Abstract
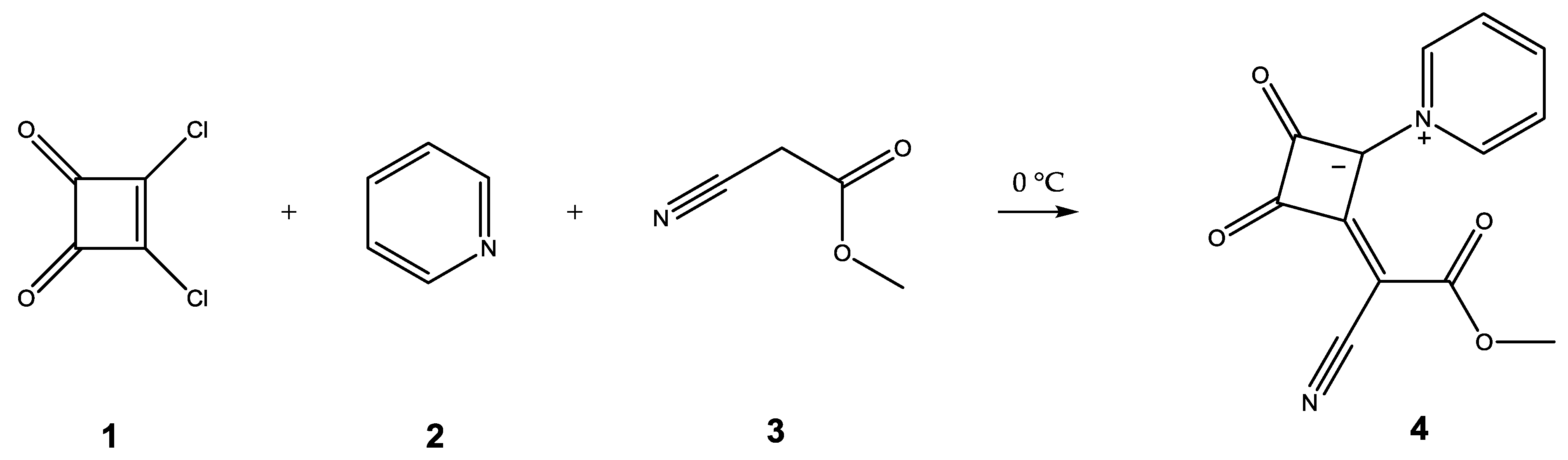
(E)-2-(1-Cyano-2-methoxy-2-oxoethylidene)-3,4-dioxo-1-(pyridin-1-ium-1-yl)cyclobutan-1-ide was obtained by a three-component reaction of squaric acid dichloride with pyridine and methyl cyanoacetate.
1. Introduction
Oxocarbons are a family of aromatic monocyclic anions of the general formula [CnOn]−m and related compounds [1]. For derivatives in which the oxygen atoms are replaced by heteroatoms such as nitrogen or sulfur, or by substituents such as a dicyanomethylene group, the term “pseudooxocarbons” is used [2].
The anion of squaric acid (3,4-dihydroxycylobut-3-ene-1,2-dione) is the most prominent representative of the oxocarbons. Due to their photoelectrical properties, mesoionic compounds derived from squaric acid, e.g., squaraines, exhibit practical applications in solar cell technology [3,4]. Pyridinium ylides of squaric acid are structurally related to squaraines and thus may be utilized in a similar manner [5,6]. These compounds can be prepared by the reaction of squaric acid dichloride with pyridine and water [7,8]. If, instead of water, N-nucleophiles such as cyanamide or sulfonamides are used, pseudooxocarbon ylides are obtained [9]. We have succeeded in preparing the pseudooxocarbon ylide 4 by reaction of squaric acid dichloride (1) with pyridine (2) and methyl cyanoacetate (3) as C-nucleophile (Scheme 1).
Scheme 1.
Synthesis of the title compound 4.
2. Results and Discussion
Compound 4 was prepared in accordance with the procedure described for the synthesis of other pyridinium ylides of squaric acid by slowly adding pyridine to a solution of the other two components in anhydrous dichloromethane [8,9]. The best results were obtained when the reaction temperature was maintained at 0 °C and contact with atmospheric moisture was avoided. Crystallization of the crude isolated material from a DMF/methanol mixture yielded the product as the (E)-configurated diastereomer, as was shown by an X-ray structure analysis of a single crystal (Figure 1). The central ring and its immediate substituents (C1 to C4, N1, O1, O2) are coplanar with a mean deviation of only 0.01 Å; the atom C10 lies 0.10 Å outside this plane. The atom grouping C10 to C13, O3, O4, N2 also forms a plane (mean deviation 0.025 Å) and this subtends an interplanar angle of 5° to the central plane. Finally, the pyridine substituent makes an angle of 54° to the central plane.
