Abstract
The intermolecular [2 + 2]-photocycloaddition of the parent flavone molecule (4) as the triplet energy-accepting species and the electron-rich alkene 2, 3-dihydrofuran (5) was performed by visible-light-mediated triplet-sensitization with an iridium-based organometallic sensitizer. The reaction proceeds with high diastereo- and regioselectivity (>98:2 for the regiochemical orientation and with 95% d.s.). In contrast to numerous other ene/enone combinations that are described in the literature and were also performed by us, the reaction between 4 and 5 almost solely afforded the cis-syn-cis cyclobutane 6, whereas analogous conjugated six- and five-membered cycloalkenones preferentially react to cis-anti-cis cyclobutanes or a mixture of both diastereoisomers (e.g., for the cyclohexanone-derived example 9).
1. Introduction
The [π2 + π2]-photocycloaddition of two alkene (ene/ene, enone/enone or enone/ene combinations) components with the formation of cyclobutanes is the prime example for a basic photochemical reaction that has been studied extensively—and periodically reviewed—over the last 60 years [1,2,3,4]. These cyclobutanes are interesting molecular scaffolds that find application in natural product synthesis and as precursors for organic synthesis. They are well suited for fragmentation or ring-enlargement reactions facilitated by their high ring strain [5,6,7,8,9,10]. While earlier examples were mainly focused on direct excitation of the substrates with highly energetic UV light [11,12,13,14], recent advances derived milder approaches by irradiation with visible light [15,16,17,18]. Over the last two decades, tremendous improvements on the field of enantioselective [2 + 2]-photocycloaddition reactions emerged from the pioneering work of the research groups of Bach [19,20], Meggers [21], Yoon [22,23] and others. The spin state of the electronically excited component in these bimolecular processes is predominantly triplet, either from fast ISC out of the initially formed singlet excited state or via triplet–triplet energy transfer. Our interest in spin-selective processes and the consequences of spin state on the regio- and diastereoselectvity initiated a systematic study on the donor/acceptor enone/ene (1/2) -combinations in intermolecular photocycloadditions [24] (Scheme 1).
Scheme 1.
Intermolecular enone/ene photocycloaddition: 16 possible products.
The non-symmetric enone/ene substrates 1 and 2 can combine in a 1,2- or 1,3-regioisomeric fashion and with formation of four stereogenic centers, resulting in a maximum of 16 possible cyclobutane isomers with eight diastereoisomers of 31,2 and 31,3. Due to the fact that the triplet [2 + 2]-photocycloaddition cannot proceed in a concerted fashion, the two carbon–carbon bond-forming steps are separated in time and the selectivity-determining steps are also separated: (a) the regioselectivity is determined by the triplet biradical stability; at least numerous examples imply this relationship, (b) the diastereoselectivity of the first C-C-bond formation is determined by Csp2-Csp2-overlap geometry and often follows well-known ground-state rules, (c) the diastereoselectivity for the second C-C-bond (finishing the cyclobutane formation) is determined by optimal triplet biradical intersystem-crossing geometries, mostly the best geometries for large spin-orbit-couplings (SOC-geometries) [25].
One specific naturally occurring cyclic enone structure is 2-phenylchromen-4-one, the basic flavone molecule. Flavonoids are important biomaterials that are commonly found in nature as pigments in plants. The field of application is broad, from nutrition, pharmaceuticals to the application in cosmetics. Their medicinal properties include anti-oxidative, anti-inflammatory, anti-mutagenic and anti-carcinogenic activity [26,27,28,29]. Due to their highly conjugated π-system, these molecules are well suited chromophores that have been investigated in several photophysical and –chemical studies and assimilate cyclic chalcone derivatives [30,31,32]. Flavone (4) is such an example from which excitation occurs at λmax = 365 nm with quantum yields for ISC close to unity (ΦISC = 0.9) to its triplet state by a π,π*-transition (ET = 2.69 eV, 3τ = 4.5 μs) [33,34]. Thus, direct excitation is possible with UV-A radiation or purple light. On the other hand, triplet sensitization appears feasible with diverse triplet sensitizers that absorb in the visible region and can be excited with blue LEDs as the cheap and versatile state-of-the-art light sources.
