Abstract
A new chromene containing 1,3,4-thiadiazole and trifluoromethyl(CF3), 6-chloro-2-hydroxy-2-trifluoromethyl-2H-chromene-3-carboxylic acid (5-allylsulfanyl-[1,3,4]thiadiazol-2-yl)-amide was synthesized and its structure was characterized by IR, 1H-NMR, 13C-NMR, 19F-NMR and HRMS.
1. Introduction
Many compounds containing chromene ring moiety display broad spectrum of biological activity [1,2,3,4]. 2H-Chromenes have gained much attention because of various biological activities such as antiviral, anti-tumor, anti-bacterial, fungicidal, antiflamatory, antioxidative and activator of potassium channels effects [5,6,7,8,9]. Recently, introduction of fluorine atoms into organic compounds has been regarded as one of the best ways for the enhancement or modification of their original biological activities [10,11]. It was found and verified that the trifluoromethyl(CF3) group, regarded as a pseudo-halogen, imparted unique biological activity [12,13].
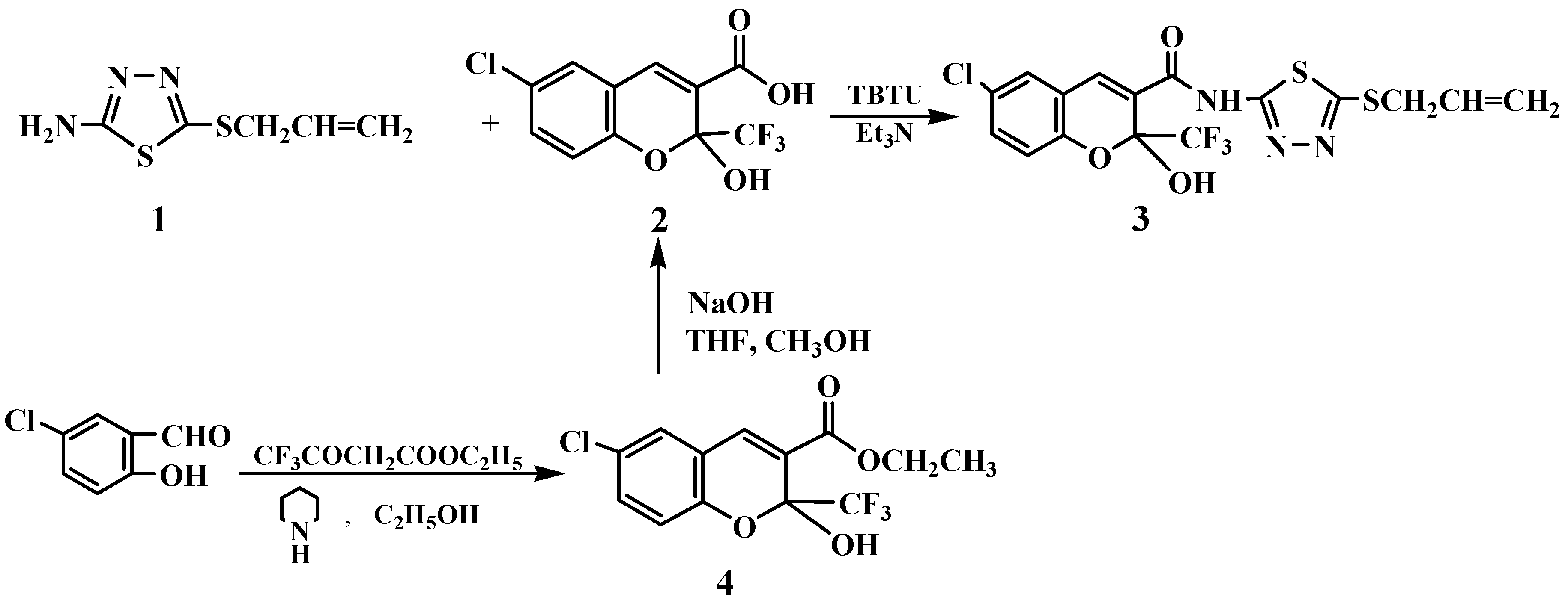
On the other hand, thiadiazoles are organic heterocyclic compounds having been reported to have a wide application in pharmaceuticals and pesticides due to their good and extensive biological activities [14,15,16]. Introduction of a thiadiazole ring into the chromene may improve the biological activities. As a continuation of our previous work for synthesis of heterocyclic compounds with chromene skeleton [17,18,19], we report here another new 2H-chromene, 6-chloro-2-hydroxy-2-trifluoromethyl-2H-chromene-3-carboxylic acid (5-allylsulfanyl-[1,3,4]thiadiazol-2-yl)-amide, and it was fully characterized.