Figure 1.
The molecule of compound 4 in the crystal. Ellipsoids represent 50% probability levels. Selected bond lengths (Å) and angles (°): C1-O1 1.1999(14), C1-C4 1.5221(15), C1-C2 1.5452(16), C2-O2 1.2168(14), C2-C3 1.4427(15), C3-C4 1.4096(15), C3-N1 1.4221(14), C4-C10 1.3742(15); C4-C1-C2 88.33(8), C3-C2-C1 86.24(9), C4-C3-C2 97.05(9), C3-C4-C1 88.31(9).
Like other pyridinium ylides of squaric acid, 4 dissolves only in polar solvents, e.g., acetic acid or dimethylformamide, at high temperatures. Because of the electron delocalization, all representatives of this class of substances are intensely coloured. The UV/Vis-spectrum of a methanolic solution shows absorption maxima at 318 and 357 nm.
3. Materials and Methods
3.1. Materials
Dichloromethane was dried over phosphorus pentoxide and distilled before use. Pyridine was dried over potassium hydroxide and distilled before use. Squaric acid dichloride was prepared by a literature procedure [10]. Other reagents and solvents were purchased from Acros Organics, Geel, Belgium, and were used without further purification.
3.2. Instrumentation
Melting points were determined in open-glass capillaries on an electric variable heater (Electrothermal IA 9100, Bibby Scientific, Stone, UK). FT-IR absorption spectra were recorded on a Thermo Nicolet FT-IR 200 spectrometer (Thermo Nicolet, Madison, WI, USA) using KBr pellets. 1H-NMR and 13C-NMR spectra were recorded on a Bruker Avance DRX-400 (Bruker Corporation, Billerica, MA, USA) (NMR laboratories of the Chemical Institutes of the Technische Universität Braunschweig) using DMSO-d6 as solvent. Chemical shifts are reported as parts per million (ppm) downfield from TMS used as an internal standard. Elemental analyses were recorded on a CE Instruments FlashEA® 1112 Elemental Analyzer (Thermo Quest, San Jose, CA, USA). Mass spectra were recorded on a MAT 95 XL spectrometer (ThermoFinnigan MAT, Bremen, Germany, department of mass spectrometry of the Chemical Institutes of the Technische Universität Braunschweig). UV absorption spectra (200 to 600 nm) were recorded on an PU 8700 UV/VIS Spectrometer in methanol. HPLC analyses were performed on a Merck Hitachi LaChrom Elite system (pump: L-2130, DAD detector: L-2450; autosampler: L-2200; column: Merck LiChroCART 125-4, LiChrospher 100 RP-18 (5 μm) (Merck, Darmstadt, Germany); eluent: acetonitrile/water (10:90), elution rate 1.000 mL/min; detection wavelength: 254 nm and 280 nm; overall run time: 15 min); tms = total retention time, ts = dead time.
3.3. Synthesis
To an ice-cooled solution of squaric acid dichloride (1) (1.51 g, 10.0 mmol) and methyl cyanoacetate (3) (0.99 g, 10.0 mmol) in anhydrous dichloromethane (10 mL) was added dropwise a solution of pyridine (2) (2.37 g, 30.0 mmol) in the same solvent (15 mL) at 0 °C over 30 min. After stirring for 1 h at room temperature the resulting precipitate was filtered off and washed twice with propan-2-ol (5 mL). Crystallization from methanol/DMF yielded 1.15 g (44.9%) of a brown solid.
M.p.: 250–252 °C (dec.); UV (methanol): λmax 357 nm, λmax 318 nm; MS (EI) m/z (%): 256 [M+] (7), 79 (100); IR (KBr) (cm−1): 2206 (CN), 1785, 1773, 1752, 1695 (C=O); 1H-NMR (400 MHz, DMSO-d6) δ (ppm): 8.92 (m, 2H, ArH), 8.67 (tt, 1H, J = 1.4, 7.8 Hz, ArH), 8.23 (m, 2H, ArH), 3.51 (s, 3H, CH3); 13C-NMR (100 MHz, DMSO-d6) δ (ppm): 194.1, 180.6, 172.4, 165.0, 157.4, 116.3, 67.5 (C), 146.3, 143.3 (2C), 126.4 (2C) (CH), 51.4 (CH3); HPLC (AUC%): 99.7% at 254 nm, 99.9% at 280 nm; tms = 5.53 min; ts = 1.69 min; Elemental analysis calculated for C13H8N2O4 (256.21): C, 60.94%; H, 3.15%; N, 10.93%; found: C, 60.68%; H, 3.16%; N, 10.78%. The supporting 1H-NMR, 13C-NMR, IR, UV/VIS and mass spectra are presented in the supplementary material file.