2. Results
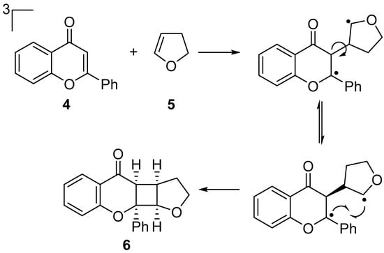
A mixture of acetonitrile and 2,3-dihydrofuran (5) was degassed with argon for 15 min before the parent flavone, 2-phenylchromone 4, was added (Scheme 2). This resulted in an initial concentration of 83 mM for 4 and 0.83 M for 5. After addition of the iridium-based photocatalyst Ir-F ([Ir(dF(CF3)2(ppy)2(dtbpy)]PF6) [35], a catalyst concentration of 0.83 mM resulted. The solution was irradiated with blue light LEDs with an emission maximum around 455 nm for one day. The analysis of the crude reaction mixture indicated the formation of only one regioisomer as a mixture of two diastereoisomers in a 95:5 ratio. Determination of the configuration was performed by NOESY-NMR experiments from the three cyclobutane protons. The formation of the syn-isomer can be easily determined from the 1H-NMR spectrum by a characteristic doublet of doublets (dd) of the α-oxygen proton with a 3JH,H coupling constant of 5.7 Hz to the adjacent proton and a 4JH,H coupling constant of 1.7 Hz to the α-ketone proton. The structure could further be verified from crystallization and X-ray diffraction analysis of the major cycloaddition product 6 (Figure 1 and Supplementary Materials).
Scheme 2.
Energy-transfer sensitized photocycloaddition of flavone with 2,3-dihydrofuran.
Figure 1.
Structure of the photocycloadduct 6 in the crystal.
3. Discussion
Based on the photophysical and electrochemical properties of the photocatalyst (ET = 2.58 eV) as well as the substrates, a photosensitized energy-transfer mechanism can be anticipated. The triplet energy of flavone was reported between 2.7 and 2.8 eV [33,34], a recent TT absorption study and computational investigation reported a value of 2.59 eV for the lowest (ππ*) T1-state [36]. The energy difference between 4 and the photocatalyst is thus approximately 0 to 4 kcal/mol and thus, isoenergetic or slightly endergonic energy transfer can be expected. As already established for the well-known triplet–triplet energy transfer processes with cis- and trans-stilbene, slightly endergonic energy transfer happens with still high-rate constants between 108 and 109 M-s−1 [37]. The flavone/Ir(F) pair is one of these examples that is expected to generate a vibrationally cold T1 state of the energy acceptor.
In contrast to the parent flavone, similar [2 + 2]-photocycloaddition reactions [24] only resulted in the anti-isomer 9 from cyclohexanone 7 with high diastereo- and regioselectivity (Scheme 3). Based on theories proposed in the literature [14,38], the syn-isomer should be favored over the anti-isomer due to stronger orbital interaction in the succeeding electronically excited π-complex (exciplex). However, steric interactions were proposed to inhibit or reduce the formation of syn-isomer, which were shown to result in an increased anti-fusion.
Scheme 3.
A comparable energy-transfer sensitized photocycloaddition of 3-phenylcyclohexenone with 2,3-dihydrofuran [24].
In case of the parent flavone, the rigid structure would reduce these steric interactions with the alkene and may, therefore, be responsible for the selectivity shift (Scheme 4). However, a different explanation may derive from the electronic contribution of the additional oxygen of flavone in comparison to cyclohexanone 7. Hence, electrostatic interactions could also be responsible for the preferred orientation of the substrates. Either way, these observations may more likely indicate that the diastereoselectivity of the cycloaddition is determined prior to the formation of the 1,4-biradical intermediate, i.e., in the initial triplet exciplex. In summary, the reported reaction adds a new stereochemical feature to the broad field of visible-light-induced [2 + 2]-cycloadditions [39].
Scheme 4.
Postulated multistep mechanism of the flavone triplet with 2,3-dihydrofuran.
