A Direct Method for the Efficient Synthesis of Hydroxyalkyl-Containing Azoxybenzenes
Abstract
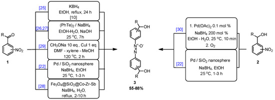
1. Introduction
2. Results and Discussion
3. Materials and Methods
General Procedure for the Preparation of Hydroxyalkyl-Containing Azoxybenzenes (3)
Supplementary Materials
Author Contributions
Funding
Institutional Review Board Statement
Informed Consent Statement
Data Availability Statement
Acknowledgments
Conflicts of Interest
References
- Pintre, I.C.; Gimeno, N.; Serrano, J.L.; Ros, M.B.; Alonso, I.; Folcia, C.L.; Ortega, J.; Etxebarria, J. Liquid crystalline and nonlinear optical properties of bent-shaped compounds derived from 3,4′-biphenylene. J. Mater. Chem. 2007, 17, 2219–2227. [Google Scholar] [CrossRef][Green Version]
- Mulani, K.B.; Ganjave, N.V.; Chavan, N.N. Synthesis and characterization of azoxy based mesogenic diols. Indian J. Chem.-Sect. B Org. Med. Chem. 2014, 53, 359–362. [Google Scholar]
- Giricheva, N.I.; Lebedev, I.S.; Fedorov, M.S. Influence of structural features of azo-, azoxy-, azodioxy-benzenes and pyridines on mesomorphic properties of systems on their basis. Liq. Cryst. Their Appl. 2021, 21, 37–46. (In Russian) [Google Scholar] [CrossRef]
- Guo, Y.-Y.; Li, H.; Zhou, Z.-X.; Mao, X.-M.; Tang, Y.; Chen, X.; Jiang, X.-H.; Liu, Y.; Jiang, H.; Li, Y.-Q. Identification and biosynthetic characterization of natural aromatic azoxy products from Streptomyces Chattanoogensis L10. Org. Lett. 2015, 17, 6114–6117. [Google Scholar] [CrossRef] [PubMed]
- Takahashi, H.; Ishioka, T.; Koiso, Y.; Sodeoka, M.; Hashimoto, Y. Anti-androgenic activity of substituted azo- and azoxy-benzene derivatives. Biol. Pharm. Bull. 2000, 23, 1387–1390. [Google Scholar] [CrossRef]
- Kotova, V.A.; Rubanova, E.V.; Jatsynin, V.G. Winter Wheat and Barley Roots Stimulant Fertilizer. Patent RU2368140, 7 April 2008. [Google Scholar]
- Arnab, G.; Limaye, A.S.; Manjunatha, K.N.; Patil, S.A.; Dateer, R.B. Zn-Mediated Selective Reduction of Nitroarenes: A Sustainable Approach for Azoxybenzenes Synthesis. Org. Prep. Proced. Int. 2022, 54, 284–293. [Google Scholar] [CrossRef]
- Nishiyama, Y.; Fujii, A.; Mori, H. Photoreduction synthesis of various azoxybenzenes by visible-light irradiation under continuous flow conditions. J. Flow Chem. 2022, 12, 71–77. [Google Scholar] [CrossRef]
- Jin, M.; Liu, Y.; Zhang, X.; Wang, J.; Zhang, S.; Wang, G.; Zhang, Y.; Yin, H.; Zhang, H.; Zhao, H. Selective electrocatalytic hydrogenation of nitrobenzene over copper-platinum alloying catalysts: Experimental and theoretical studies. Appl. Catal. B 2021, 298, 120545. [Google Scholar] [CrossRef]
- Rezaeifard, A.; Jafarpour, M.; Naseri, M.A.; Shariati, R. A rapid and easy method for the synthesis of azoxy arenes using tetrabutylammonium peroxymonosulfate. Dyes Pigments 2008, 76, 840–843. [Google Scholar] [CrossRef]
- Singh, B.; Mandelli, D.; Pescarmona, P.P. Efficient and selective oxidation of aromatic amines to azoxy derivatives over aluminium and gallium oxide catalysts with nanorod morphology. ChemCatChem 2020, 12, 593–601. [Google Scholar] [CrossRef]
- Tanini, D.; Dalia, C.; Capperucci, A. The polyhedral nature of selenium-catalysed reactions: Se(IV) species instead of se(VI) species make the difference in the on water selenium-mediated oxidation of arylamines. Green Chem. 2021, 23, 5680–5686. [Google Scholar] [CrossRef]