3.4. X-ray Structure Determination of 4
Crystal data: Monoclinic, P21/n, a = 10.37270(13), b = 6.54287(9), c = 17.0477(2) Å, β = 91.1876(12)°, V = 1156.73 Å3 (at 100 K), Z = 4, Dx = 1.471 Mg m−3, μ = 0.95 mm−1.
A square plate-shaped crystal ca. 0.15 × 0.15 × 0.03 mm was mounted in inert oil on a glass fibre and transferred to the cold gas stream of the diffractometer (Oxford Diffraction Nova A using mirror-focussed Cu-Kα radiation). A total of 45,417 intensities were recorded to 2θmax 152°. Absorption corrections were implemented on the basis of multi-scans. The structure was refined anisotropically on F2 using the program SHELXL-97 [11]. Hydrogens were included using rigid methyl groups or a riding model starting from calculated positions. Final wR2 = 0.091 for 173 parameters and all 2415 unique reflections, R1 = 0.033 [I > 2σ(I)], S = 1.05, max. Δρ = 0.26 e Å−3.
Supplementary Materials
CCDC-1556336 contains the complete supplementary crystallographic data. These data can be obtained free of charge from The Cambridge Crystallographic Data Centre via www.ccdc.cam.ac.uk/data_request/cif. The 1H-NMR, 13C-NMR, IR, UV/VIS and mass spectra are available online at www.mdpi.com/1422-8599/2017/3/M953.
Supplementary File 1Supplementary File 2Supplementary File 3Supplementary File 4Acknowledgments
J.G. thanks C. Lechner for technical assistance.
Author Contributions
J.G.: Experimental synthetic work, synthesis planning, literature research, writing of manuscript; P.G.J.: X-ray structure determination, writing and proof reading of manuscript; C.K.: writing of manuscript.
Conflicts of Interest
The authors declare no conflict of interest.
References
- West, R.; Powell, D.L. New aromatic anions. III. Molecular orbital calculations on oxygenated anions. J. Am. Chem. Soc. 1963, 85, 2577–2579. [Google Scholar] [CrossRef]
- Fatiadi, A.J. Synthesis of 1,3-(dicyanomethylene)croconate salts. New bond-delocalized dianion, “Croconate Violet”. J. Am. Chem. Soc. 1978, 100, 2586–2587. [Google Scholar] [CrossRef]
- Xia, G.; Wang, H. Squaraine dyes: The hierarchical synthesis and its application in optical detection. J. Photochem. Photobiol. C Photochem. Rev. 2017, 31, 84–113. [Google Scholar] [CrossRef]
- Shafeekh, K.M.; Das, S.; Sissa, C.; Painelli, A. Asymmetric squaraine dyes: Spectroscopic and theoretical investigation. J. Phys. Chem. B 2013, 117, 8536–8546. [Google Scholar] [CrossRef] [PubMed]
- Li, T.-Y.; Su, C.; Akula, S.B.; Sun, W.-G.; Chien, H.-M.; Li, W.-R. New pyridinium ylide dyes for dye sensitized solar cell applications. Org. Lett. 2016, 18, 3386–3389. [Google Scholar]
- Kolev, T.M.; Yancheva, D.Y.; Stoyanov, S.I. Synthesis and spectral and structural elucidation of some pyridinium betaines of squaric acid: Potential materials for nonlinear optical applications. Adv. Funct. Mater. 2004, 14, 799–805. [Google Scholar] [CrossRef]
- Grünefeld, J.; Zinner, G. Neue Oxokohlenstoff-Betaine der Quadratsäure. Chem.-Ztg. 1984, 108, 112. [Google Scholar]
- Schmidt, A.H.; Aimène, A.; Schneider, M. Eine neue Klasse von Stickstoff-Betainen der Quadratsäure. Synthesis 1984, 436–439. [Google Scholar] [CrossRef]
- Schmidt, A.H.; Straus, M.; Botzet, D. Oxokohlenstoffe und verwandte Verbindungen; 10. Mitteilung. Pseudooxokohlenstoff-Betaine der C4-Reihe mit einer Cyanamino- bzw. einer Sulfonylamino-Funktion durch Dreikomponenten-Reaktion. Synthesis 1985, 1055–1057. [Google Scholar] [CrossRef]
- Lunelli, B. New, optimized preparation of 1,2-dichlorocyclobuten-1,2-dione (C4O2Cl2) from squaric acid and oxalyl chloride. Tetrahedron Lett. 2007, 48, 3595–3597. [Google Scholar] [CrossRef]
- Sheldrick, G.M. A short history of SHELX. Acta Cryst. 2008, A64, 112–122. [Google Scholar] [CrossRef] [PubMed]
© 2017 by the authors. Licensee MDPI, Basel, Switzerland. This article is an open access article distributed under the terms and conditions of the Creative Commons Attribution (CC BY) license (http://creativecommons.org/licenses/by/4.0/).

