You are currently viewing a new version of our website. To view the old version click .
Molbank
  • Short Note
  • Open Access

17 April 2012

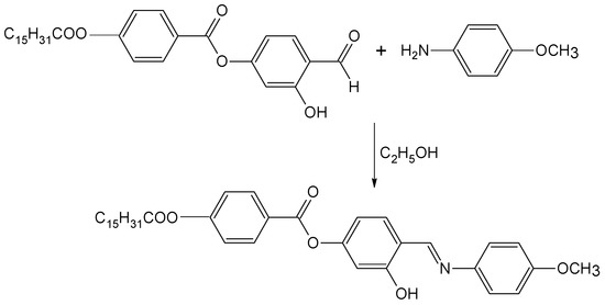
4-{[(4-Methoxyphenyl)imino]methyl}-3-hydroxyphenyl 4-(Hexadecanoyloxy)benzoate

,
and
1
Department of Chemical Science, Faculty of Science, Universiti Tunku Abdul Rahman, Jln Universiti, Bandar Barat, 31900 Kampar, Perak, Malaysia
2
Liquid Crystal Research Laboratory, School of Chemical Sciences, Universiti Sains Malaysia, 11800 Minden, Penang, Malaysia
*
Author to whom correspondence should be addressed.

Abstract

A new Schiff base ester, 4-{[(4-methoxyphenyl)imino]methyl}-3-hydroxyphenyl 4-(hexadecanoyloxy)benzoate was synthesized and its IR, 1H NMR, 13C NMR and MS spectroscopic data are presented.
Much attention has been focused on Schiff base derivatives owing to their thermochromic and photochromic properties [1,2,3,4,5]. Schiff bases are also well recognized for their liquid crystal properties since the discovery of MBBA which exhibited room temperature nematic phase [6]. An appropriate length of the alkyl chain at the para position of the aldehyde or aniline fragment of N-benzylidene-anilines has also been identified as one of the main requirements which favours the existence of liquid crystal phase (or mesophase) [7,8,9]. Different terminal substituents can also significantly influence the anisotropic properties of liquid crystals [7]. In this continuation work, we report here a new liquid crystal, 4-{[(4-methoxyphenyl)imino]methyl}-3-hydroxyphenyl 4-(hexadecanoyloxy)benzoate.

Experimental

4-(4-n-Hexadecanoyloxybenzoyloxy)-2-hydroxybenzaldehye was prepared according to a method that was described in our previous work [10]. In a round-bottom flask, a mixture of the aldehyde (2.48 g, 5.0 mmol), 4-methoxyaniline (0.62 g, 5.0 mmol) and absolute ethanol (40 mL) was refluxed with stirring for 3 h. The reaction mixture was filtered and the solvent was removed from the filtrate by evaporation. Recrystallization from absolute ethanol gave the title compound as a yellow solid (2.08 g, 69%).
Melting point: 221–222 °C.
MS (EI): m/z (rel. int. %) = 602 (1) (M+).
IR (KBr): νmax/ cm–1 2953, 2916, 2848 (C-H, aliphatic), 1753 (C=O of C15H31COO- fragment), 1742 (C=O of phenyl benzoate), 1624 (C=N), 1605 (C=C, aromatic), 1284 (C-O).
1H NMR (400 MHz, CDCl3): δ/ppm 0.90 (t, 3H, J = 6.8 Hz, CH3-), 1.24–1.45 (m, 24H, CH3-(CH2)12-), 1.80 (quint, 2H, J = 7.6 Hz, -CH2-CH2COO-), 2.63 (t, 2H, J = 7.4 Hz, -CH2-COO-), 3.88 (s, 3H, Ar-OCH3), 6.84 (dd, 1H, J = 2.1, 8.3 Hz, Ar-H), 6.91 (d, 1H, J = 2.1 Hz, Ar-H), 6.99 (d, 2H, J = 8.8 Hz, Ar-H), 7.26–7.31 (m, 4H, Ar-H), 7.45 (d, 1H, J = 8.5 Hz, Ar-H), 8.26 (d, 2H, J = 8.7 Hz, Ar-H), 8.65 (s, 1H, CH=N), 13.83 (s, 1H, OH).
13C NMR (100 MHz, CDCl3): 172.09 (C=O of C15H31COO-), 164.31 (C=O of phenyl benzoate), 159.94 (C=N), 162.87, 159.33, 155.51, 154.48, 144.90, 133.25, 132.26, 127.05, 122.70, 122.32, 117.60, 115.06, 113.19 and 110.90 for aromatic carbons, 55.96 (Ar-OCH3), 34.83 (-CH2COO-), 25.25 (-CH2CH2COO-), 32.33, 30.10, 30.06, 30.00, 29.85, 29.76, 29.65, 29.50, 23.10 (CH3(CH2)12), 14.52 (CH3(CH2)12).
Elemental analysis: Calcd. for C37H47NO6, 73.85%, H, 7.87%, N, 2.33%; Found: C, 73.90%, H, 7.86%, N, 2.30%.

