the free ligands with those of the corresponding metal complex. Selected experimental IR data (cm−1) for the complex and its free ligands are presented in Table 2.
Table 2. Selected experimental IR data (in KBr, wavenumber in cm−1) for free ligands and their copper(II) complex.
As previously reported [22], the IR spectra revealed additional bands of 3-methylquinazoline-2,4(1H,3H)-dione (L2) in addition to the bands of the ligand L1. As previously described, we assumed that the ligand L2 was formed as a more stable product in the reaction conditions [22].
The structures of the free ligands are given in Figure 2.
Figure 2. Structure of ethyl (2-(methylcarbamoyl)phenyl)carbamate (L1) and 3-methylquinazoline-2,4(1H,3H)-dione (L2).
The IR spectrum of the free ligand (in blue) and its metal complex with Cu(II) (in red) are given in Figure 3. In the IR spectrum of L1, bands at 3345 cm−1 and 3258 cm−1 correspond to N-H stretching vibrations. For L2, the N-H stretching band appeared at 3165 cm−1 [30]. This band was shifted to higher frequencies by 23 cm−1 in the copper(II) complex, indicating that the N-H group of L2 participates in coordination. The band at 3258 cm−1 in the IR spectrum of the complex was absent. This fact showed that the N-donor atom of L1 participates in coordination with copper(II). In the spectra of L1 and L2, bands at 1739 cm−1 and 1715 cm−1 were assigned to C=O stretching vibrations. The band of the L1 at 1739 cm−1 was shifted to lower frequencies by 22 cm−1, suggesting that the C=O group of L1 does coordinate with the metal ion, but not the C=O of L2. The appearance of new bands in copper complex at 563 cm−1, assigned to Cu-N vibration, and at 467 cm−1 assigned to Cu-O, respectively. This is similar to the appearance of new bands at 588, 531, and 529 cm−1 assigned to Co-N, Ni-N, and Mn-N and 487 cm−1 for M-O vibration in complexes which Ajibulu obtained [31]. Additionally, a broad band at 3435 cm−1 appears in the complex spectrum, confirming the presence of coordinated water molecules or hydroxyl groups. These findings are consistent with previously reported mixed-ligand complexes of anthranilic acid [31,32]. IR spectra of the Schiff base complexes exhibited bands at 3344–3573 cm−1, which is attributed to the stretching frequencies of a hydrated water molecule [24]. The band at 854 cm−1 can be attributed to the stretching vibration of water-coordinated molecule (δ(H2O)) [31], similar to our copper complex, where the same band appears at 837 cm−1.
Figure 3. The IR spectrum of the free ligand (in blue) and its metal complex with Cu(II) (in red).
All vibrational frequencies observed in the ATR spectra of the copper complex and the free ligand L1 are given in the Experimental section and in the Supplementary Material Figures S11–S13. In the ATR spectrum of the Cu(II) complex, in the 3548–3433 cm−1 region was observed band that can be attributed to the stretching vibration of ν(OH). In the ATR spectrum of L1, bands at 3342 cm−1 and 3251 cm−1 correspond to N-H stretching vibrations. It should be noted that the same bands in the ATR spectrum of Cu(II) complex were missing. The band of free ligand L1 at 1727 cm−1 can be attributed to the stretching vibration of C=O group of ethyl (2-(methylcarbamoyl)phenyl)carbamate. The same band in the ATR spectrum of the Cu(II) complex appeared at 1714 cm−1 and shifts to a lower frequency by 13 cm−1 as compared to the corresponding free ligand band. This fact shows that the carbonyl and NH from NH-C(=O)OCH2CH3 groups of the L1 participate in the coordination with Cu metal ion. Based on the experimental data, the most probable structure for the Cu(II) complex was suggested with two ligand molecules, one coordinated bidentate with O-,N-donor atoms of L1 and other of L2 coordinated monodentate through N-atom nonodentate. The ATR data presented were in agreement with the IR spectrum data and elemental analyses of copper determined by MP-AES.