4. Materials and Methods
1H-NMR spectra were recorded on a Bruker Avance 500 spectrometer (Bruker, Ettlingen, Germany) instruments operating at 500 MHz. Chemical shifts are reported as δ in ppm and the coupling constants J in Hz units. In all spectra, the solvent peaks were used as the internal standard. Solvents used were CDCl3 (δ = 7.26 ppm). Splitting patterns are designated as follows: s, singlet; d, doublet; t, triplet; q, quartet; m, multiplet; br, broad; the 13C-NMR spectra were recorded on a Bruker Avance 500 spectrometer instrument operating at 125 MHz. High-resolution mass spectra (HR-MS) were recorded on a LC/MS LTW Orbitrap LX (Thermo Fischer Scientific, Waltham, MA, USA) and measured for the molecular ion peak (M + H+ and M + Na+). GC-MS measurements were performed with a Varian 4000 device (now Agilent) with helium as the carrier gas and a silica fused WCOT column with a standardized method [50 °C (5 min), 20 °C/min→280 °C (18 min)]. IR spectra were obtained on a Si crystal Fourier Transform spectrometer by Thermo Scientific (Nicolet 380 FT-IR). Solvents for column chromatography were distilled prior to use (c-Hex, EtOAc); acetonitrile was used in HPLC grade or higher. For photolysis, an LED PowerBar (Osram, Munich, Germany) with 12 blue LEDs (Ptotal = 14 W, λemmax = 455 nm) was placed horizontally to the middle of the reaction tube in a distance of 4 cm (±1 cm) to the sample.
Synthesis of 9a-phenyl-2,3,3a,3b,9a,9b-hexahydro-4H-furo[3’,2’:3,4]cyclobuta-[1,2-b]chromen-4-one(6). A 10 mL Pyrex tube was charged with 5.62 mL acetonitrile and 0.38 mL (5.0 mmol, 10 eq.) of 2,3-dihydrofuran (5) and degassed with argon for at least 15 min. 111 mg (0.50 mmol, 1.0 eq.) flavone (4) and 5.6 mg (1 mol%) of [Ir(dF(CF3)2(ppy)2(dtbpy)]PF6 were added, the tube sealed and irradiated with blue LEDs. After 25 h, the reaction mixture was filtered directly over silica gel (EtOAc), the solvent removed under reduced pressure and the crude mixture purified by flash column chromatography (SiO2, 10:1, c-Hex:EtOAc) to afford the cyclobutane 6 in 66% as a colourless solid, m.p. 97–101 °C. 1H-NMR (500 MHz, CDCl3): δ [ppm] = 7.84 (dd, J = 7.9 Hz, 1.7 Hz, 1H, H-12), 7.56 (m, 2H, H-15), 7.49 (ddd, J = 8.7 Hz, 7.3 Hz, 1.8 Hz, 1H, H-10), 7.44 (m, 2H, H-16), 7.35 (m, 1H, H-17), 7.10 (d, J = 8.1 Hz, 1H, H-9), 6.99 (m, 1H, H-11), 4.79 (dd, J = 5.6 Hz, 1.7 Hz, 1H, H-6), 4.10 (td, J = 8.9 Hz, 2.6 Hz, 1H, H-5), 3.76 (m, 1H, H-5), 3.71 (m, 1H, H-2), 3.51 (m, 1H, H-3), 2.20 (m, 1H, H-4), 2.02 (m, 1H, H-4). 13C-NMR (125 MHz, CDCl3): δ [ppm] = 191.6 (s, C-1), 161.0 (s, C-8), 142.4 (s, C-14), 136.9 (d, C-10), 129.0 (d, C-16), 128.3 (d, C-17), 126.5 (d, C-12), 124.7 (d, C-15), 121.5 (d, C-11), 119.6 (s, C-13), 118.5 (d, C-9), 87.0 (d, C-6), 81.8 (s, C-7), 71.5 (t, C-5), 48.7 (d, C-2), 42.6 (d, C-3), 27.8 (t, C-4). ṽ [cm−1] = 3061 (w), 3036 (w), 2951 (w), 2891 (w), 2355 (w), 2338 (w), 1671 (m), 1654 (m), 1605 (m), 1577 (w), 1460 (s), 1374 (w), 1329 (m), 1300 (m), 1230 (m), 1120 (m), 1104 (m), 1029 (w), 957 (w), 760 (m), 698 (m). Calculated mass [M − H]+ = 293.1311722, [M-Na]+ = 315.09916, determined mass [amu]: [M − H]+= 293.11690 [M − Na]+ = 315.09886. GC-MS (EI, 70 eV) = 224 (16), 223 (100), 194 (10), 92 (12), 77 (10), 63 (8).