- De Carvalho, G.S.G.; Chagas, L.H.; Fonseca, C.G.; De Castro, P.P.; Sant’Ana, A.C.; Leitão, A.A.; Amarante, G.W. Nb2O5 supported on mixed oxides catalyzed oxidative and photochemical conversion of anilines to azoxybenzenes. New J. Chem. 2019, 43, 5863–5871. [Google Scholar] [CrossRef]
- Qin, J.; Long, Y.; Sun, F.; Zhou, P.-P.; Wang, W.D.; Luo, N.; Ma, J. Zr(OH)4-catalyzed controllable selective oxidation of anilines to azoxybenzenes, azobenzenes and nitrosobenzenes. Angew. Chem. Int. Ed. 2022, 61, e202112907. [Google Scholar] [CrossRef] [PubMed]
- Zlotin, S.G.; Luk’yanov, O.A. Regioselective methods of synthesis of asymmetrically substituted diazene oxides. Russ. Chem. Rev. 1993, 62, 143–168. [Google Scholar] [CrossRef]
- Liu, Y.; Liu, B.; Guo, A.; Dong, Z.; Jin, S.; Lu, Y. Reduction of Nitroarenes to Azoxybenzenes by Potassium Borohydride in Water. Molecules 2011, 16, 3563–3568. [Google Scholar] [CrossRef]
- Boduszek, B.; Halama, A. Nitrobenzyl (α-amino)phosphonates. part 2[1]. cleavage of 4-nitrobenzyl(α-amino)phosphonic acids in aqueous sodium hydroxide solution. Phosphorus Sulfur Silicon Relat. Elem. 1998, 141, 239–250. [Google Scholar] [CrossRef]
- Yang, F.; Wang, Z.; Zhang, X.; Jiang, L.; Li, Y.; Wang, L. A Green Chemoenzymatic Process for the Synthesis of Azoxybenzenes. ChemCatChem 2015, 7, 3450–3453. [Google Scholar] [CrossRef]
- Pahalagedara, M.N.; Pahalagedara, L.R.; He, J.; Miao, R.; Gottlieb, B.; Rathnayake, D.; Suib, S.L. Room temperature selective reduction of nitrobenzene to azoxybenzene over magnetically separable urchin-like Ni/Graphene nanocomposites. J. Catal. 2016, 336, 41–48. [Google Scholar] [CrossRef]
- Kim, J.H.; Park, J.H.; Chung, Y.K.; Park, K.H. Ruthenium Nanoparticle-Catalyzed, Controlled and Chemoselective Hydrogenation of Nitroarenes using Ethanol as a Hydrogen Source. Adv. Synth. Catal. 2012, 354, 2412–2418. [Google Scholar] [CrossRef]
- Tani, H.; Tanaka, S.; Toda, F. Oligomers and Polymers Containing Triple Bonds. II. Derivatives of Ethynylazobenzene. Bull. Chem. Soc. Jpn. 1963, 36, 1267–1271. [Google Scholar] [CrossRef]
- Lakshminarayana, B.; Manna, A.K.; Satyanarayana, G.; Subrahmanyam, C. Palladium nanoparticles on silica nanospheres for switchable reductive coupling of nitroarenes. Catal. Lett. 2020, 150, 2309–2321. [Google Scholar] [CrossRef]
- Galbraith, H.W.; Degering, E.F.; Hitch, E.F. The alkaline reduction of aromatic nitro compounds with glucose. J. Am. Chem. Soc. 1951, 73, 1323–1324. [Google Scholar] [CrossRef]
- Spesivaya, E.S.; Lupanova, I.A.; Konshina, D.N.; Konshin, V.V. 1,2-Bis(4-(1,3-dioxolan-2-yl)phenyl)diazene Oxide. Molbank 2021, 2021, M1224. [Google Scholar] [CrossRef]
- Shine, H.J.; Mallory, H.E. The reduction of aromatic nitro compounds by potassium borohydride. J. Org. Chem. 1962, 27, 2390–2391. [Google Scholar] [CrossRef]
- Ohe, K.; Takahashi, H.; Uemura, S.; Sugita, N. Sodium benzenetellurolate-catalysed selective reduction of aromatic nitro compounds to azoxy compounds. J. Chem. Soc. Chem. Commun. 1988, 9, 591–592. [Google Scholar] [CrossRef]
- Ohe, K.; Uemura, S.; Sugita, N. Sodium arenetellurolate catalysed selective conversion of nitroaromatics to aromatic azoxy or azo compounds and its application for facile preparation of 3,3′- and 4,4′-bis[β-(aryltelluro)vinyl]azobenzenes from (3- and 4-nitrophenyl)acetylenes. J. Org. Chem. 1989, 54, 4169–4174. [Google Scholar] [CrossRef]
- Zeynizadeh, B.; Gilanizadeh, M. Green and highly efficient approach for the reductive coupling of nitroarenes to azoxyarenes using the new mesoporous Fe3O4@SiO2@Co–Zr–Sb catalyst. Res. Chem. Intermed. 2020, 46, 2969–2984. [Google Scholar] [CrossRef]