2.3. NMR-Spectral Data

The experimental 1H-NMR data for the copper complex and its free ligands are presented in Table 3. It should be noted that in all NMR spectra we used DMSO-d6 as a solvent. In the 1H-NMR spectrum of the copper(II) complex, the signal for the proton from the NHCH3 group is shifted to a lower frequency by 0.01 ppm (see Table 3). The use of DMSO-d6 would justify the absence of significant differences in NMRs of the free ligands and the complex. It is in fact possible that DMSO-d6 displaces the ligands from Cu coordination, which also explains the broad signals of the complex. The presented data are in agreement with the IR spectrum data.
Table 3. 1H-NMR data for L1, L2, and its complex with Cu(II).
The 13C-NMR data for the mixed ligand complex of ethyl (2-(methylcarbamoyl)phenyl)carbamate (L1), 3-methylquinazoline-2,4(1H,3H)-dione (L2), and their metal complex are given in Table 4.
Table 4. 13C-NMR data for L1, L2 and its Cu(II) complex.
In the 13C-NMR spectrum of the copper(II) complex, the signal for the carbon from the NH(C=O) group was not shifted (see Table 3). In the same spectrum, the signal for the carbon from NH(COO) group was not changed. This is an indication that the two carbonyl groups do not coordinate with the metal ion. The presented NMR data were in agreement with the IR spectrum data.
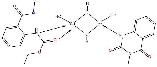
We assumed that the ligand L1 in the complex coordinates bidentately through the N-atom and O-atom (see Figure 4). We observed that two hydroxyl groups were bridged with the two metal centers. The L2 coordinates monodentately through the N-atom. The structure of the newly obtained copper complex is similar to that reported by Singh et al. in two bis-μ-hydroxo-bridged copper dimers [34] and with the dinuclear copper(II) complexes contain a five-coordinated metallic center in a square pyramidal environment [35]. The structure of the obtained complex is analogous to the Pd(II) complex of N-(2-benzoyl-4,5-dimethoxyphenethyl)-2-phenylacetamide [36]. More recently, Akeredolu et al. synthesized Mn(II), Co(II), Ni(II), and Cu(II) complexes of ethanolamine and 3-nitrobenzaldehyde obtained under alkaline conditions using KOH [37]. In these mixed-ligand complexes, the coordination involved nitrogen and oxygen donor atoms and a chelate structure was formed. Ajibulu et al. presented new Ni(II), Co(II), and Mn(II) complexes where the Schiff base coordinated with nitrogen atoms in a bidentate fashion [31]. Jiemuratova et al. obtained new coordination compounds produced from the interaction between anthranilic acid ligand and transition metal salts (Fe(III), Cu(II), Ni(II), and Co(II)) [38]. The metal–ligand binding takes place through the carboxyl and amino functional groups of the ligand, leading to the generation of stable chelated complexes [38]. The literature surveys reveal that anthranilic acid-based Schiff bases typically coordinate metal ions through azomethine nitrogen (-N=CH-) and the deprotonated hydroxyl oxygen of the carboxyl group, rather than the carbonyl oxygen (C=O) [39]. Some studies, however, report coordination via imine nitrogen and carbonyl oxygen. Although numerous complexes of first-row transition metals exhibit diverse geometries and varying ligand denticities—ranging from N,O-bidentate to O,N,O-tridentate and N2O2-tetradentate—have been extensively described, only a limited number of analogous complexes involving heavier transition metals have been documented [39].
Figure 4. The suggested structure of mixed-metal complex of ethyl (2-(methylcarbamoyl)phenyl)carbamate (L1) and 3-methylquinazoline-2,4(1H,3H)-dione (L2) with Cu(II).
Based on the obtained results, the possible structure of the mixed ligand complex of ethyl (2-(methylcarbamoyl)phenyl)carbamate (L1) and 3-methylquinazoline-2,4(1H,3H)-dione (L2) with Cu(II) is proposed (Figure 4).