Supplementary Materials
The following are available online at https://www.mdpi.com/article/10.3390/M1256/s1. Figures S1–S8: Cycloadduct 6: X-ray ellipsoid picture, ball and stick picture, 1H-NMR, 13C-NMR, and IR spectra, MS analysis, Table S1: data for X-ray structure analysis [40].
Author Contributions
Conceptualization, A.G.G.; X-ray analysis and data curation, J.N.; writing—original draft preparation, J.L. and A.G.G.; research, J.L.; supervision, A.G.G. All authors have read and agreed to the published version of the manuscript.
Funding
This research received no external funding.
Institutional Review Board Statement
Not applicable.
Informed Consent Statement
Not applicable.
Data Availability Statement
Data are contained within the article or Supplementary Materials.
Conflicts of Interest
The authors declare no conflict of interest.
References
- Schuster, D.I.; Lem, G.; Kaprinidis, N.A. New insights into an old mechanism: [2 + 2] photocycloaddition of enones to alkenes. Chem. Rev. 1993, 93, 3–22. [Google Scholar] [CrossRef]
- Bach, T. Stereoselective Intermolecular [2 + 2]-Photocycloaddition Reactions and Their Application in Synthesis. Synthesis 1998, 1998, 683–703. [Google Scholar] [CrossRef]
- Poplata, S.; Tröster, A.; Zou, Y.-Q.; Bach, T. Recent Advances in the Synthesis of Cyclobutanes by Olefin [2 + 2] Photocycloaddition Reactions. Chem. Rev. 2016, 116, 9748–9815. [Google Scholar] [CrossRef] [PubMed]
- Sarkar, D.; Bera, N.; Ghosh, S. [2 + 2] Photochemical Cycloaddition in Organic Synthesis. Eur. J. Org. Chem. 2020, 2020, 1310–1326. [Google Scholar] [CrossRef]
- Crimmins, M.T.; Wang, Z.; McKerlie, L.A. Rearrangement of cyclobutyl carbinyl radicals: Total synthesis of the spirovetivane phytoalexin (±)-lubiminol. Tetrahedron Lett. 1996, 37, 8703–8706. [Google Scholar] [CrossRef]
- Mehta, G.; Sreenivas, K. Total synthesis of the novel tricyclic sesquiterpene sulcatine G. Chem. Commun. 2001, 1892–1893. [Google Scholar] [CrossRef]
- Langer, K.; Mattay, J. Stereoselective Intramolecular Copper(I)-Catalyzed [2 + 2]- Photocycloadditions. Enantioselective Synthesis of (+)- and (-)-Grandisol. J. Org. Chem. 2002, 60, 7256–7266. [Google Scholar] [CrossRef]
- Lee-Ruff, E.; Mladenova, G. Enantiomerically Pure Cyclobutane Derivatives and Their Use in Organic Synthesis. Chem. Rev. 2003, 103, 1449–1483. [Google Scholar] [CrossRef]
- Iriondo-Alberdi, J.; Greaney, M.F. Photocycloaddition in Natural Product Synthesis. Eur. J. Org. Chem. 2007, 2007, 4801–4815. [Google Scholar] [CrossRef]
- Hoffmann, N. Photochemical Reactions as Key Steps in Organic Synthesis. Chem. Rev. 2008, 108, 1052–1103. [Google Scholar] [CrossRef]
- Stobbe, H.; Hensel, A. Polymere des Anisal-acetophenons und anderer Chalkone. (I. Mitteilung über Truxill-und Truxin-Ketone). Ber. Dtsch. Chem. Ges. 1926, 59, 2254–2265. [Google Scholar] [CrossRef]
- Corey, E.J.; Bass, J.D.; LeMahieu, R.; Mitra, R.B. A Study of the Photochemical Reactions of 2-Cyclohexenones with Substituted Olefins. J. Am. Chem. Soc. 1964, 86, 5570–5583. [Google Scholar] [CrossRef]
- Cantrell, T.S.; Haller, W.S.; Williams, J.C. Photocycloaddition reactions of some 3-substituted cyclohexenones. J. Org. Chem. 1969, 34, 509–519. [Google Scholar] [CrossRef]