Synthesis
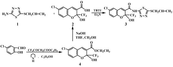
The title compound 3 was prepared from dehydration of 6-chloro-2-hydroxy-2-(trifluoromethyl)-2H-chromene-3-carboxylic acid 2, obtained by hydrolysis of ethyl 6-chloro-2-hydroxy-2-(trifluoromethyl)-2H-chromene-3-carboxylate 4 [19], with an equimolar amount of 5-allylsulfanyl-[1,3,4]thiadiazol-2-ylamine 1 in acetonitrile for 24 h in the presence of N,N,N′,N′-tetramethyluranium-O-(benzotriazol-1-yl)tetrafluoroborate (TBTU) and triethyl amine. This new chromene was fully characterized by IR, 1H-NMR, 13C-NMR and HRMS data. As shown in Scheme 1.
Scheme 1.
The synthesis of 6-chloro-2-hydroxy-2-trifluoromethyl-2H-chromene-3-carboxylic acid (5-allylsulfanyl-[1,3,4]thiadiazol-2-yl)-amide, 3.
Experimental
All reagents were purchased from commercial sources and used without further purification. Infrared spectra were recorded with a Nicolet IS10 Fourier Transform Infrared Spectrophotometer (4000–400 cm−1) (KBr pellets). 1H and 13C-NMR spectra of CDCl3 solutions were obtained by a Bruker DPX-400 Spectrometer, respectively. 19F-NMR spectra were recorded in CDCl3 by instrument calibration. High resolution mass spectrometry data were measured on a Waters Q-Tof micro™ instrument with an electrospray ionization source (ESIMS). Melting points were determined on an X-5 digital microscopic melting-point apparatus (Beijing Tech Instruments Co., Beijing, China) and are uncorrected.
To a solution of 6-chloro-2-hydroxy-2-(trifluoromethyl)-2H-chromene-3-carboxylic acid (2) (2.20 g, 7.5 mmol) and 5-allylsulfanyl-[1,3,4]thiadiazol-2-ylamine (1) (1.30 g, 7.5 mmol), in dry acetonitrile (100 mL), TBTU (4.81 g, 15 mmol) and Et3N (3.1 mL, 22.5 mmol) were added. The mixture was stirred for 24 h at 40 °C with TLC monitoring using ethyl acetate: ethylene dichloride (1:1) as eluent. After completion of the reaction, the solvent was removed by reduced pressure distillation. The residue was chromatographed on silica gel using ethyl acetate:ethylene dichloride (1:3~1:1) as the eluent, to make the title compound 3 a white solid.
Yield: 56%; m.p.: 205.2~206.1 °C.
IR, (ν, cm−1): 3457 (-OH), 3128 (N-H), 1654 (C=O), 1611, 1563, 1488 (Ar), 1281 (C-N), 1186 (C-O-C).
1H-NMR (CDCl3, 400 MHz): δ 4.00 (d, J = 6.4 Hz, 2H, CH2S), 5.36 (d, J = 10 Hz, 1H, -CH=), 5.53 (d, J = 16.8 Hz, 1H, Allyl-H), 5.97–6.08 (m, 2H, Allyl-H, Ar-H), 7.11 (d, J = 8.8 Hz, 1H, Ar-H), 7.45 (d, J = 7.6 Hz, Ar-H), 8.64 (s, 1H, H-4).
13C-NMR (CDCl3, 100 MHz): δ 36.00, 69.95(q, 2JC, F = 33.5 Hz, CCF3), 105.14, 114.50, 119.03, 120.96, 123.45(q, 1JC, F = 286.6 Hz, CF3), 127.57, 128.28, 130.14, 133.95, 138.64, 153.85, 158.25, 163.33, 164.73.
19F-NMR (CDCl3, 376.5 MHz): −76.68 (-CF3).
HRMS: calcd for m/z (C16H11ClF3N3O3S2-OH)+: 431.9855; found: 431.9854.
Supplementary materials
Supplementary File 1Supplementary File 2Supplementary File 3Supplementary File 4Acknowledgments
We are grateful for the financial support of this work from Key Science and Technique Foundation of Henan Province (112101110200).
Conflicts of Interest
The authors declare no conflict of interest.