3. Materials and Methods

3.1. Spectral Data of the Free Ligand

Ethyl (2-(methylcarbamoyl)phenyl)carbamate (L1): white crystals, 80% yield, mp = 136–137 °C [22].
IR (KBr, cm−1): 3345 (ν(N-H)), 3258 (ν(N-H, -NC(=O)O)), 3116 (ν (Csp2-H, Ph-)), 3072 (ν (Csp2-H, Ph-)), 2985 (νas(Csp3-H, CH3-)), 2951 (νas (Csp3-H, CH3-)), 2913 (νas (Csp3-H, >CH2)), 2880 (νs (Csp3-H, CH3-)), 1739 (ν(C=O)), 1664 (δ(-NH) + ν(C=O)), 1633 (δ(-NH) + ν(C=O)), 1605 (ν(C=C-C), Ph-), 1593 (ν(C=C-C), Ph-), 1554 (δ(-NH)), 1530 (ν (C=C-C), Ph-), 1454 (ν(C=C-C), Ph-), 1409, 1390 (δs(-CH3)), 1364 (δs(-CH3)), 1333, 1248, 1218 (νas(N-CO-O-)), 1167, 1149, 1122, 1114, 1063, 1049, 951 (νs(N-CO-O-)), 870, 849, 820, 768, 753 (γ (Csp2-H, Ph-), 721, 669, 651, 536, and 510.
Raman (cm−1) of L1: 2939, 1730 (C=O), 1641, 1604, 1592, 1555, 1463, 1454, 1392, 1366, 1334, 1305, 1288, 1249, 1219, 1169, 1151, 1123, 1052, 1012, 915, 849, 822, 613, 395, and 364 [22].
1H-NMR: 1.24 (t, J = 7.1, 3H, CH2CH3), 2.79 (d, J = 4.4, 3H, NHCH3), 4.13 (d, J = 6.8, 2H, CH2CH3), 7.07–7.11 (m, 1H, Ar), 7.49 (t, J = 7.8, 1H, Ar), 8.2 (d, J = 8.3, 1H, Ar), 8.72 (broad s, 1H, CONHCH3), and 10.96 (s, 1H, NHCOO).
13C-NMR: 169.17, 153.38, 139.7, 132.5, 128.4, 122.17, 120.04, 119.06, 61.05, 26.69, and 14.86.
ATR (cm−1) of L1: 3342 (ν(N-H)), 3251 (ν(N-H, -NC(=O)O)), 3116 (ν (Csp2-H, Ph-)), 3073 (ν (Csp2-H, Ph-)), 2985 (νas(Csp3-H, CH3-)), 2951 (νas (Csp3-H, CH3-)), 2912 (νas (Csp3-H, >CH2)), 1966, 1930, 1820, 1727 (ν(C=O)), 1664 δ(-NH) + ν(C=O)), 1631 (δ(-NH) + ν(C=O)), 1590 (ν(C=C-C), Ph-), 1527 (ν (C=C-C), Ph-), 1481, 1447, 1408, 1365 (δs(-CH3)), 1332, 1285, 1245, 1215 (νas(N-CO-O-)), 1166, 1150, 1122, 1114, 1062, 1048, 1026, 951(νs(N-CO-O-)), 914, 870, 848, 819, 751 (γ (Csp2-H, Ph-), 712, 693, 683, 668, 649, and 612.

