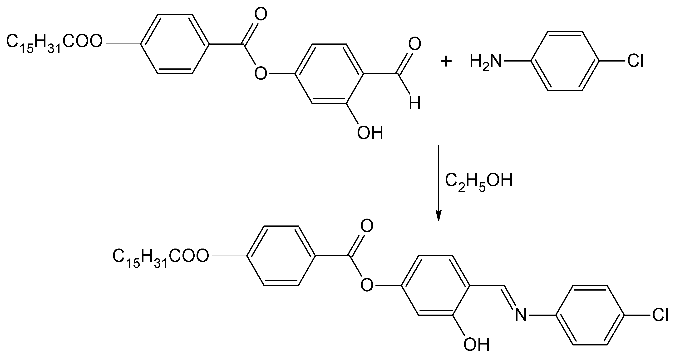
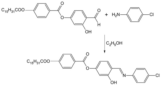
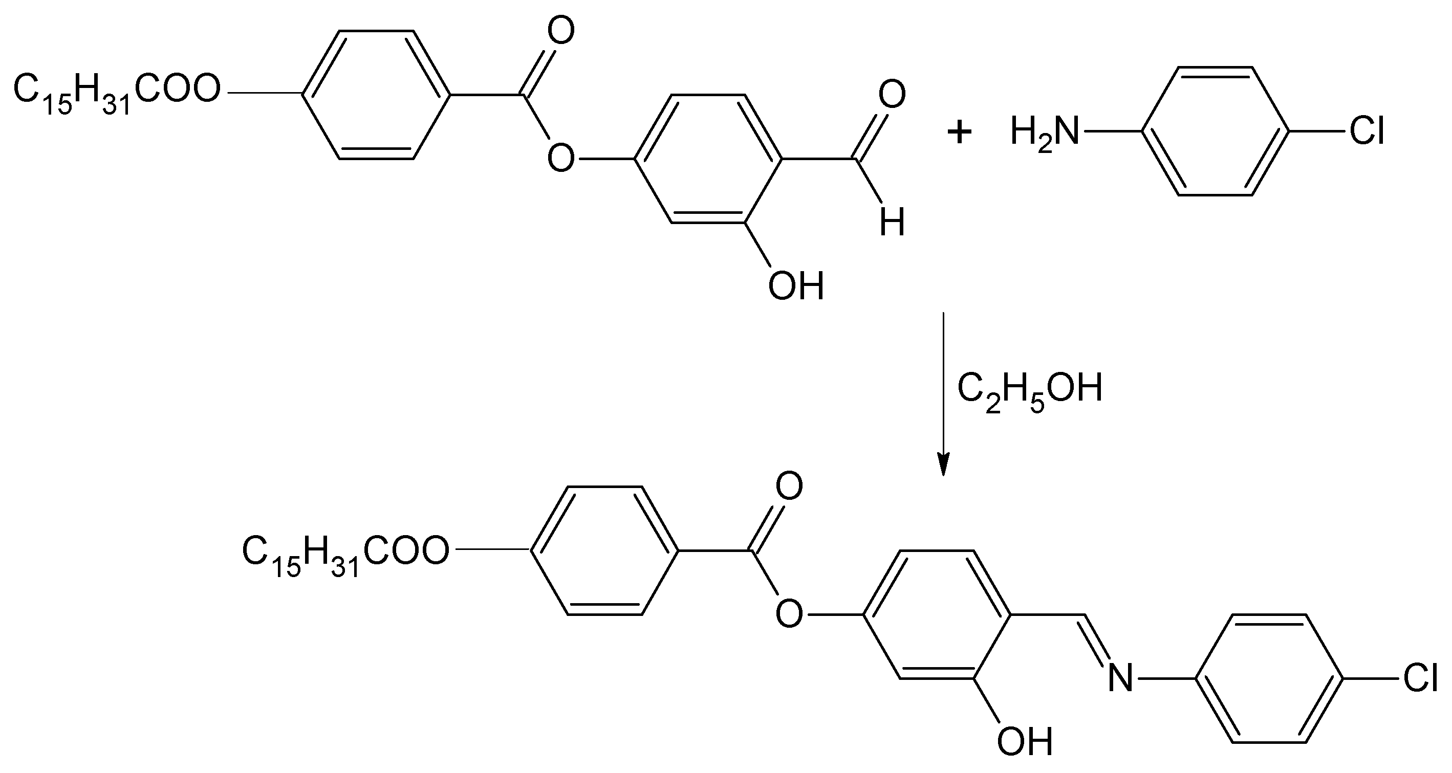
4-{[(4-Chlorophenyl)imino]methyl}-3-hydroxyphenyl 4-(Hexadecanoyloxy)benzoate
Abstract
:
Experimental
Supplementary materials
Supplementary File 1Supplementary File 2Supplementary File 3Acknowledgements
References and Notes
- Kosar, B.; Albayrak, C.; Ersanli, C.C.; Odabasoglu, M.; Buyukgungor, O. Molecular structure, spectroscopic investigations, second-order nonlinear optical properties and intramolecular proton transfer of (E)-5-(diethylamino)-2-[(4-propylphenylimino)methyl]phenol: A combined experimental and theoretical study. Spectrochim. Acta A 2012, 93, 1–9. [Google Scholar] [CrossRef] [PubMed]
- Hadjoudis, E.; Yannakopoulou, K.; Chatziefthimiou, S.D.; Paulidou, A.; Mavridis, I.M. Supramolecular control of photochromism in a β-cyclodextrin/Schiff base system. J. Photochem. Photobiol. A Chem. 2011, 217, 293–298. [Google Scholar] [CrossRef]
- Naganagowda, G.; Petsom, A. 4-Amino-N-(2-hydroxy-4-pentadecylbenzylidene)-benzenesulfonamide. Molbank 2011, 2011, M739. [Google Scholar] [CrossRef]
- Hadjoudis, E.; Rontoyianni, A.; Ambroziak, K.; Dziembowska, T.; Mavridis, I.M. Photochromism and thermochromism of solid trans-N,N'-bis(salicylidene)-1,2-cyclohexanediamines and trans-N,N'-bis-(2-hydroxynaphylidene)-1,2-cyclohexanediamine. J. Photochem. Photobiol. A Chem. 2004, 162, 521–530. [Google Scholar] [CrossRef]
- Oshima, A.; Momotake, A.; Arai, T. Photochromism, thermochromism, and solvatochromism of naphthalene-based analogues of salicylideneaniline in solution. J. Photochem. Photobiol. A Chem. 2004, 162, 473–479. [Google Scholar] [CrossRef]
- Yeap, G.Y.; Ha, S.T.; Ishizawa, N.; Suda, K.; Boey, P.L.; Mahmood, W.A.K. Synthesis, crystal structure and spectroscopic study of para substituted 2-hydroxy-3-methoxybenzalideneanilines. J. Mol. Struct. 2003, 658, 87–99. [Google Scholar] [CrossRef]
- Yeap, G.Y.; Ha, S.T.; Lim, P.L.; Boey, P.L.; Ito, M.M.; Sanehisa, S.; Youhei, Y. Synthesis, physical and mesomorphic properties of Schiff’s base esters containing ortho-, meta- and para-substituents in benzylidene-4'-alkanoyloxyanilines. Liq. Cryst. 2006, 33, 205–211. [Google Scholar] [CrossRef]