- Bhosale, S.M.; Momin, A.A.; Kunjir, S.; Rajamohanan, P.R.; Kusurkar, R.S. Unexpected observations during the total synthesis of calothrixin B–sodium methoxide as a source of hydride. Tetrahedron Lett. 2014, 55, 155–162. [Google Scholar] [CrossRef]
- Yan, Z.; Xie, X.; Song, Q.; Ma, F.; Sui, X.; Huo, Z.; Ma, M. Tandem selective reduction of nitroarenes catalyzed by palladium nanoclusters. Green Chem. 2020, 22, 1301–1307. [Google Scholar] [CrossRef]
- Desroches, J.; Champagne, P.A.; Benhassine, Y.; Paquin, J.-F. In situ activation of benzyl alcohols with XtalFluor-E: Formation of 1,1-diarylmethanes and 1,1,1-triarylmethanes through Friedel–Crafts benzylation. Org. Biomol. Chem. 2015, 13, 2243–2246. [Google Scholar] [CrossRef]
- Storz, M.P.; Maurer, C.K.; Zimmer, C.; Wagner, N.; Brengel, C.; de Jong, J.C.; Lucas, S.; Müsken, M.; Häussler, S.; Steinbach, A.; et al. Validation of PqsD as an Anti-biofilm Target in Pseudomonas aeruginosa by Development of Small-Molecule Inhibitors. J. Am. Chem. Soc. 2012, 134, 16143–16146. [Google Scholar] [CrossRef] [PubMed]
- Eppacher, S.; Giester, G.; Bats, J.W.; Noe, C.R. Enantiomerically Pure Poly(oxymethylene) Helices: Correlating Helicity with Centrochirality. Helv. Chim. Acta 2008, 91, 581–597. [Google Scholar] [CrossRef]
- Ðorđević, L.; Casimiro, L.; Demitri, N.; Baroncini, M.; Silvi, S.; Arcudi, F.; Credi, A.; Prato, M. Light-Controlled Regioselective Synthesis of Fullerene Bis-Adducts. Angew. Chem. Int. Ed. 2021, 60, 313. [Google Scholar] [CrossRef] [PubMed]
- Hossain, M.S.; Rahaman, S.A.; Hatai, J.; Saha, M.; Bandyopadhyay, S. Switching the recognition ability of a photoswitchable receptor towards phosphorylated anions. Chem. Commun. 2020, 56, 4172–4175. [Google Scholar] [CrossRef]
- Mutlu, H.; Barner-Kowollik, C. Green chain-shattering polymers based on a self-immolative azobenzene motif. Polym. Chem. 2016, 7, 2272–2279. [Google Scholar] [CrossRef]
- Kumar, M.; Sharma, U.; Sharma, S.; Kumar, V.; Singh, B.; Kumar, N. Catalyst-free water mediated reduction of nitroarenes using glucose as a hydrogen source. RSC Adv. 2013, 3, 4894–4898. [Google Scholar] [CrossRef]


Publisher’s Note: MDPI stays neutral with regard to jurisdictional claims in published maps and institutional affiliations. |
© 2022 by the authors. Licensee MDPI, Basel, Switzerland. This article is an open access article distributed under the terms and conditions of the Creative Commons Attribution (CC BY) license (https://creativecommons.org/licenses/by/4.0/).
Share and Cite
Spesivaya, E.S.; Lupanova, I.A.; Konshina, D.N.; Konshin, V.V. A Direct Method for the Efficient Synthesis of Hydroxyalkyl-Containing Azoxybenzenes. Molbank 2022, 2022, M1384. https://doi.org/10.3390/M1384
Spesivaya ES, Lupanova IA, Konshina DN, Konshin VV. A Direct Method for the Efficient Synthesis of Hydroxyalkyl-Containing Azoxybenzenes. Molbank. 2022; 2022(2):M1384. https://doi.org/10.3390/M1384
Chicago/Turabian StyleSpesivaya, Ekaterina S., Ida A. Lupanova, Dzhamilya N. Konshina, and Valery V. Konshin. 2022. "A Direct Method for the Efficient Synthesis of Hydroxyalkyl-Containing Azoxybenzenes" Molbank 2022, no. 2: M1384. https://doi.org/10.3390/M1384
APA StyleSpesivaya, E. S., Lupanova, I. A., Konshina, D. N., & Konshin, V. V. (2022). A Direct Method for the Efficient Synthesis of Hydroxyalkyl-Containing Azoxybenzenes. Molbank, 2022(2), M1384. https://doi.org/10.3390/M1384