3.2. Spectral Characteristics for the Cu(II) Complex

IR (KBr, cm−1): 3435 (ν(OH)), 3345 (ν(NH, -C(=O)-NH-CH3)), 3188 (ν(NH, -NH-C(=O)OCH2CH3)), 3058 (ν(Csp2-H, -Ph)), 3005, 2956, 2921, 1717 (ν(C=O)), 1665 (δ(NH) + ν(C=O),-C(=O)-NH-CH3)), 1645 (δ(NH) + ν(C=O), -NH-C(=O)OCH2CH3)), 1624, 1598, 1556, 1530, 1514, 1493, 1453, 1430, 1386, 1341, 1302, 1295, 1219, 1174, 1155, 1040, 1025, 873, 837, 762, 751, 713, 693, 683, 667, 563, 534, 467, and 432.
1H-NMR: 1.23 *(t, 3H,) CH2CH3), 2.78 *, 3.25 **, 4.12 *, 7.08 *, 7.18 **, 7.48 *, 7.18 **, 7.70 *, 7.64 **, 8.71 *, 8.18 *, 7.92 **, 10.95 *, and 11.42 **. (*—signals of L1 protons in the complex; **—signals of L2 protons in the complex)
13C-NMR: 169.16 *, 162.64 **, 153.43 *, 150.82 **, 139.62 *, 139.76 **, 132.52 *, 135.32 **, 128.40 *, 127.72 **, 122.16 *, 122.89 **, 120.03 *, 114.14 **, 119.06 *, 115.52 **, 61.04 *, 26.69 *, 27.46 **, and 14.86 * (*—signals of L1 carbons in the complex; **—signals of L2 carbons in the complex).
ATR (cm−1): 3548, 3511, 3433 (ν(OH)), 3051 (ν (Csp2-H, Ph-)), 2913 (νas (Csp3-H, >CH2)), 1714 (ν (C=O)), 1663 δ(-NH) + ν(C=O)), 1643 δ(-NH) + ν(C=O)), 1623 (δ(-NH) + ν(C=O)), 1598 (ν(C=C-C), Ph-), 1514 (ν (C=C-C), 1492, 1451, 1429, 1385 (δs(-CH3)), 1341, 1302, 1294, 1269, 1221, 1174, 1155, 1106, 1039, 1025, 961, 927 (νs(N-CO-O-)), 873, 833, 760, 750 (γ (Csp2-H, Ph-), 713, 693, 683, and 667.
A mass of 0.01 g of the complex was digested in 50% v/v HNO3. After dilution, the concentration of Cu was determined by inductively coupled plasma mass spectrometry (ICP-MS) Agilent 7700. Isotopes 63Cu and 65Cu were measured in He-collision mode using external calibration and 103Rh as an internal standard. Results: W(Cu)% = 28.9 ± 3.4

3.3. Synthesis of Cu(II) Complex of Ethyl (2-(Methylcarbamoyl)phenyl)carbamate (L1) and 3-Methylquinazoline-2,4(1H,3H)-dione (L2)–General Procedure

The metal complex was prepared by combining aqueous solutions of the metal salt and NaOH with the ligand dissolved in DMSO, using a metal-to-ligand-to-base ratio of 1:2:2 (the only ligand added was L1). A neutral bright blue precipitate formed, which was subsequently filtered, washed repeatedly with water, and dried over CaCl2 for two weeks. The synthesis was performed according to a previously reported procedure [22].

3.4. Spectra Measurements

The free ligands ethyl (2-(methylcarbamoyl)phenyl)carbamate and 3-methylquinazoline-2,4(1H,3H)-dione were published previously [22]. The metal salts CuCl2 (Aldrich Chem) and solvents used for the synthesis of the complexes were of high purity, generally equal to A.C.S. grade and suitable for use in many laboratory and analytical applications. Melting points were measured on a Kruss M5000 melting point meter (A.Krüss Optronic GmbH, Hamburg, Germany). The IR spectra of L1 and its complex were registered in KBr pellet on a Bruker FT-IR VERTEX 70 Spectrometer (Bruker Optics, Ettlingen, Germany) from 4000 cm−1 to 400 cm−1 at a resolution of 2 cm−1 with 25 scans. The NMR spectra of the ligand were registered on a Bruker Avance II NMR spectrometer (Guelph, Ontario, Canada) operating at 600.130 and 150.903 MHz for 1H and 13C, respectively, using the standard Bruker (version 3.6.3) software. The NMR spectra of the metal complex were measured on a Bruker Avance III HD spectrometer (Bruker, Billerica, MA, USA) operating at 500.130 and 125.76 MHz for 1H and 13C, respectively, using the standard Bruker (version 3.6.5) software.