- Godzwon, J.; Sienkowska, M.J.; Galewski, Z. Liquid-crystalline polymorphism of 4-heptyloxybenzylidene-4'- alkyloxyanilines and their phase equilibrium with 4-octyloxyphenyl 4-nitrobenzoate. Thermochim. Acta 2012, 531, 75–82. [Google Scholar] [CrossRef]
- Ha, S.T.; Ong, L.K.; Wong, J.P.W.; Yeap, G.Y.; Lin, H.C.; Ong, S.T.; Koh, T.M. Mesogenic Schiff’s base ether with dimethylamino end group. Phase Transit. 2009, 82, 387–397. [Google Scholar] [CrossRef]
- Ha, S.T.; Ong, L.K.; Ong, S.T.; Yeap, G.Y.; Wong, J.P.W.; Koh, T.M.; Lin, H.C. Synthesis and mesomorphic properties of new Schiff base esters with different alkyl chains. Chin. Chem. Lett. 2009, 20, 767–770. [Google Scholar] [CrossRef]
- Yeap, G.Y.; Ha, S.T.; Boey, P.L.; Mahmood, W.A.K.; Ito, M.M.; Youhei, Y. Synthesis and characterization of some new mesogenic Schiff base esters N-[4-(4-n-hexadecanoyloxybenzoyloxy)benzylidene]-4-substituted anilines. Mol. Cryst. Liq. Cryst. 2006, 452, 73–90. [Google Scholar] [CrossRef]
© 2012 by the authors; licensee MDPI, Basel, Switzerland. This article is an open access article distributed under the terms and conditions of the Creative Commons Attribution license (http://creativecommons.org/licenses/by/3.0/).
Share and Cite
Ha, S.-T.; Yeap, G.-Y.; Boey, P.-L. 4-{[(4-Chlorophenyl)imino]methyl}-3-hydroxyphenyl 4-(Hexadecanoyloxy)benzoate. Molbank 2012, 2012, M759. https://doi.org/10.3390/M759
Ha S-T, Yeap G-Y, Boey P-L. 4-{[(4-Chlorophenyl)imino]methyl}-3-hydroxyphenyl 4-(Hexadecanoyloxy)benzoate. Molbank. 2012; 2012(2):M759. https://doi.org/10.3390/M759
Chicago/Turabian StyleHa, Sie-Tiong, Guan-Yeow Yeap, and Peng-Lim Boey. 2012. "4-{[(4-Chlorophenyl)imino]methyl}-3-hydroxyphenyl 4-(Hexadecanoyloxy)benzoate" Molbank 2012, no. 2: M759. https://doi.org/10.3390/M759
APA StyleHa, S.-T., Yeap, G.-Y., & Boey, P.-L. (2012). 4-{[(4-Chlorophenyl)imino]methyl}-3-hydroxyphenyl 4-(Hexadecanoyloxy)benzoate. Molbank, 2012(2), M759. https://doi.org/10.3390/M759