References
- Starks, C.M.; Williams, R.B.; Norman, V.L.; Rice, S.M.; O’Neil-Johnson, M.A.; Lawrence, J.A.; Eldridge, G.R. Antibacterial chromene and chromane stilbenoids from hymenocardia acida. Phytochemistry 2014, 98, 216–222. [Google Scholar] [CrossRef] [PubMed]
- Filipe, A.; Marta, C.; Marian, C.; José, B.; Ellisabet, G.P.; Fernanda, P.; Jordi, M.; Maria, I.L. New chromene scaffolds for adenosine A2A receptors: Synthesis, pharmacology and structure-activity relationship. Eur. J. Med. Chem. 2012, 54, 303–310. [Google Scholar]
- Cheng, J.F.; Akora, I.; Yoshinori, O.; Thomas, A.; Alex, N. Novel chromene derivatives as TNF-α inhibitors. Bioorg. Med. Chem. Lett. 2003, 13, 3647–3650. [Google Scholar] [CrossRef] [PubMed]
- Nermien, M.S.; Hany, M.M.; Essam Shawky, A.E.H.K.; Shymaa, S.M.; Ahmed, M.E.A. Synthesis of 4H-chromene, coumarin, 12H-chromeno[2,3-d]pyrimidine derivatives and some of their antimicrobial and cytotoxicity activities. Eur. J. Med. Chem. 2011, 46, 765–772. [Google Scholar]
- Cinzia, C.; Nicolata, D. Synthesis and antirhinovirus activity of new 3-benzyl chromene and chroman derivatives. Bioorg. Med. Chem. 2009, 17, 3720–3727. [Google Scholar]
- Monga, P.K.; Sharma, D.; Dubey, A. Comparative study of microwave and conventional synthesis and pharmacological activity of coumarins: A review. J. Chem. Pharm. Res. 2012, 4, 822–850. [Google Scholar]
- Mohammad, A.; Mehdi, K.; Ali, R.; Saeed, E.; Abdolhossein, Z.; Omidreza, F.; Ramin, M.; Abbas, S. 2H-chromene derivatives bearing thiazolidine-2,4-dione rhodanine or hydantoin moieties as potential anti-cancer agents. Eur. J. Med. Chem. 2013, 59, 15–22. [Google Scholar]
- Yin, S.Q.; Shi, M.; Kong, T.T.; Zhang, C.M.; Han, K.K.; Cao, B.Y.; Zhang, Z.B.; Du, X.L.; Tang, L.Q.; Mao, X.L.; et al. Preparation of S14161 and its analogues and the discoveryof 6-bromo-8- ethoxy-3-nitro-2H-chromene as a more potent antitumor agent in vitro. Bioorg. Med. Lett. 2013, 23, 3314–3319. [Google Scholar] [CrossRef] [PubMed]
- Thompson, R.; Doggrell, S.; Hoberg, J.O. Potassium channel activators based on the benzopyran substructure: Synthesis and activity of the C-8 substituent. Bioorg. Med. Chem. 2003, 11, 1663–1668. [Google Scholar] [CrossRef]
- Tatsuya, M.; Kazuya, U.; Osamu, M.; Kazunori, Y.; Noritada, M. Synthetic studies of fluorine-containing compounds for household inseticides. J. Fluor. Chem. 2007, 128, 1174–1181. [Google Scholar]
- Uneyama, K. Organofluorine Chemistry; Blackwell Publishing Ltd.: Oxford, UK, 2006. [Google Scholar]
- Filler, Y.K. Biomedical Aspects of Fluorine Chemistry; Elservier Biomedical Press: New York, NY, USA, 1986. [Google Scholar]
- Hudlicky, M. Chemistry of Organic Fluorine Compounds II; American Chemical Society: Washington, DC, USA, 1995. [Google Scholar]
- Pramilla, S.; Pratibha, B.; Manu, S.; Chandr, P.G. Synthesis of formazans from mannich base of 5-(4-chlorophenyl amino)-2-mercapto-1,3,4-thiadiazole as antimicrobial agents. Arab. J. Chem. 2014, 7, 181–187. [Google Scholar]
- Li, Q.; Ren, J.M.; Dong, F.; Feng, Y.; Gu, G.D.; Guo, Z.Y. Synthesis and antifungal activity of thiadiazole-functionalized chitosan derivatives. Carbohydr. Res. 2013, 373, 103–107. [Google Scholar] [CrossRef] [PubMed]
- Luo, Y.; Zhang, S.; Liu, Z.J.; Chen, W.; Fu, J.; Zeng, Q.F.; Zhu, H.L. Synthesis and antimicrobical evalution of a novel class of 1,3,4-thiadiazole: Derivatives bearing 1,2,4-triazolo[1,5-α]pyrimidine moiety. Eur. J. Med. Chem. 2013, 64, 54–61. [Google Scholar] [CrossRef] [PubMed]
- Yang, G.Y.; Wang, C.X.; Fan, S.F.; Zhao, L.J.; Wang, D.; Xu, C.L. Study on the cyclization methods of 3-[1-(phenylhydrazono)ethyl]-chromen-2-ones. Synth. Commun. 2013, 43, 1263–1269. [Google Scholar] [CrossRef]
- Yang, G.Y.; Yang, J.T.; Wang, C.X.; Fan, S.F.; Xie, P.H.; Xu, C.L. Microwave-assisted synthesis of 3-methyl-1-phenylchromeno[4,3-c]pyrazol-4(1H)-ones under solvent-free conditions. Heterocycles 2013, 87, 1327–1336. [Google Scholar] [CrossRef]
- Xu, C.L.; Yang, G.Y.; Wang, C.X.; Fan, S.F.; Xie, L.X.; Gao, Y. An efficient solvent-free synthesis of 2-hydroxy-2-(trifluoromethyl)-2H-chromenes using silica-immobilized L-proline. Molecules 2013, 18, 11964–11977. [Google Scholar] [CrossRef] [PubMed]
© 2014 by the authors; licensee MDPI, Basel, Switzerland. This article is an open access article distributed under the terms and conditions of the Creative Commons Attribution license (http://creativecommons.org/licenses/by/3.0/).