4. Conclusions

This work presents the synthesis of a new mixed ligand complex of ethyl (2-(methylcarbamoyl)phenyl)carbamate (L1) and 3-methylquinazoline-2,4(1H,3H)-dione (L2) with Cu(II). The structure of the new complex is discussed based on melting point analysis, IR, 1H-, and 13C-NMR spectroscopy. Based on the spectral data, we suggested a coordination binding site for the ligands. We assumed that in the mixed-ligand complex, the coordination for L1 involved nitrogen and oxygen donor atoms, and a chelate structure was formed. L2 was coordinated by a monodentate N-atom. Two hydroxyl groups were bridged for two copper ions to form a dimer structure.

Supplementary Materials

The following supporting information are available. Figure S1. Structure of the ligand ethyl (2-(methylcarbamoyl)phenyl)carbamate (L); Figure S2. The 1H NMR spectrum of the Cu(II) complex with ethyl (2-(methylcarbamoyl)phenyl)carbamate; Figure S3. The 13C NMR spectrum of the Cu(II) complex with ethyl (2-(methylcarbamoyl)phenyl)carbamate; Figure S4. IR spectrum of the free ligand (in blue) and its metal complexes with Cu(II) (in red); Figure S5. The 1H-NMR spectrum of the ligand ethyl (2-(methylcarbamoyl)phenyl)carbamate; Figure S6. The 13C-NMR spectrum of ethyl (2-(methylcarbamoyl)phenyl)carbamate; Figure S7. The DEPT-135 spectrum of ethyl (2-(methylcarbamoyl)phenyl)carbamate; Figure S8. The IR spectrum of ethyl (2-(methylcarbamoyl)phenyl)carbamate; Figure S9. The Raman spectrum of (2-(methylcarbamoyl)phenyl)carbamate; Figure S10. The IR spectrum of Cu(II) complex; Figure S11. The ATR spectrum of (2-(methylcarbamoyl)phenyl)carbamate; Figure S12. The ATR spectrum of Cu(II) complex; Figure S13. The ATR spectrum of the free ligand (in blue) and its metal complexes with Cu(II) (in red).

Author Contributions

Conceptualization, P.E.M. and S.N.; methodology, P.E.M.; formal analysis, N.B., E.V., and S.T.; investigation, S.N., P.E.M., N.B., S.T., and E.V.; resources, N.B., E.V., and S.T.; data curation, P.E.M.; writing—original draft preparation, P.E.M., S.N., and N.B., writing—review and editing, S.N.; P.E.M., and N.B.; supervision, P.E.M.; project administration, S.N.; funding acquisition, S.N. All authors have read and agreed to the published version of the manuscript.

Funding

This study is part of Scientific Project No KP-06-H73/11 of the National Fund for Scientific Research in Bulgaria, National Program for Basic Research Projects—2023.

Data Availability Statement

The original contributions presented in the study are included in thearticle; further inquiries can be directed to the corresponding author.

Acknowledgments

Research equipment of the Distributed Research Infrastructure INFRAMAT, part of the Bulgarian National Roadmap for Research Infrastructures, supported by the Bulgarian Ministry of Education and Science was used in this investigation.

Conflicts of Interest

The authors declare no conflicts of interest.