Supplementary materials

Supplementary File 1Supplementary File 2Supplementary File 3

Acknowledgments

Authors would like to thank Universiti Tunku Abdul Rahman and Universitit Sains Malaysia for the financial supports and research facilities.

References

  1. Hadjoudis, E.; Vittorakis, M.; Moustakali-Mavridis, I. Photochromism and thermochromism of schiff bases in the solid state and in rigid glasses. Tetrahedron 1987, 43, 1345–1360. [Google Scholar] [CrossRef]
  2. Hadjoudis, E.; Rontoyianni, A.; Ambroziak, K.; Dziembowska, T.; Mavridis, I.M. Photochromism and thermochromism of solid trans-N,N'-bis(salicylidene)-1,2-cyclohexanediamines and trans-N,N'-bis-(2-hydroxynaphylidene)-1,2-cyclohexanediamine. J. Photochem. Photobiol. A Chem. 2004, 162, 521–530. [Google Scholar] [CrossRef]
  3. Oshima, A.; Momotake, A.; Arai, T. Photochromism, thermochromism, and solvatochromism of naphthalene-based analogues of salicylideneaniline in solution. J. Photochem. Photobiol. A Chem. 2004, 162, 473–479. [Google Scholar] [CrossRef]
  4. Yeap, G.Y.; Ha, S.T.; Ishizawa, N.; Suda, K.; Boey, P.L.; Mahmood, W.A.K. Synthesis, crystal structure and spectroscopic study of para substituted 2-hydroxy-3-methoxybenzalideneanilines. J. Mol. Struct. 2003, 658, 87–99. [Google Scholar] [CrossRef]
  5. Nair, S.M.; Bhattacharya, I. Synthesis and physiological activities of some imines and their β-lactams. Asian. J. Chem. 2009, 21, 504–510. [Google Scholar]
  6. Kelker, H.; Scheurle, B. Liquid-crystalline (nematic) phase with a particularly loq solidification point. Angew. Chem. Int. Ed. 1969, 8, 884–885. [Google Scholar] [CrossRef]
  7. Yeap, G.Y.; Ha, S.T.; Lim, P.L.; Boey, P.L.; Ito, M.M.; Sanehisa, S.; Youhei, Y. Synthesis, physical and mesomorphic properties of Schiff’s base esters containing ortho-, meta- and para-substituents in benzylidene-4’-alkanoyloxyanilines. Liq. Cryst. 2006, 33, 205–211. [Google Scholar] [CrossRef]
  8. Ha, S.T.; Ong, L.K.; Wong, J.P.W.; Yeap, G.Y.; Lin, H.C.; Ong, S.T.; Koh, T.M. Mesogenic Schiff's base ether with dimethylamino end group. Phase Transitions. 2009, 82, 387–397. [Google Scholar] [CrossRef]
  9. Ha, S.T.; Ong, L.K.; Ong, S.T.; Yeap, G.Y.; Wong, J.P.W.; Koh, T.M.; Lin, H.C. Synthesis and mesomorphic properties of new Schiff base esters with different alkyl chains. Chin. Chem. Lett. 2009, 20, 767–770. [Google Scholar] [CrossRef]
  10. Yeap, G.Y.; Ha, S.T.; Boey, P.L.; Mahmood, W.A.K.; Ito, M.M.; Youhei, Y. Synthesis and characterization of some new mesogenic Schiff base esters N-[4-(4-n-hexadecanoyloxybenzoyloxy)benzylidene]-4-substituted anilines. Mol. Cryst. Liq. Cryst. 2006, 452, 73–90. [Google Scholar] [CrossRef]

Article Metrics

Citations

Article Access Statistics

Multiple requests from the same IP address are counted as one view.