- Sano, T.; Horiguchi, Y.; Tsuda, Y. Dioxopyrrolines. XXXVII Stereochemical pathways of dioxopyrroline-olefin photocycloaddition. Stereochemical selection rule for the photocycloaddition of enone-olefin pairs. Chem. Pharm. Bull. 1987, 35, 23–34. [Google Scholar] [CrossRef][Green Version]
- Lei, T.; Zhou, C.; Huang, M.Y.; Zhao, L.M.; Yang, B.; Ye, C.; Xiao, H.; Meng, Q.Y.; Ramamurthy, V.; Tung, C.H.; et al. General and Efficient Intermolecular [2 + 2] Photodimerization of Chalcones and Cinnamic Acid Derivatives in Solution through Visible-Light Catalysis. Angew. Chem. Int. Ed. 2017, 56, 15407–15410. [Google Scholar] [CrossRef]
- Riener, M.; Nicewicz, D.A. Synthesis of cyclobutane lignans via an organic single electron oxidant–electron relay system. Chem. Sci. 2013, 4, 2625–2629. [Google Scholar] [CrossRef]
- Du, J.; Yoon, T.P. Crossed Intermolecular [2 + 2] Cycloadditions of Acyclic Enones via Visible Light Photocatalysis. J. Am. Chem. Soc. 2009, 131, 14604–14605. [Google Scholar] [CrossRef]
- Oderinde, M.S.; Ramirez, A.; Dhar, T.G.M.; Cornelius, L.A.M.; Jorge, C.; Aulakh, D.; Sandhu, B.; Pawluczyk, J.; Sarjeant, A.A.; Meanwell, N.A.; et al. Photocatalytic Dearomative Intermolecular [2 + 2] Cycloaddition of Heterocycles for Building Molecular Complexity. J. Org. Chem. 2021, 86, 1730–1747. [Google Scholar] [CrossRef]
- Tröster, A.; Alonso, R.; Bauer, A.; Bach, T. Enantioselective Intermolecular [2 + 2] Photocycloaddition Reactions of 2(1H)-Quinolones Induced by Visible Light Irradiation. J. Am. Chem. Soc. 2016, 138, 7808–7811. [Google Scholar] [CrossRef] [PubMed]
- Pecho, F.; Zou, Y.Q.; Gramüller, J.; Mori, T.; Huber, S.M.; Bauer, A.; Gschwind, R.M.; Bach, T. A Thioxanthone Sensitizer with a Chiral Phosphoric Acid Binding Site: Properties and Applications in Visible Light-Mediated Cycloadditions. Chem. Eur. J. 2020, 26, 5190–5194. [Google Scholar] [CrossRef]
- Huang, X.; Quinn, T.R.; Harms, K.; Webster, R.D.; Zhang, L.; Wiest, O.; Meggers, E. Direct Visible-Light-Excited Asymmetric Lewis Acid Catalysis of Intermolecular [2 + 2] Photocycloadditions. J. Am. Chem. Soc. 2017, 139, 9120–9123. [Google Scholar] [CrossRef]
- Du, J.; Skubi, K.L.; Schultz, D.M.; Yoon, T.P. A Dual-Catalysis Approach to Enantioselective [2 + 2] Photocycloadditions Using Visible Light. Science 2014, 344, 392–396. [Google Scholar] [CrossRef]
- Blum, T.R.; Miller, Z.D.; Bates, D.M.; Guzei, I.A.; Yoon, T.P. Enantioselective photochemistry through Lewis acid–catalyzed triplet energy transfer. Science 2016, 354, 1391–1395. [Google Scholar] [CrossRef]
- Lefarth, J. Intermolecular [2 + 2]-Photocycloaddition Reactions of Complex Acceptor-Donor Systems and Development of an Enantioselective Photocatalyzed Hydroformylation Reaction. Ph.D. Thesis, University of Cologne, Köln, Germany, 2021. [Google Scholar]
- Kutateladze, A.G. Conformational Analysis of Singlet−Triplet State Mixing in Paternò−Büchi Diradicals. J. Am. Chem. Soc. 2001, 123, 9279–9282. [Google Scholar] [CrossRef]
- Panche, A.N.; Diwan, A.D.; Chandra, S.R. Flavonoids: An overview. J. Nutr. Sci. 2016, 5. [Google Scholar] [CrossRef]
- Karak, P. Biological Activities of Flavonoids: An Overview. Int. J. Pharm. Sci. Res. 2019, 3, 1567–1574. [Google Scholar]