References

  1. Linder, M.C.; Hazegh-Azam, M. Copper biochemistry and molecular biology. Am. J. Clin. Nutr. 1996, 63, 797S–811S. [Google Scholar] [CrossRef]
  2. Khalid, H.; Hanif, M.; Hashmi, M.A.; Mahmood, T.; Ayub, K.; Monim-Ul-Mehboob, M. Copper complexes of bioactive ligands with superoxide dismutase activity. Mini Rev. Med. Chem. 2013, 13, 1944–1956. [Google Scholar] [CrossRef] [PubMed]
  3. Yang, S.; Li, Y.; Zhou, L.; Wang, X.; Liu, L.; Wu, M. Copper homeostasis and cuproptosis in atherosclerosis: Metabolism, mechanisms and potential therapeutic strategies. Cell Death Discov. 2024, 10, 25. [Google Scholar] [CrossRef]
  4. Bandmann, O.; Weiss, K.H.; Kaler, S.G. Wilson’s disease and other neurological copper disorders. Lancet Neurol. 2015, 14, 103–113. [Google Scholar] [CrossRef]
  5. Kaler, S.G. ATP7A-related copper transport diseases-emerging concepts and future trends. Nat. Rev. Neurol. 2011, 7, 15–29. [Google Scholar] [CrossRef]
  6. Wang, Y.; Li, D.; Xu, K.; Wang, G.; Zhang, F. Copper homeostasis and neurodegenerative diseases. Neural Regen. Res. 2025, 20, 3124–3143. [Google Scholar] [CrossRef] [PubMed]
  7. Chen, H.; Li, D.; Zhang, H.; Zhang, M.; Lin, Y.; He, H.; Liu, A.; Shen, S.; Wang, Y.; Han, Z. Mechanisms of copper metabolism and cuproptosis: Implications for liver diseases. Front. Immunol. 2025, 16, 1633711. [Google Scholar] [CrossRef]
  8. Pan, C.; Ji, Z.; Wang, Q.; Zhang, Z.; Wang, Z.; Li, C.; Lu, S.; Ge, P. Cuproptosis: Mechanisms, biological significance, and advances in disease treatment—A systematic review. CNS Neurosci. Ther. 2024, 30, e70039. [Google Scholar] [CrossRef] [PubMed]
  9. Denoyer, D.; Clatworthy, S.A.S.; Cater, M.A. Copper Complexes in Cancer Therapy. Met. Ions Life Sci. 2018, 18, books-9783110470734. [Google Scholar] [CrossRef] [PubMed]
  10. Vo, T.T.; Peng, T.Y.; Nguyen, T.H.; Bui, T.N.; Wang, C.S.; Lee, W.J.; Chen, Y.L.; Wu, Y.C.; Lee, I.T. The crosstalk between copper-induced oxidative stress and cuproptosis: A novel potential anticancer paradigm. Cell Commun. Signal 2024, 22, 353. [Google Scholar] [CrossRef]
  11. McCormick, R.; Buckley, E.; Donnelly, P.J.; Gilpin, V.; McMath, R.; Smith, R.B.; Papakonstantinou, P.; Davis, J. Anthranilic Acid: A Versatile Monomer for the Design of Functional Conducting Polymer Composites. J. Compos. Sci. 2024, 8, 208. [Google Scholar] [CrossRef]
  12. Rio, G.F.; Silva, B.V.; Martinez, S.T.; Pinto, A.C. Anthranilic acids from isatin: An efficient, versatile and environmentally friendly method. An. Acad. Bras. Cienc. 2015, 87, 1525–1529. [Google Scholar] [CrossRef]
  13. Prasher, P.; Sharma, M. Medicinal Chemistry of Anthranilic Acid Derivatives: A Mini Review. Drug Dev. Res. 2021, 82, 945–958. [Google Scholar] [CrossRef]
  14. Ganeshpurkar, A.; Gutti, G.; Singh, S.K. Chapter 1—RNA-Dependent RNA Polymerases and Their Emerging Roles in Antiviral Therapy. In Viral Polymerases Structures, Functions and Roles as Antiviral Drug Targets; Academic Press: Cambridge, MA, USA, 2019; pp. 1–42. [Google Scholar] [CrossRef]
  15. Nasr, T.M.; Aboshanab, A.M.; Abouzid, K.A.M.; Zaghary, W.A. Hands-on Synthetic Approaches and Biological Activities of Anthranilic Acid Derivatives: A Mini-Review. Egypt. J. Chem. 2023, 66, 329–343. [Google Scholar] [CrossRef]