- Nijveldt, R.J.; van Nood, E.; van Hoorn, D.E.; Boelens, P.G.; van Norren, K.; van Leeuwen, P.A. Flavonoids: A review of probable mechanisms of action and potential applications. Am. J. Clin. Nutr. 2001, 74, 418–425. [Google Scholar] [CrossRef]
- Sisa, M.; Bonnet, S.L.; Ferreira, D.; Van der Westhuizen, J.H. Photochemistry of flavonoids. Molecules 2010, 15, 5196–5245. [Google Scholar] [CrossRef]
- Nakayama, T.; Shimizu, T.; Torii, Y.; Miki, S.; Hamanoue, K. A comparison of the photochemistry of flavanone with that of flavone originating from their lowest excited triplet states in ethanol. J. Photochem. Photobiol. A Chem. 1997, 111, 35–39. [Google Scholar] [CrossRef]
- Monici, M.; Mulinacci, N.; Baglioni, P.; Vincieri, F. Flavone photoreactivity. UV-induced reactions in organic solvents and micellar systems. J. Photochem. Photobiol. B Biol. 1993, 20, 167–172. [Google Scholar] [CrossRef]
- Chaaban, H.; Ioannou, I.; Paris, C.; Charbonnel, C.; Ghoul, M. The photostability of flavanones, flavonols and flavones and evolution of their antioxidant activity. J. Photochem. Photobiol. A Chem. 2017, 336, 131–139. [Google Scholar] [CrossRef]
- Bhattacharyya, K.; Ramaiah, D.; Das, P.K.; George, M.V. A laser flash photolysis study of 2,6-dimethyl-3,5-diphenyl-4-pyrone and related chromones. Evidence for triplet state structural relaxation from quenching behaviors. J. Phys. Chem. 1986, 90, 5984–5989. [Google Scholar] [CrossRef]
- Pownall, H.J. Solvent and substituent effects in aromatic carbonyl compounds: The triplet state of flavone. Spectrochim. Acta Part A Mol. Spectrosc. 1974, 30, 953–959. [Google Scholar] [CrossRef]
- Lowry, M.S.; Goldsmith, J.I.; Slinker, J.D.; Rohl, R.; Pascal, R.A.; Malliaras, G.; Bernhard, S. Single-Layer Electroluminescent Devices and Photoinduced Hydrogen Production from an Ionic Iridium(III) Complex. Chem. Mater. 2005, 17, 5712–5719. [Google Scholar] [CrossRef]
- Engler, G.; Nispel, M.; Marian, C.; Kleinermanns, K. Transient spectroscopy of UV excited flavone: Triplet–triplet absorption and comparison with theory. Chem. Phys. Lett. 2009, 473, 167–170. [Google Scholar] [CrossRef]
- Orlandi, G.; Monti, S.; Barigelletti, F.; Balzani, V. Triplet energy transfer to cis and trans stilbene. A quantum mechanical approach. Chem. Phys. 1980, 52, 313–319. [Google Scholar] [CrossRef]
- Kelly, J.F.D.; Kelly, J.M.; McMurry, T.B.H. Photochemistry of substituted cyclic enones. Part 12. Photocycloaddition of 3-phenylcyclopentenone and 3-phenylcyclohexenone to (E)- and (Z)-1-phenylpropene. J. Chem. Soc. Perkin Trans. 2 1999, 1933–1941. [Google Scholar] [CrossRef]
- Sicignano, M.; Rodríguez, R.I.; Alemán, J. Recent Visible Light and Metal Free Strategies in [2 + 2] and [4 + 2] Photocycloadditions. Eur. J. Org. Chem. 2021, 2021, 3303–3321. [Google Scholar] [CrossRef]
- Data from the Crystal Structure Analysis for 6 is Deposited at the Cambridge Crystallographic Data Centre (CCDC) with the Deposition Number CCDC 2089434. Available online: https://www.ccdc.cam.ac.uk/ (accessed on 21 July 2021).
Publisher’s Note: MDPI stays neutral with regard to jurisdictional claims in published maps and institutional affiliations. |
© 2021 by the authors. Licensee MDPI, Basel, Switzerland. This article is an open access article distributed under the terms and conditions of the Creative Commons Attribution (CC BY) license (https://creativecommons.org/licenses/by/4.0/).