  16. Nawaz, M.; Abbasi, M.W.; Tariq, M.; Graham, J.P.; Al-Hagri, A.-R.S.; Elkarim, A.A.; Mohamed, M.E.; Nissapatorn, V.; Taha, M.; Hisaindee, S. Synthesis of Metal Anthranilate Complexes: Catalytic and Antipathogenic Studies. BMC Chem. 2022, 16, 21. [Google Scholar] [CrossRef]
  17. Srivastava, V.K. Synthesis, characterization, and biological studies of some biometal complexes. Futur. J. Pharm. Sci. 2021, 7, 51. [Google Scholar] [CrossRef]
  18. Mahdi, S.H.; Karem, L.K.A. Synthesis, Spectral and Biochemical Studies of New Complexes of Mixed Ligand Schiff Base and Anthranilic Acid. Orient. J. Chem. 2018, 34, 1565–1572. [Google Scholar] [CrossRef]
  19. Abu-Dief, A.M.; Shehata, M.R.; Hassan, A.E.; Alharbi, S.K.; Alzahrani, A.Y.A.; Abo-Dief, H.M.; Ragab, M.S. Exploring, anthranilic azomethine complexes: From synthesis, spectroscopic, solution and theoretical studies to DNA interaction and biomedical prospects. J. Mol. Str. 2025, 1341, 142571. [Google Scholar] [CrossRef]
  20. Mehta, B.H.; More, P.S. Synthesis, Characterization and X-Ray Diffraction Studies of Co(II), Ni(II), Cu(II) and Zn(II) Complexes with Schiff Base Derived from 5-nitrosalicylaldehyde and Anthranilic Acid. Asian J. Chem. 2007, 19, 3581–3587. [Google Scholar]
  21. Marinova, P.; Hristov, M. Synthesis and Biological Activity of Novel Complexes with Anthranilic Acid and Its Analogues. Appl. Sci. 2023, 13, 9426. [Google Scholar] [CrossRef]
  22. Tsoneva, S.; Milusheva, M.; Burdzhiev, N.; Marinova, P.; Varbanova, E.; Tumbarski, Y.; Mihaylova, R.; Cherneva, E.; Nikolova, S. Antimicrobial Activity of Ethyl (2-(Methylcarbamoyl)phenyl)carbamate and Its Mixed Ligand Ni(II) and Co(II) Complexes. Inorganics 2025, 13, 267. [Google Scholar] [CrossRef]
  23. Bakhtiar, R.; Ochiai, E.-I. Pharmacological applications of inorganic complexes. Gen. Pharmacol. Vasc. Syst. 1999, 32, 525–540. [Google Scholar] [CrossRef] [PubMed]
  24. Marzano, C.; Pellei, M.; Tisato, F.; Santini, C. Copper complexes as anticancer agents. Anticancer. Agents Med. Chem. 2009, 9, 185–211. [Google Scholar] [CrossRef]
  25. Albaladejo-Fuentes, V.; Romero-Pérez, A.I.; Álvarez, A.; Platero-Prats, A.E. Copper Coordination Complexes for Energy-Relevant Applications. Energies 2020, 13, 2198. [Google Scholar] [CrossRef]
  26. Wenzel, J.; Malz, S.; Rau, S.; Yersin, H. TADF: Enabling Luminescent Copper(I) Coordination Compounds for Light-Emitting Electrochemical Cells. J. Mater. Chem. C 2022, 10, 709–722. [Google Scholar] [CrossRef]
  27. Ullah, S.; Sirajuddin, M.; Ullah, Z.; Mushtaq, A.; Naz, S.; Zubair, M.; Haider, A.; Ali, S.; Kubicki, M.; Wani, T.A.; et al. Synthesis, Structural Elucidation and Pharmacological Applications of Cu(II) Heteroleptic Carboxylates. Pharmaceuticals 2023, 16, 693. [Google Scholar] [CrossRef]
  28. Bhattacharyya, M.K.; Dutta, K.K.; Banik, S.; Gomila, R.M.; Barceló-Oliver, M.; Frontera, A. Supramolecular assembly in Cu(II) and Zn(II) compounds with pyridine and anthraquinone-1,5-disulfonate: Experimental and theoretical analysis. Inorg. Chim. Acta 2024, 567, 122042. [Google Scholar] [CrossRef]
  29. Golobič, A.; Kristl, M.; Podnar, T.M.; Jagličić, Z.; Dojer, B. Mixed-Ligand Copper(II) Complexes Derived from Pyridinecarbonitrile Precursors: Structural Features and Thermal Behavior. Inorganics 2025, 13, 287. [Google Scholar] [CrossRef]
  30. Azizian, J.; Mohammadi, A.A.; Karimi, A.R. An Efficient One-Pot Procedure for Preparation of 2,4(1H,3H)-Quinazolinediones and 2-Thioxoquinazolinone Derivatives Under Microwave Irradiation. Synth. Commun. Int. J. Rapid Commun. Synth. Org. Chem. 2003, 33, 415–420. [Google Scholar] [CrossRef]
  31. Ajibulu, K.E.; Okoronkwo, A.E.; Owolabi, J.B.; Oyetayo, V.O.; Adeyemi, E.O.; Pii, B.T. Metal Complexes of Schiff Base Derived from Ethylenediamine, Nitro and Chlorobenzaldehyde; Synthesis, Characterization, Biological and Toxicological Study. Appl. Sci. Res. Period. 2025, 3, 50–60. [Google Scholar] [CrossRef]
  32. Shirode, P.R. A study of mixed ligand complexes of anthranilic acidsemicarbazone and benzaldehyde with Co(II), Ni(II) and Cu(II). World J. Pharm. Res. 2018, 7, 1135–1143. [Google Scholar]
  33. Zhang, L.; Chen, Q.; Li, L.; Ma, N.; Tian, J.; Sun, H.; Xu, Q.; Yang, Y.; Li, C. Synthesis of N-Unsubstituted and N3-Substituted. Quinazoline-2,4(1H,3H)-diones from o-Aminobenzamides and CO2 at Atmospheric Pressure and Room Temperature. Org. Lett. 2023, 25, 2471–2475. [Google Scholar] [CrossRef]
  34. Singh, G.; Gamboa, S.; Orio, M.; Dimitrios, A. Pantazis; Michael Roemelt, Magnetic exchange coupling in Cu dimers studied with modern multireference methods and broken-symmetry coupled cluster theory. Theor. Chem. Acc. 2021, 140, 139. [Google Scholar] [CrossRef]
  35. Shaikh, S.A.; Bhat, S.S.; Revankar, V.K.; Naveen, S.; Lokanath, N.K.; Kumbar, V. Dinuclear copper(II) complexes bridged with acetate and nitrate anions: Study of protein binding and in-vitro anticancer activity. Inorg. Chim. Acta 2024, 559, 121799. [Google Scholar] [CrossRef]
  36. Marinova, P.E.; Tsoneva, S.H.; Nikolova, S.A.; Ivanov, I.I. Novel complexes of n-substituted-4,5-dimethoxy-phenylethyl-2-arylketoamides with metal ions. Bulg. Chem. Commun. 2019, 51, 8–11. [Google Scholar]
  37. Akeredolu, O.; Adebusuyi, F.O.; Adebayo-Tayo, B.C.; Olalekan, T.E. Synthesis and Antimicrobial Activity of Nitrobenzaldehyde Schiff Base and Complexes. Nig. J. Chem. Res. 2025, 29, 062–072. [Google Scholar] [CrossRef]
  38. Jiemuratova, A.; Pardayev, U.; Bobojonov, J. Coordination Interaction Between Anthranilic Ligand And D-Element Salts During Crystal Formation: A Structural And Spectroscopic Approach. Mod. Sci. Res. 2025, 4, 199–201. [Google Scholar]
  39. Ahmed, A.A.; Musa, S.A.; Fugu, M.B.; Mohammed, A.I.; Adam, H.B.; Wakil, I.M. A Comprehensive Review on Anthranilic acid-derived Schiff bases and their Metal Chelates: Structures and Applications. Chem. Rev. Lett. 2023, 6, 350–389. [Google Scholar] [CrossRef]
Disclaimer/Publisher’s Note: The statements, opinions and data contained in all publications are solely those of the individual author(s) and contributor(s) and not of MDPI and/or the editor(s). MDPI and/or the editor(s) disclaim responsibility for any injury to people or property resulting from any ideas, methods, instructions or products referred to in the content.

Article Metrics

Citations

Article Access Statistics

Multiple requests from the same IP address are counted as one view.